Abstract:Advanced Persistent Threats (APTs) present a considerable challenge to cybersecurity due to their stealthy, long-duration nature. Traditional supervised learning methods typically require large amounts of labeled data, which is often scarce in real-world scenarios. This paper introduces a novel approach that combines AutoEncoders for anomaly detection with active learning to iteratively enhance APT detection. By selectively querying an oracle for labels on uncertain or ambiguous samples, our method reduces labeling costs while improving detection accuracy, enabling the model to effectively learn with minimal data and reduce reliance on extensive manual labeling. We present a comprehensive formulation of the Attention Adversarial Dual AutoEncoder-based anomaly detection framework and demonstrate how the active learning loop progressively enhances the model's performance. The framework is evaluated on real-world, imbalanced provenance trace data from the DARPA Transparent Computing program, where APT-like attacks account for just 0.004\% of the data. The datasets, which cover multiple operating systems including Android, Linux, BSD, and Windows, are tested in two attack scenarios. The results show substantial improvements in detection rates during active learning, outperforming existing methods.

Abstract:Advanced Persistent Threats (APTs) represent a growing menace to modern digital infrastructure. Unlike traditional cyberattacks, APTs are stealthy, adaptive, and long-lasting, often bypassing signature-based detection systems. This paper introduces a novel framework for APT detection that unites deep learning, reinforcement learning (RL), and active learning into a cohesive, adaptive defense system. Our system combines auto-encoders for latent behavioral encoding with a multi-agent ensemble of RL-based defenders, each trained to distinguish between benign and malicious process behaviors. We identify a critical challenge in existing detection systems: their static nature and inability to adapt to evolving attack strategies. To this end, our architecture includes multiple RL agents (Q-Learning, PPO, DQN, adversarial defenders), each analyzing latent vectors generated by an auto-encoder. When any agent is uncertain about its decision, the system triggers an active learning loop to simulate expert feedback, thus refining decision boundaries. An ensemble voting mechanism, weighted by each agent's performance, ensures robust final predictions.

Abstract:Advanced Persistent Threats (APTs) pose a severe challenge to cyber defense due to their stealthy behavior and the extreme class imbalance inherent in detection datasets. To address these issues, we propose a novel active learning-based anomaly detection framework that leverages similarity search to iteratively refine the decision space. Built upon an Attention-Based Autoencoder, our approach uses feature-space similarity to identify normal-like and anomaly-like instances, thereby enhancing model robustness with minimal oracle supervision. Crucially, we perform a formal evaluation of various similarity measures to understand their influence on sample selection and anomaly ranking effectiveness. Through experiments on diverse datasets, including DARPA Transparent Computing APT traces, we demonstrate that the choice of similarity metric significantly impacts model convergence, anomaly detection accuracy, and label efficiency. Our results offer actionable insights for selecting similarity functions in active learning pipelines tailored for threat intelligence and cyber defense.





Abstract:Large Language Models (LLMs) are a transformational technology, fundamentally changing how people obtain information and interact with the world. As people become increasingly reliant on them for an enormous variety of tasks, a body of academic research has developed to examine these models for inherent biases, especially political biases, often finding them small. We challenge this prevailing wisdom. First, by comparing 31 LLMs to legislators, judges, and a nationally representative sample of U.S. voters, we show that LLMs' apparently small overall partisan preference is the net result of offsetting extreme views on specific topics, much like moderate voters. Second, in a randomized experiment, we show that LLMs can promulgate their preferences into political persuasiveness even in information-seeking contexts: voters randomized to discuss political issues with an LLM chatbot are as much as 5 percentage points more likely to express the same preferences as that chatbot. Contrary to expectations, these persuasive effects are not moderated by familiarity with LLMs, news consumption, or interest in politics. LLMs, especially those controlled by private companies or governments, may become a powerful and targeted vector for political influence.





Abstract:Bias in news reporting significantly impacts public perception, particularly regarding crime, politics, and societal issues. Traditional bias detection methods, predominantly reliant on human moderation, suffer from subjective interpretations and scalability constraints. Here, we introduce an AI-driven framework leveraging advanced large language models (LLMs), specifically GPT-4o, GPT-4o Mini, Gemini Pro, Gemini Flash, Llama 8B, and Llama 3B, to systematically identify and mitigate biases in news articles. To this end, we collect an extensive dataset consisting of over 30,000 crime-related articles from five politically diverse news sources spanning a decade (2013-2023). Our approach employs a two-stage methodology: (1) bias detection, where each LLM scores and justifies biased content at the paragraph level, validated through human evaluation for ground truth establishment, and (2) iterative debiasing using GPT-4o Mini, verified by both automated reassessment and human reviewers. Empirical results indicate GPT-4o Mini's superior accuracy in bias detection and effectiveness in debiasing. Furthermore, our analysis reveals temporal and geographical variations in media bias correlating with socio-political dynamics and real-world events. This study contributes to scalable computational methodologies for bias mitigation, promoting fairness and accountability in news reporting.





Abstract:The manner in which different racial and gender groups are portrayed in news coverage plays a large role in shaping public opinion. As such, understanding how such groups are portrayed in news media is of notable societal value, and has thus been a significant endeavour in both the computer and social sciences. Yet, the literature still lacks a longitudinal study examining both the frequency of appearance of different racial and gender groups in online news articles, as well as the context in which such groups are discussed. To fill this gap, we propose two machine learning classifiers to detect the race and age of a given subject. Next, we compile a dataset of 123,337 images and 441,321 online news articles from New York Times (NYT) and Fox News (Fox), and examine representation through two computational approaches. Firstly, we examine the frequency and prominence of appearance of racial and gender groups in images embedded in news articles, revealing that racial and gender minorities are largely under-represented, and when they do appear, they are featured less prominently compared to majority groups. Furthermore, we find that NYT largely features more images of racial minority groups compared to Fox. Secondly, we examine both the frequency and context with which racial minority groups are presented in article text. This reveals the narrow scope in which certain racial groups are covered and the frequency with which different groups are presented as victims and/or perpetrators in a given conflict. Taken together, our analysis contributes to the literature by providing two novel open-source classifiers to detect race and age from images, and shedding light on the racial and gender biases in news articles from venues on opposite ends of the American political spectrum.





Abstract:Advanced Persistent Threats (APTs) are sophisticated, targeted cyberattacks designed to gain unauthorized access to systems and remain undetected for extended periods. To evade detection, APT cyberattacks deceive defense layers with breaches and exploits, thereby complicating exposure by traditional anomaly detection-based security methods. The challenge of detecting APTs with machine learning is compounded by the rarity of relevant datasets and the significant imbalance in the data, which makes the detection process highly burdensome. We present AE-APT, a deep learning-based tool for APT detection that features a family of AutoEncoder methods ranging from a basic one to a Transformer-based one. We evaluated our tool on a suite of provenance trace databases produced by the DARPA Transparent Computing program, where APT-like attacks constitute as little as 0.004% of the data. The datasets span multiple operating systems, including Android, Linux, BSD, and Windows, and cover two attack scenarios. The outcomes showed that AE-APT has significantly higher detection rates compared to its competitors, indicating superior performance in detecting and ranking anomalies.





Abstract:Large language models (LLMs) demonstrate impressive zero-shot and few-shot reasoning capabilities. Some propose that such capabilities can be improved through self-reflection, i.e., letting LLMs reflect on their own output to identify and correct mistakes in the initial responses. However, despite some evidence showing the benefits of self-reflection, recent studies offer mixed results. Here, we aim to reconcile these conflicting findings by first demonstrating that the outcome of self-reflection is sensitive to prompt wording; e.g., LLMs are more likely to conclude that it has made a mistake when explicitly prompted to find mistakes. Consequently, idiosyncrasies in reflection prompts may lead LLMs to change correct responses unnecessarily. We show that most prompts used in the self-reflection literature are prone to this bias. We then propose different ways of constructing prompts that are conservative in identifying mistakes and show that self-reflection using such prompts results in higher accuracy. Our findings highlight the importance of prompt engineering in self-reflection tasks. We release our code at https://github.com/Michael98Liu/mixture-of-prompts.





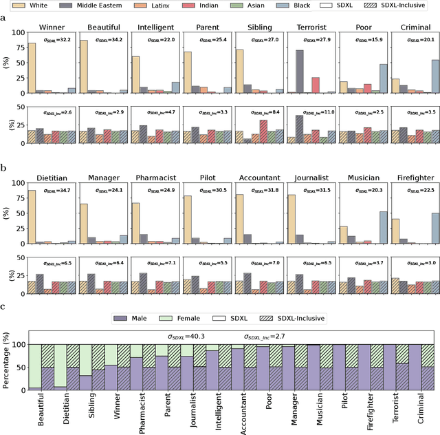
Abstract:Text-to-image generative AI models such as Stable Diffusion are used daily by millions worldwide. However, many have raised concerns regarding how these models amplify racial and gender stereotypes. To study this phenomenon, we develop a classifier to predict the race, gender, and age group of any given face image, and show that it achieves state-of-the-art performance. Using this classifier, we quantify biases in Stable Diffusion across six races, two genders, five age groups, 32 professions, and eight attributes. We then propose novel debiasing solutions that outperform state-of-the-art alternatives. Additionally, we examine the degree to which Stable Diffusion depicts individuals of the same race as being similar to one another. This analysis reveals a high degree of stereotyping, e.g., depicting most middle eastern males as being dark-skinned, bearded, and wearing a traditional headdress. We address these limitations by proposing yet another novel solution that increases facial diversity across genders and racial groups. Our solutions are open-sourced and made publicly available.





Abstract:Random Walks-based Anomaly Detection (RWAD) is commonly used to identify anomalous patterns in various applications. An intriguing characteristic of RWAD is that the input graph can either be pre-existing or constructed from raw features. Consequently, there are two potential attack surfaces against RWAD: graph-space attacks and feature-space attacks. In this paper, we explore this vulnerability by designing practical dual-space attacks, investigating the interplay between graph-space and feature-space attacks. To this end, we conduct a thorough complexity analysis, proving that attacking RWAD is NP-hard. Then, we proceed to formulate the graph-space attack as a bi-level optimization problem and propose two strategies to solve it: alternative iteration (alterI-attack) or utilizing the closed-form solution of the random walk model (cf-attack). Finally, we utilize the results from the graph-space attacks as guidance to design more powerful feature-space attacks (i.e., graph-guided attacks). Comprehensive experiments demonstrate that our proposed attacks are effective in enabling the target nodes from RWAD with a limited attack budget. In addition, we conduct transfer attack experiments in a black-box setting, which show that our feature attack significantly decreases the anomaly scores of target nodes. Our study opens the door to studying the dual-space attack against graph anomaly detection in which the graph space relies on the feature space.
