Abstract:Integrated sensing and communication (ISAC) is a key feature of next-generation wireless networks, enabling a wide range of emerging applications such as vehicle-to-everything (V2X) and unmanned aerial vehicles (UAVs), which operate in high-mobility scenarios. Notably, the wireless channels within these applications typically exhibit severe delay and Doppler spreads. The latter causes serious communication performance degradation in the Orthogonal Frequency-Division Multiplexing (OFDM) waveform that is widely adopted in current wireless networks. To address this challenge, the recently proposed Doppler-resilient affine frequency division multiplexing (AFDM) waveform, which uses flexible chirp signals as subcarriers, shows great potential for achieving adaptive ISAC in high-mobility scenarios. This article provides a comprehensive overview of AFDM-ISAC. We begin by presenting the fundamentals of AFDM-ISAC, highlighting its inherent frequency-modulated continuous-wave (FMCW)-like characteristics. Then, we explore its ISAC performance limits by analyzing its diversity order, ambiguity function (AF), and Cramer-Rao Bound (CRB). Finally, we present several effective sensing algorithms and opportunities for AFDM-ISAC, with the aim of sparking new ideas in this emerging field.
Abstract:Affine frequency division multiplexing (AFDM) has garnered significant attention due to its superior performance in high-mobility scenarios, coupled with multiple waveform parameters that provide greater degrees of freedom for system design. This paper introduces a novel secure affine frequency division multiplexing (SE-AFDM) system, which advances prior designs by dynamically varying an AFDM pre-chirp parameter to enhance physical-layer security. In the SE-AFDM system, the pre-chirp parameter is dynamically generated from a codebook controlled by a long-period pseudo-noise (LPPN) sequence. Instead of applying spreading in the data domain, our parameter-domain spreading approach provides additional security while maintaining reliability and high spectrum efficiency. We also propose a synchronization framework to solve the problem of reliably and rapidly synchronizing the time-varying parameter in fast time-varying channels. The theoretical derivations prove that unsynchronized eavesdroppers cannot eliminate the nonlinear impact of the time-varying parameter and further provide useful guidance for codebook design. Simulation results demonstrate the security advantages of the proposed SE-AFDM system in high-mobility scenarios, while our hardware prototype validates the effectiveness of the proposed synchronization framework.
Abstract:To address the limitations of traditional reconfigurable intelligent surfaces (RIS) in spatial control capability, this paper introduces the concept of the fluid antenna system (FAS) and proposes a fluid simultaneously transmitting and reflecting RIS (FSTAR-RIS) assisted non-orthogonal multiple access (NOMA) multi-user communication system. In this system, each FSTAR-RIS element is capable of flexible mobility and can dynamically adjust its position in response to environmental variations, thereby enabling simultaneous service to users in both the transmission and reflection zones. This significantly enhances the system's spatial degrees of freedom (DoF) and service adaptability. To maximize the system's weighted sum-rate, we formulate a non-convex optimization problem that jointly optimizes the base station beamforming, the transmission/reflection coefficients of the FSTAR-RIS, and the element positions. An alternating optimization (AO) algorithm is developed, incorporating successive convex approximation (SCA), semi-definite relaxation (SDR), and majorization-minimization (MM) techniques. In particular, to address the complex channel coupling introduced by the coexistence of direct and FSTAR-RIS paths, the MM framework is employed in the element position optimization subproblem, enabling an efficient iterative solution strategy. Simulation results validate that the proposed system achieves up to a 27% increase in total sum rate compared to traditional STAR-RIS systems and requires approximately 50% fewer RIS elements to attain the same performance, highlighting its effectiveness for cost-efficient large-scale deployment.
Abstract:Satellite communications are crucial for the evolution beyond fifth-generation networks. However, the dynamic nature of satellite channels and their inherent impairments present significant challenges. In this paper, a novel post-compensation scheme that combines the complex-valued extreme learning machine with augmented hidden layer (CELMAH) architecture and widely linear processing (WLP) is developed to address these issues by exploiting signal impropriety in satellite communications. Although CELMAH shares structural similarities with WLP, it employs a different core algorithm and does not fully exploit the signal impropriety. By incorporating WLP principles, we derive a tailored formulation suited to the network structure and propose the CELM augmented by widely linear least squares (CELM-WLLS) for post-distortion. The proposed approach offers enhanced communication robustness and is highly effective for satellite communication scenarios characterized by dynamic channel conditions and non-linear impairments. CELM-WLLS is designed to improve signal recovery performance and outperform traditional methods such as least square (LS) and minimum mean square error (MMSE). Compared to CELMAH, CELM-WLLS demonstrates approximately 0.8 dB gain in BER performance, and also achieves a two-thirds reduction in computational complexity, making it a more efficient solution.
Abstract:This paper characterizes the impacts of channel estimation errors and Rician factors on achievable data rate and investigates the user scheduling strategy, combining scheme, power control, and dynamic bandwidth allocation to maximize the sum data rate in the distributed multiple-input-multiple-output (MIMO)-enabled low earth orbit (LEO) satellite networks. However, due to the resource-assignment problem, it is challenging to find the optimal solution for maximizing the sum data rate. To transform this problem into a more tractable form, we first quantify the channel estimation errors based on the minimum mean square error (MMSE) estimator and rigorously derive a closed-form lower bound of the achievable data rate, offering an explicit formulation for resource allocation. Then, to solve the NP-hard problem, we decompose it into three sub-problems, namely, user scheduling strategy, joint combination and power control, and dynamic bandwidth allocation, by using alternative optimization (AO). Specifically, the user scheduling is formulated as a graph coloring problem by iteratively updating an undirected graph based on user requirements, which is then solved using the DSatur algorithm. For the combining weights and power control, the successive convex approximation (SCA) and geometrical programming (GP) are adopted to obtain the sub-optimal solution with lower complexity. Finally, the optimal bandwidth allocation can be achieved by solving the concave problem. Numerical results validate the analytical tightness of the derived bound, especially for large Rician factors, and demonstrate significant performance gains over other benchmarks.




Abstract:In this paper, we investigate integrated sensing and communication (ISAC) in a cell-free (CF) multiple-input multiple-output (MIMO) network with single-antenna access points (APs), where each AP functions either as a transmitter for both sensing and communication or as a receiver for target-reflected signals. We derive closed-form Cramer-Rao lower bounds (CRLBs) for location and velocity estimation under arbitrary power allocation ratios, assuming the radar cross-section (RCS) is deterministic and unknown over the observation interval. A power allocation optimization problem is formulated to maximize the communication signal-to-interference-plus-noise ratio (SINR), subject to CRLB-based sensing constraints and per-transmitter power limits. To solve the resulting nonlinear and non-convex problem, we propose a penalty function and projection-based modified conjugate gradient algorithm with inexact line search (PP-MCG-ILS), and an alternative method based on a modified steepest descent approach (PP-MSD-ILS). Additionally, for power minimization in pure sensing scenarios, we introduce a penalty function-based normalized conjugate gradient algorithm (P-NCG-ILS). We analyze the convergence behavior and qualitatively compare the computational complexity of the proposed algorithms. Simulation results confirm the accuracy of the derived CRLBs and demonstrate the effectiveness of the proposed power allocation strategies in enhancing both sensing and overall ISAC performance.




Abstract:In this paper, we propose a low-complexity channel estimation scheme of affine frequency division multiplexing (AFDM) based on generalized complex exponential basis expansion model (GCE-BEM) over doubly selective channels. The GCE-BEM is used to solve fractional Doppler dispersion while significantly reducing the computational complexity of exhaustive search. Then, the closed-form expression of channel estimation error is derived for the minimum mean square error (MMSE) estimation algorithm. Based on the estimated channel, the MMSE detection is adopt to characterize the impacts of estimated channel on bit error rate (BER) by deriving the theoretical lower bound. Finally, numerical results demonstrate that the proposed scheme effectively mitigates severe inter-Doppler interference (IDoI). Our theoretical performance an alysis can perfectly match the Monte-Carlo results, validating the effectiveness of our proposed channel estimation based on GCE-BEM.
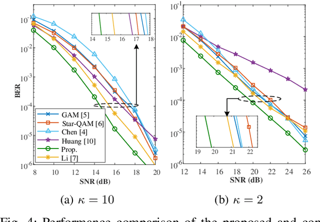
Abstract:In this letter, a novel class of sparse codebooks is proposed for sparse code multiple access (SCMA) aided non-terrestrial networks (NTN) with randomly distributed users characterized by Rician fading channels. Specifically, we first exploit the upper bound of bit error probability (BEP) of an SCMA-aided NTN with large-scale fading of different users under Rician fading channels. Then, the codebook is designed by employing pulse-amplitude modulation constellation, user-specific rotation and power factors. To further reduce the optimization complexity while maintaining the power diversity of different users, an orthogonal layer-assisted joint layer and power assignment strategy is proposed. Finally, unlike existing SCMA codebook designs that treat all users as one super-user, we propose to minimize the BEP of the worst user to ensure user fairness. The simulation results show that the proposed scheme is capable of providing a substantial performance gain over conventional codebooks.
Abstract:Affine frequency division multiplexing (AFDM) is a promising chirp-assisted multicarrier waveform for future high-mobility communications. This paper is devoted to enhanced receiver design for multiple input and multiple output AFDM (MIMO-AFDM) systems. Firstly, we introduce a unified variational inference (VI) approach to approximate the target posterior distribution, under which the belief propagation (BP) and expectation propagation (EP)-based algorithms are derived. As both VI-based detection and low-density parity-check (LDPC) decoding can be expressed by bipartite graphs in MIMO-AFDM systems, we construct a joint sparse graph (JSG) by merging the graphs of these two for low-complexity receiver design. Then, based on this graph model, we present the detailed message propagation of the proposed JSG. Additionally, we propose an enhanced JSG (E-JSG) receiver based on the linear constellation encoding model. The proposed E-JSG eliminates the need for interleavers, de-interleavers, and log-likelihood ratio transformations, thus leading to concurrent detection and decoding over the integrated sparse graph. To further reduce detection complexity, we introduce a sparse channel method by approaximating multiple graph edges with insignificant channel coefficients into a single edge on the VI graph. Simulation results show the superiority of the proposed receivers in terms of computational complexity, detection and decoding latency, and error rate performance compared to the conventional ones.




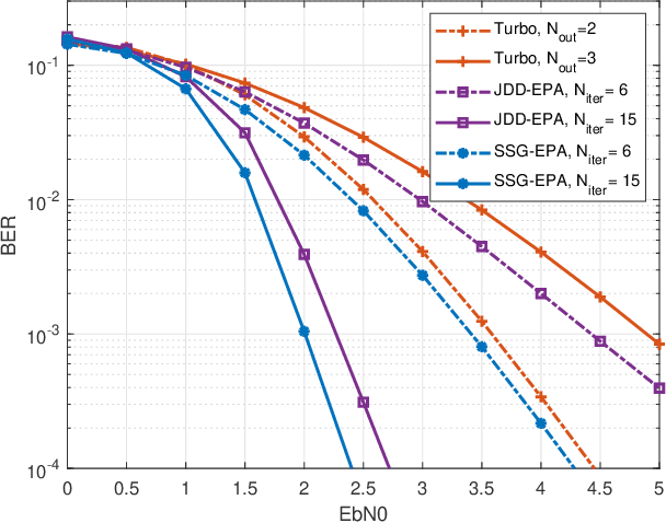
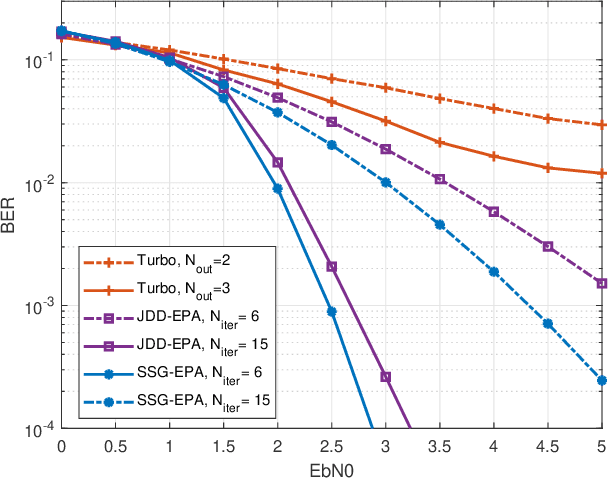
Abstract:Sparse code multiple access (SCMA) and multiple input multiple output (MIMO) are considered as two efficient techniques to provide both massive connectivity and high spectrum efficiency for future machine-type wireless networks. This paper proposes a single sparse graph (SSG) enhanced expectation propagation algorithm (EPA) receiver, referred to as SSG-EPA, for uplink MIMO-SCMA systems. Firstly, we reformulate the sparse codebook mapping process using a linear encoding model, which transforms the variable nodes (VNs) of SCMA from symbol-level to bit-level VNs. Such transformation facilitates the integration of the VNs of SCMA and low-density parity-check (LDPC), thereby emerging the SCMA and LDPC graphs into a SSG. Subsequently, to further reduce the detection complexity, the message propagation between SCMA VNs and function nodes (FNs) are designed based on EPA principles. Different from the existing iterative detection and decoding (IDD) structure, the proposed EPA-SSG allows a simultaneously detection and decoding at each iteration, and eliminates the use of interleavers, de-interleavers, symbol-to-bit, and bit-to-symbol LLR transformations. Simulation results show that the proposed SSG-EPA achieves better error rate performance compared to the state-of-the-art schemes.