Abstract:Activation steering is a promising technique for controlling LLM behavior by adding semantically meaningful vectors directly into a model's hidden states during inference. It is often framed as a precise, interpretable, and potentially safer alternative to fine-tuning. We demonstrate the opposite: steering systematically breaks model alignment safeguards, making it comply with harmful requests. Through extensive experiments on different model families, we show that even steering in a random direction can increase the probability of harmful compliance from 0% to 2-27%. Alarmingly, steering benign features from a sparse autoencoder (SAE), a common source of interpretable directions, increases these rates by a further 2-4%. Finally, we show that combining 20 randomly sampled vectors that jailbreak a single prompt creates a universal attack, significantly increasing harmful compliance on unseen requests. These results challenge the paradigm of safety through interpretability, showing that precise control over model internals does not guarantee precise control over model behavior.




Abstract:This paper evaluates geopolitical biases in LLMs with respect to various countries though an analysis of their interpretation of historical events with conflicting national perspectives (USA, UK, USSR, and China). We introduce a novel dataset with neutral event descriptions and contrasting viewpoints from different countries. Our findings show significant geopolitical biases, with models favoring specific national narratives. Additionally, simple debiasing prompts had a limited effect in reducing these biases. Experiments with manipulated participant labels reveal models' sensitivity to attribution, sometimes amplifying biases or recognizing inconsistencies, especially with swapped labels. This work highlights national narrative biases in LLMs, challenges the effectiveness of simple debiasing methods, and offers a framework and dataset for future geopolitical bias research.
Abstract:Deep learning voice models are commonly used nowadays, but the safety processing of personal data, such as human identity and speech content, remains suspicious. To prevent malicious user identification, speaker anonymization methods were proposed. Current methods, particularly based on universal adversarial patch (UAP) applications, have drawbacks such as significant degradation of audio quality, decreased speech recognition quality, low transferability across different voice biometrics models, and performance dependence on the input audio length. To mitigate these drawbacks, in this work, we introduce and leverage the novel Exponential Total Variance (TV) loss function and provide experimental evidence that it positively affects UAP strength and imperceptibility. Moreover, we present a novel scalable UAP insertion procedure and demonstrate its uniformly high performance for various audio lengths.
Abstract:Hyperspectral image (HSI) classification presents significant challenges due to the high dimensionality, spectral redundancy, and limited labeled data typically available in real-world applications. To address these issues and optimize classification performance, we propose a novel band selection strategy known as Iterative Wavelet-based Gradient Sampling (IWGS). This method incrementally selects the most informative spectral bands by analyzing gradients within the wavelet-transformed domain, enabling efficient and targeted dimensionality reduction. Unlike traditional selection methods, IWGS leverages the multi-resolution properties of wavelets to better capture subtle spectral variations relevant for classification. The iterative nature of the approach ensures that redundant or noisy bands are systematically excluded while maximizing the retention of discriminative features. We conduct comprehensive experiments on two widely-used benchmark HSI datasets: Houston 2013 and Indian Pines. Results demonstrate that IWGS consistently outperforms state-of-the-art band selection and classification techniques in terms of both accuracy and computational efficiency. These improvements make our method especially suitable for deployment in edge devices or other resource-constrained environments, where memory and processing power are limited. In particular, IWGS achieved an overall accuracy up to 97.8% on Indian Pines for selected classes, confirming its effectiveness and generalizability across different HSI scenarios.
Abstract:Large Language Models (LLMs) have achieved remarkable success in natural language processing. Recent advances have led to the developing of a new class of reasoning LLMs; for example, open-source DeepSeek-R1 has achieved state-of-the-art performance by integrating deep thinking and complex reasoning. Despite these impressive capabilities, the internal reasoning mechanisms of such models remain unexplored. In this work, we employ Sparse Autoencoders (SAEs), a method to learn a sparse decomposition of latent representations of a neural network into interpretable features, to identify features that drive reasoning in the DeepSeek-R1 series of models. First, we propose an approach to extract candidate ''reasoning features'' from SAE representations. We validate these features through empirical analysis and interpretability methods, demonstrating their direct correlation with the model's reasoning abilities. Crucially, we demonstrate that steering these features systematically enhances reasoning performance, offering the first mechanistic account of reasoning in LLMs. Code available at https://github.com/AIRI-Institute/SAE-Reasoning




Abstract:Contemporary image restoration and super-resolution techniques effectively harness deep neural networks, markedly outperforming traditional methods. However, astrophotography presents unique challenges for deep learning due to limited training data. This work explores hybrid strategies, such as the Deep Image Prior (DIP) model, which facilitates blind training but is susceptible to overfitting, artifact generation, and instability when handling noisy images. We propose enhancements to the DIP model's baseline performance through several advanced techniques. First, we refine the model to process multiple frames concurrently, employing the Back Projection method and the TVNet model. Next, we adopt a Markov approach incorporating Monte Carlo estimation, Langevin dynamics, and a variational input technique to achieve unbiased estimates with minimal variance and counteract overfitting effectively. Collectively, these modifications reduce the likelihood of noise learning and mitigate loss function fluctuations during training, enhancing result stability. We validated our algorithm across multiple image sets of astronomical and celestial objects, achieving performance that not only mitigates limitations of Lucky Imaging, a classical computer vision technique that remains a standard in astronomical image reconstruction but surpasses the original DIP model, state of the art transformer- and diffusion-based models, underscoring the significance of our improvements.




Abstract:Machine Unlearning (MU) is critical for enhancing privacy and security in deep learning models, particularly in large multimodal language models (MLLMs), by removing specific private or hazardous information. While MU has made significant progress in textual and visual modalities, multimodal unlearning (MMU) remains significantly underexplored, partially due to the absence of a suitable open-source benchmark. To address this, we introduce CLEAR, a new benchmark designed to evaluate MMU methods. CLEAR contains 200 fictitious individuals and 3,700 images linked with corresponding question-answer pairs, enabling a thorough evaluation across modalities. We assess 10 MU methods, adapting them for MMU, and highlight new challenges specific to multimodal forgetting. We also demonstrate that simple $\ell_1$ regularization on LoRA weights significantly mitigates catastrophic forgetting, preserving model performance on retained data. The dataset is available at https://huggingface.co/datasets/therem/CLEAR




Abstract:Automatic Speaker Verification (ASV) systems, which identify speakers based on their voice characteristics, have numerous applications, such as user authentication in financial transactions, exclusive access control in smart devices, and forensic fraud detection. However, the advancement of deep learning algorithms has enabled the generation of synthetic audio through Text-to-Speech (TTS) and Voice Conversion (VC) systems, exposing ASV systems to potential vulnerabilities. To counteract this, we propose a novel architecture named AASIST3. By enhancing the existing AASIST framework with Kolmogorov-Arnold networks, additional layers, encoders, and pre-emphasis techniques, AASIST3 achieves a more than twofold improvement in performance. It demonstrates minDCF results of 0.5357 in the closed condition and 0.1414 in the open condition, significantly enhancing the detection of synthetic voices and improving ASV security.




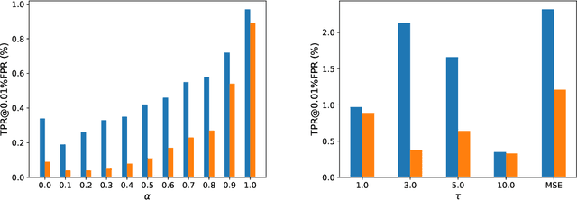
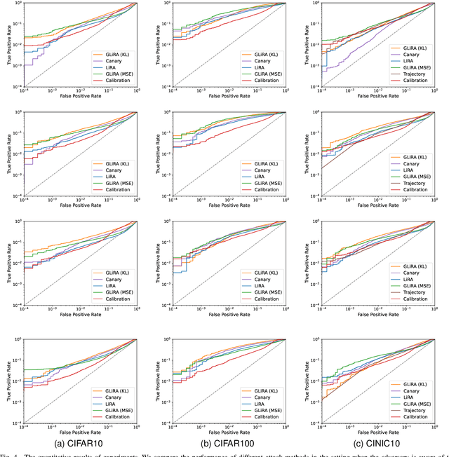
Abstract:While Deep Neural Networks (DNNs) have demonstrated remarkable performance in tasks related to perception and control, there are still several unresolved concerns regarding the privacy of their training data, particularly in the context of vulnerability to Membership Inference Attacks (MIAs). In this paper, we explore a connection between the susceptibility to membership inference attacks and the vulnerability to distillation-based functionality stealing attacks. In particular, we propose {GLiRA}, a distillation-guided approach to membership inference attack on the black-box neural network. We observe that the knowledge distillation significantly improves the efficiency of likelihood ratio of membership inference attack, especially in the black-box setting, i.e., when the architecture of the target model is unknown to the attacker. We evaluate the proposed method across multiple image classification datasets and models and demonstrate that likelihood ratio attacks when guided by the knowledge distillation, outperform the current state-of-the-art membership inference attacks in the black-box setting.




Abstract:Speaker recognition technology is applied in various tasks ranging from personal virtual assistants to secure access systems. However, the robustness of these systems against adversarial attacks, particularly to additive perturbations, remains a significant challenge. In this paper, we pioneer applying robustness certification techniques to speaker recognition, originally developed for the image domain. In our work, we cover this gap by transferring and improving randomized smoothing certification techniques against norm-bounded additive perturbations for classification and few-shot learning tasks to speaker recognition. We demonstrate the effectiveness of these methods on VoxCeleb 1 and 2 datasets for several models. We expect this work to improve voice-biometry robustness, establish a new certification benchmark, and accelerate research of certification methods in the audio domain.