



Abstract:The metaverse, envisioned as the next digital frontier for avatar-based virtual interaction, involves high-performance models. In this dynamic environment, users' tasks frequently shift, requiring fast model personalization despite limited data. This evolution consumes extensive resources and requires vast data volumes. To address this, meta-learning emerges as an invaluable tool for metaverse users, with federated meta-learning (FML), offering even more tailored solutions owing to its adaptive capabilities. However, the metaverse is characterized by users heterogeneity with diverse data structures, varied tasks, and uneven sample sizes, potentially undermining global training outcomes due to statistical difference. Given this, an urgent need arises for smart coalition formation that accounts for these disparities. This paper introduces a dual game-theoretic framework for metaverse services involving meta-learners as workers to manage FML. A blockchain-based cooperative coalition formation game is crafted, grounded on a reputation metric, user similarity, and incentives. We also introduce a novel reputation system based on users' historical contributions and potential contributions to present tasks, leveraging correlations between past and new tasks. Finally, a Stackelberg game-based incentive mechanism is presented to attract reliable workers to participate in meta-learning, minimizing users' energy costs, increasing payoffs, boosting FML efficacy, and improving metaverse utility. Results show that our dual game framework outperforms best-effort, random, and non-uniform clustering schemes - improving training performance by up to 10%, cutting completion times by as much as 30%, enhancing metaverse utility by more than 25%, and offering up to 5% boost in training efficiency over non-blockchain systems, effectively countering misbehaving users.




Abstract:As deep neural networks continue to expand and become more complex, most edge devices are unable to handle their extensive processing requirements. Therefore, the concept of distributed inference is essential to distribute the neural network among a cluster of nodes. However, distribution may lead to additional energy consumption and dependency among devices that suffer from unstable transmission rates. Unstable transmission rates harm real-time performance of IoT devices causing low latency, high energy usage, and potential failures. Hence, for dynamic systems, it is necessary to have a resilient DNN with an adaptive architecture that can downsize as per the available resources. This paper presents an empirical study that identifies the connections in ResNet that can be dropped without significantly impacting the model's performance to enable distribution in case of resource shortage. Based on the results, a multi-objective optimization problem is formulated to minimize latency and maximize accuracy as per available resources. Our experiments demonstrate that an adaptive ResNet architecture can reduce shared data, energy consumption, and latency throughout the distribution while maintaining high accuracy.




Abstract:The vision of the upcoming 6G technologies, characterized by ultra-dense network, low latency, and fast data rate is to support Pervasive AI (PAI) using zero-touch solutions enabling self-X (e.g., self-configuration, self-monitoring, and self-healing) services. However, the research on 6G is still in its infancy, and only the first steps have been taken to conceptualize its design, investigate its implementation, and plan for use cases. Toward this end, academia and industry communities have gradually shifted from theoretical studies of AI distribution to real-world deployment and standardization. Still, designing an end-to-end framework that systematizes the AI distribution by allowing easier access to the service using a third-party application assisted by a zero-touch service provisioning has not been well explored. In this context, we introduce a novel platform architecture to deploy a zero-touch PAI-as-a-Service (PAIaaS) in 6G networks supported by a blockchain-based smart system. This platform aims to standardize the pervasive AI at all levels of the architecture and unify the interfaces in order to facilitate the service deployment across application and infrastructure domains, relieve the users worries about cost, security, and resource allocation, and at the same time, respect the 6G stringent performance requirements. As a proof of concept, we present a Federated Learning-as-a-service use case where we evaluate the ability of our proposed system to self-optimize and self-adapt to the dynamics of 6G networks in addition to minimizing the users' perceived costs.




Abstract:Remote monitoring systems analyze the environment dynamics in different smart industrial applications, such as occupational health and safety, and environmental monitoring. Specifically, in industrial Internet of Things (IoT) systems, the huge number of devices and the expected performance put pressure on resources, such as computational, network, and device energy. Distributed training of Machine and Deep Learning (ML/DL) models for intelligent industrial IoT applications is very challenging for resource limited devices over heterogeneous wireless networks (HetNets). Hierarchical Federated Learning (HFL) performs training at multiple layers offloading the tasks to nearby Multi-Access Edge Computing (MEC) units. In this paper, we propose a novel energy-efficient HFL framework enabled by Wireless Energy Transfer (WET) and designed for heterogeneous networks with massive Multiple-Input Multiple-Output (MIMO) wireless backhaul. Our energy-efficiency approach is formulated as a Mixed-Integer Non-Linear Programming (MINLP) problem, where we optimize the HFL device association and manage the wireless transmitted energy. However due to its high complexity, we design a Heuristic Resource Management Algorithm, namely H2RMA, that respects energy, channel quality, and accuracy constraints, while presenting a low computational complexity. We also improve the energy consumption of the network using an efficient device scheduling scheme. Finally, we investigate device mobility and its impact on the HFL performance. Our extensive experiments confirm the high performance of the proposed resource management approach in HFL over HetNets, in terms of training loss and grid energy costs.




Abstract:The deployment flexibility and maneuverability of Unmanned Aerial Vehicles (UAVs) increased their adoption in various applications, such as wildfire tracking, border monitoring, etc. In many critical applications, UAVs capture images and other sensory data and then send the captured data to remote servers for inference and data processing tasks. However, this approach is not always practical in real-time applications due to the connection instability, limited bandwidth, and end-to-end latency. One promising solution is to divide the inference requests into multiple parts (layers or segments), with each part being executed in a different UAV based on the available resources. Furthermore, some applications require the UAVs to traverse certain areas and capture incidents; thus, planning their paths becomes critical particularly, to reduce the latency of making the collaborative inference process. Specifically, planning the UAVs trajectory can reduce the data transmission latency by communicating with devices in the same proximity while mitigating the transmission interference. This work aims to design a model for distributed collaborative inference requests and path planning in a UAV swarm while respecting the resource constraints due to the computational load and memory usage of the inference requests. The model is formulated as an optimization problem and aims to minimize latency. The formulated problem is NP-hard so finding the optimal solution is quite complex; thus, this paper introduces a real-time and dynamic solution for online applications using deep reinforcement learning. We conduct extensive simulations and compare our results to the-state-of-the-art studies demonstrating that our model outperforms the competing models.




Abstract:Although Deep Neural Networks (DNN) have become the backbone technology of several ubiquitous applications, their deployment in resource-constrained machines, e.g., Internet of Things (IoT) devices, is still challenging. To satisfy the resource requirements of such a paradigm, collaborative deep inference with IoT synergy was introduced. However, the distribution of DNN networks suffers from severe data leakage. Various threats have been presented, including black-box attacks, where malicious participants can recover arbitrary inputs fed into their devices. Although many countermeasures were designed to achieve privacy-preserving DNN, most of them result in additional computation and lower accuracy. In this paper, we present an approach that targets the security of collaborative deep inference via re-thinking the distribution strategy, without sacrificing the model performance. Particularly, we examine different DNN partitions that make the model susceptible to black-box threats and we derive the amount of data that should be allocated per device to hide proprieties of the original input. We formulate this methodology, as an optimization, where we establish a trade-off between the latency of co-inference and the privacy-level of data. Next, to relax the optimal solution, we shape our approach as a Reinforcement Learning (RL) design that supports heterogeneous devices as well as multiple DNNs/datasets.




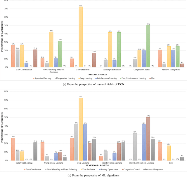
Abstract:To support the needs of ever-growing cloud-based services, the number of servers and network devices in data centers is increasing exponentially, which in turn results in high complexities and difficulties in network optimization. To address these challenges, both academia and industry turn to artificial intelligence technology to realize network intelligence. To this end, a considerable number of novel and creative machine learning-based (ML-based) research works have been put forward in recent few years. Nevertheless, there are still enormous challenges faced by the intelligent optimization of data center networks (DCNs), especially in the scenario of online real-time dynamic processing of massive heterogeneous services and traffic data. To best of our knowledge, there is a lack of systematic and original comprehensively investigations with in-depth analysis on intelligent DCN. To this end, in this paper, we comprehensively investigate the application of machine learning to data center networking, and provide a general overview and in-depth analysis of the recent works, covering flow prediction, flow classification, load balancing, resource management, routing optimization, and congestion control. In order to provide a multi-dimensional and multi-perspective comparison of various solutions, we design a quality assessment criteria called REBEL-3S to impartially measure the strengths and weaknesses of these research works. Moreover, we also present unique insights into the technology evolution of the fusion of data center network and machine learning, together with some challenges and potential future research opportunities.




Abstract:This paper considers the problem of cost-aware downlink sum-rate maximization via joint optimal radio access technologies (RATs) assignment and power allocation in next-generation heterogeneous wireless networks (HetNets). We consider a future HetNet comprised of multi-RATs and serving multi-connectivity edge devices (EDs), and we formulate the problem as mixed-integer non-linear programming (MINP) problem. Due to the high complexity and combinatorial nature of this problem and the difficulty to solve it using conventional methods, we propose a hierarchical multi-agent deep reinforcement learning (DRL)-based framework, called DeepRAT, to solve it efficiently and learn system dynamics. In particular, the DeepRAT framework decomposes the problem into two main stages; the RATs-EDs assignment stage, which implements a single-agent Deep Q Network (DQN) algorithm, and the power allocation stage, which utilizes a multi-agent Deep Deterministic Policy Gradient (DDPG) algorithm. Using simulations, we demonstrate how the various DRL agents efficiently interact to learn system dynamics and derive the global optimal policy. Furthermore, our simulation results show that the proposed DeepRAT algorithm outperforms existing state-of-the-art heuristic approaches in terms of network utility. Finally, we quantitatively show the ability of the DeepRAT model to quickly and dynamically adapt to abrupt changes in network dynamics, such as EDs mobility.




Abstract:LoRa wireless networks are considered as a key enabling technology for next generation internet of things (IoT) systems. New IoT deployments (e.g., smart city scenarios) can have thousands of devices per square kilometer leading to huge amount of power consumption to provide connectivity. In this paper, we investigate green LoRa wireless networks powered by a hybrid of the grid and renewable energy sources, which can benefit from harvested energy while dealing with the intermittent supply. This paper proposes resource management schemes of the limited number of channels and spreading factors (SFs) with the objective of improving the LoRa gateway energy efficiency. First, the problem of grid power consumption minimization while satisfying the system's quality of service demands is formulated. Specifically, both scenarios the uncorrelated and time-correlated channels are investigated. The optimal resource management problem is solved by decoupling the formulated problem into two sub-problems: channel and SF assignment problem and energy management problem. Since the optimal solution is obtained with high complexity, online resource management heuristic algorithms that minimize the grid energy consumption are proposed. Finally, taking into account the channel and energy correlation, adaptable resource management schemes based on Reinforcement Learning (RL), are developed. Simulations results show that the proposed resource management schemes offer efficient use of renewable energy in LoRa wireless networks.




Abstract:Recognizing the patient's emotions using deep learning techniques has attracted significant attention recently due to technological advancements. Automatically identifying the emotions can help build smart healthcare centers that can detect depression and stress among the patients in order to start the medication early. Using advanced technology to identify emotions is one of the most exciting topics as it defines the relationships between humans and machines. Machines learned how to predict emotions by adopting various methods. In this survey, we present recent research in the field of using neural networks to recognize emotions. We focus on studying emotions' recognition from speech, facial expressions, and audio-visual input and show the different techniques of deploying these algorithms in the real world. These three emotion recognition techniques can be used as a surveillance system in healthcare centers to monitor patients. We conclude the survey with a presentation of the challenges and the related future work to provide an insight into the applications of using emotion recognition.