Abstract:Node coloring is the task of assigning colors to the nodes of a graph such that no two adjacent nodes have the same color, while using as few colors as possible. It is the most widely studied instance of graph coloring and of central importance in graph theory; major results include the Four Color Theorem and work on the Hadwiger-Nelson Problem. As an abstraction of classical combinatorial optimization tasks, such as scheduling and resource allocation, it is also rich in practical applications. Here, we focus on a relaxed version, approximate $k$-coloring, which is the task of assigning at most $k$ colors to the nodes of a graph such that the number of edges whose vertices have the same color is approximately minimized. While classical approaches leverage mathematical programming or SAT solvers, recent studies have explored the use of machine learning. We follow this route and explore the use of graph neural networks (GNNs) for node coloring. We first present an optimized differentiable algorithm that improves a prior approach by Schuetz et al. with orthogonal node feature initialization and a loss function that penalizes conflicting edges more heavily when their endpoints have higher degree; the latter inspired by the classical result that a graph is $k$-colorable if and only if its $k$-core is $k$-colorable. Next, we introduce a lightweight greedy local search algorithm and show that it may be improved by recursively computing a $(k-1)$-coloring to use as a warm start. We then show that applying such recursive warm starts to the GNN approach leads to further improvements. Numerical experiments on a range of different graph structures show that while the local search algorithms perform best on small inputs, the GNN exhibits superior performance at scale. The recursive warm start may be of independent interest beyond graph coloring for local search methods for combinatorial optimization.
Abstract:Deep neural networks learn feature representations via complex geometric transformations of the input data manifold. Despite the models' empirical success across domains, our understanding of neural feature representations is still incomplete. In this work we investigate neural feature geometry through the lens of discrete geometry. Since the input data manifold is typically unobserved, we approximate it using geometric graphs that encode local similarity structure. We provide theoretical results on the evolution of these graphs during training, showing that nonlinear activations play a crucial role in shaping feature geometry in feedforward neural networks. Moreover, we discover that the geometric transformations resemble a discrete Ricci flow on these graphs, suggesting that neural feature geometry evolves analogous to Ricci flow. This connection is supported by experiments on over 20,000 feedforward neural networks trained on binary classification tasks across both synthetic and real-world datasets. We observe that the emergence of class separability corresponds to the emergence of community structure in the associated graph representations, which is known to relate to discrete Ricci flow dynamics. Building on these insights, we introduce a novel framework for locally evaluating geometric transformations through comparison with discrete Ricci flow dynamics. Our results suggest practical design principles, including a geometry-informed early-stopping heuristic and a criterion for selecting network depth.
Abstract:In the era of foundation models and Large Language Models (LLMs), Euclidean space is the de facto geometric setting of our machine learning architectures. However, recent literature has demonstrated that this choice comes with fundamental limitations. To that end, non-Euclidean learning is quickly gaining traction, particularly in web-related applications where complex relationships and structures are prevalent. Non-Euclidean spaces, such as hyperbolic, spherical, and mixed-curvature spaces, have been shown to provide more efficient and effective representations for data with intrinsic geometric properties, including web-related data like social network topology, query-document relationships, and user-item interactions. Integrating foundation models with non-Euclidean geometries has great potential to enhance their ability to capture and model the underlying structures, leading to better performance in search, recommendations, and content understanding. This workshop focuses on the intersection of Non-Euclidean Foundation Models and Geometric Learning (NEGEL), exploring its potential benefits, including the potential benefits for advancing web-related technologies, challenges, and future directions. Workshop page: [https://hyperboliclearning.github.io/events/www2025workshop](https://hyperboliclearning.github.io/events/www2025workshop)
Abstract:In the era of foundation models and Large Language Models (LLMs), Euclidean space has been the de facto geometric setting for machine learning architectures. However, recent literature has demonstrated that this choice comes with fundamental limitations. At a large scale, real-world data often exhibit inherently non-Euclidean structures, such as multi-way relationships, hierarchies, symmetries, and non-isotropic scaling, in a variety of domains, such as languages, vision, and the natural sciences. It is challenging to effectively capture these structures within the constraints of Euclidean spaces. This position paper argues that moving beyond Euclidean geometry is not merely an optional enhancement but a necessity to maintain the scaling law for the next-generation of foundation models. By adopting these geometries, foundation models could more efficiently leverage the aforementioned structures. Task-aware adaptability that dynamically reconfigures embeddings to match the geometry of downstream applications could further enhance efficiency and expressivity. Our position is supported by a series of theoretical and empirical investigations of prevalent foundation models.Finally, we outline a roadmap for integrating non-Euclidean geometries into foundation models, including strategies for building geometric foundation models via fine-tuning, training from scratch, and hybrid approaches.




Abstract:Researchers have recently suggested that models share common representations. In this work, we find that the token embeddings of language models exhibit common geometric structure. First, we find ``global'' similarities: token embeddings often share similar relative orientations. Next, we characterize local geometry in two ways: (1) by using Locally Linear Embeddings, and (2) by defining a simple measure for the intrinsic dimension of each token embedding. Our intrinsic dimension measure demonstrates that token embeddings lie on a lower dimensional manifold. We qualitatively show that tokens with lower intrinsic dimensions often have semantically coherent clusters, while those with higher intrinsic dimensions do not. Both characterizations allow us to find similarities in the local geometry of token embeddings. Perhaps most surprisingly, we find that alignment in token embeddings persists through the hidden states of language models, allowing us to develop an application for interpretability. Namely, we empirically demonstrate that steering vectors from one language model can be transferred to another, despite the two models having different dimensions.




Abstract:Higher-order information is crucial for relational learning in many domains where relationships extend beyond pairwise interactions. Hypergraphs provide a natural framework for modeling such relationships, which has motivated recent extensions of graph neural net- work architectures to hypergraphs. However, comparisons between hypergraph architectures and standard graph-level models remain limited. In this work, we systematically evaluate a selection of hypergraph-level and graph-level architectures, to determine their effectiveness in leveraging higher-order information in relational learning. Our results show that graph-level architectures applied to hypergraph expansions often outperform hypergraph- level ones, even on inputs that are naturally parametrized as hypergraphs. As an alternative approach for leveraging higher-order information, we propose hypergraph-level encodings based on classical hypergraph characteristics. While these encodings do not significantly improve hypergraph architectures, they yield substantial performance gains when combined with graph-level models. Our theoretical analysis shows that hypergraph-level encodings provably increase the representational power of message-passing graph neural networks beyond that of their graph-level counterparts.




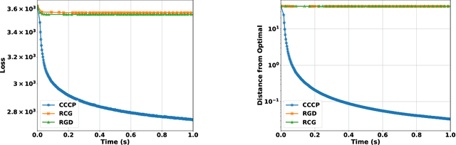
Abstract:Matrix-valued optimization tasks, including those involving symmetric positive definite (SPD) matrices, arise in a wide range of applications in machine learning, data science and statistics. Classically, such problems are solved via constrained Euclidean optimization, where the domain is viewed as a Euclidean space and the structure of the matrices (e.g., positive definiteness) enters as constraints. More recently, geometric approaches that leverage parametrizations of the problem as unconstrained tasks on the corresponding matrix manifold have been proposed. While they exhibit algorithmic benefits in many settings, they cannot directly handle additional constraints, such as inequality or sparsity constraints. A remedy comes in the form of constrained Riemannian optimization methods, notably, Riemannian Frank-Wolfe and Projected Gradient Descent. However, both algorithms require potentially expensive subroutines that can introduce computational bottlenecks in practise. To mitigate these shortcomings, we introduce a class of structured regularizers, based on symmetric gauge functions, which allow for solving constrained optimization on the SPD manifold with faster unconstrained methods. We show that our structured regularizers can be chosen to preserve or induce desirable structure, in particular convexity and "difference of convex" structure. We demonstrate the effectiveness of our approach in numerical experiments.




Abstract:Data with geometric structure is ubiquitous in machine learning often arising from fundamental symmetries in a domain, such as permutation-invariance in graphs and translation-invariance in images. Group-convolutional architectures, which encode symmetries as inductive bias, have shown great success in applications, but can suffer from instabilities as their depth increases and often struggle to learn long range dependencies in data. For instance, graph neural networks experience instability due to the convergence of node representations (over-smoothing), which can occur after only a few iterations of message-passing, reducing their effectiveness in downstream tasks. Here, we propose and study unitary group convolutions, which allow for deeper networks that are more stable during training. The main focus of the paper are graph neural networks, where we show that unitary graph convolutions provably avoid over-smoothing. Our experimental results confirm that unitary graph convolutional networks achieve competitive performance on benchmark datasets compared to state-of-the-art graph neural networks. We complement our analysis of the graph domain with the study of general unitary convolutions and analyze their role in enhancing stability in general group convolutional architectures.




Abstract:The quest for robust and generalizable machine learning models has driven recent interest in exploiting symmetries through equivariant neural networks. In the context of PDE solvers, recent works have shown that Lie point symmetries can be a useful inductive bias for Physics-Informed Neural Networks (PINNs) through data and loss augmentation. Despite this, directly enforcing equivariance within the model architecture for these problems remains elusive. This is because many PDEs admit non-compact symmetry groups, oftentimes not studied beyond their infinitesimal generators, making them incompatible with most existing equivariant architectures. In this work, we propose Lie aLgebrA Canonicalization (LieLAC), a novel approach that exploits only the action of infinitesimal generators of the symmetry group, circumventing the need for knowledge of the full group structure. To achieve this, we address existing theoretical issues in the canonicalization literature, establishing connections with frame averaging in the case of continuous non-compact groups. Operating within the framework of canonicalization, LieLAC can easily be integrated with unconstrained pre-trained models, transforming inputs to a canonical form before feeding them into the existing model, effectively aligning the input for model inference according to allowed symmetries. LieLAC utilizes standard Lie group descent schemes, achieving equivariance in pre-trained models. Finally, we showcase LieLAC's efficacy on tasks of invariant image classification and Lie point symmetry equivariant neural PDE solvers using pre-trained models.


Abstract:Convex programming plays a fundamental role in machine learning, data science, and engineering. Testing convexity structure in nonlinear programs relies on verifying the convexity of objectives and constraints. \citet{grant2006disciplined} introduced a framework, Disciplined Convex Programming (DCP), for automating this verification task for a wide range of convex functions that can be decomposed into basic convex functions (atoms) using convexity-preserving compositions and transformations (rules). However, the restriction to Euclidean convexity concepts can limit the applicability of the framework. For instance, many notable instances of statistical estimators and matrix-valued (sub)routines in machine learning applications are Euclidean non-convex, but exhibit geodesic convexity through a more general Riemannian lens. In this work, we extend disciplined programming to this setting by introducing Disciplined Geodesically Convex Programming (DGCP). We determine convexity-preserving compositions and transformations for geodesically convex functions on general Cartan-Hadamard manifolds, as well as for the special case of symmetric positive definite matrices, a common setting in matrix-valued optimization. For the latter, we also define a basic set of atoms. Our paper is accompanied by a Julia package SymbolicAnalysis.jl, which provides functionality for testing and certifying DGCP-compliant expressions. Our library interfaces with manifold optimization software, which allows for directly solving verified geodesically convex programs.