Imec Netherlands
Abstract:Synaptic delay parameterization of neural network models have remained largely unexplored but recent literature has been showing promising results, suggesting the delay parameterized models are simpler, smaller, sparser, and thus more energy efficient than similar performing (e.g. task accuracy) non-delay parameterized ones. We introduce Shared Circular Delay Queue (SCDQ), a novel hardware structure for supporting synaptic delays on digital neuromorphic accelerators. Our analysis and hardware results show that it scales better in terms of memory, than current commonly used approaches, and is more amortizable to algorithm-hardware co-optimizations, where in fact, memory scaling is modulated by model sparsity and not merely network size. Next to memory we also report performance on latency area and energy per inference.




Abstract:Currently, neural-network processing in machine learning applications relies on layer synchronization, whereby neurons in a layer aggregate incoming currents from all neurons in the preceding layer, before evaluating their activation function. This is practiced even in artificial Spiking Neural Networks (SNNs), which are touted as consistent with neurobiology, in spite of processing in the brain being, in fact asynchronous. A truly asynchronous system however would allow all neurons to evaluate concurrently their threshold and emit spikes upon receiving any presynaptic current. Omitting layer synchronization is potentially beneficial, for latency and energy efficiency, but asynchronous execution of models previously trained with layer synchronization may entail a mismatch in network dynamics and performance. We present a study that documents and quantifies this problem in three datasets on our simulation environment that implements network asynchrony, and we show that models trained with layer synchronization either perform sub-optimally in absence of the synchronization, or they will fail to benefit from any energy and latency reduction, when such a mechanism is in place. We then "make ends meet" and address the problem with unlayered backprop, a novel backpropagation-based training method, for learning models suitable for asynchronous processing. We train with it models that use different neuron execution scheduling strategies, and we show that although their neurons are more reactive, these models consistently exhibit lower overall spike density (up to 50%), reach a correct decision faster (up to 2x) without integrating all spikes, and achieve superior accuracy (up to 10% higher). Our findings suggest that asynchronous event-based (neuromorphic) AI computing is indeed more efficient, but we need to seriously rethink how we train our SNN models, to benefit from it.




Abstract:Spiking neural networks (SNNs) for event-based optical flow are claimed to be computationally more efficient than their artificial neural networks (ANNs) counterparts, but a fair comparison is missing in the literature. In this work, we propose an event-based optical flow solution based on activation sparsification and a neuromorphic processor, SENECA. SENECA has an event-driven processing mechanism that can exploit the sparsity in ANN activations and SNN spikes to accelerate the inference of both types of neural networks. The ANN and the SNN for comparison have similar low activation/spike density (~5%) thanks to our novel sparsification-aware training. In the hardware-in-loop experiments designed to deduce the average time and energy consumption, the SNN consumes 44.9ms and 927.0 microjoules, which are 62.5% and 75.2% of the ANN's consumption, respectively. We find that SNN's higher efficiency attributes to its lower pixel-wise spike density (43.5% vs. 66.5%) that requires fewer memory access operations for neuron states.




Abstract:Neuromorphic processors are well-suited for efficiently handling sparse events from event-based cameras. However, they face significant challenges in the growth of computing demand and hardware costs as the input resolution increases. This paper proposes the Trainable Region-of-Interest Prediction (TRIP), the first hardware-efficient hard attention framework for event-based vision processing on a neuromorphic processor. Our TRIP framework actively produces low-resolution Region-of-Interest (ROIs) for efficient and accurate classification. The framework exploits sparse events' inherent low information density to reduce the overhead of ROI prediction. We introduced extensive hardware-aware optimizations for TRIP and implemented the hardware-optimized algorithm on the SENECA neuromorphic processor. We utilized multiple event-based classification datasets for evaluation. Our approach achieves state-of-the-art accuracies in all datasets and produces reasonable ROIs with varying locations and sizes. On the DvsGesture dataset, our solution requires 46x less computation than the state-of-the-art while achieving higher accuracy. Furthermore, TRIP enables more than 2x latency and energy improvements on the SENECA neuromorphic processor compared to the conventional solution.




Abstract:For Edge AI applications, deploying online learning and adaptation on resource-constrained embedded devices can deal with fast sensor-generated streams of data in changing environments. However, since maintaining low-latency and power-efficient inference is paramount at the Edge, online learning and adaptation on the device should impose minimal additional overhead for inference. With this goal in mind, we explore energy-efficient learning and adaptation on-device for streaming-data Edge AI applications using Spiking Neural Networks (SNNs), which follow the principles of brain-inspired computing, such as high-parallelism, neuron co-located memory and compute, and event-driven processing. We propose EON-1, a brain-inspired processor for near-sensor extreme edge online feature extraction, that integrates a fast online learning and adaptation algorithm. We report results of only 1% energy overhead for learning, by far the lowest overhead when compared to other SoTA solutions, while attaining comparable inference accuracy. Furthermore, we demonstrate that EON-1 is up for the challenge of low-latency processing of HD and UHD streaming video in real-time, with learning enabled.




Abstract:Configurable synaptic delays are a basic feature in many neuromorphic neural network hardware accelerators. However, they have been rarely used in model implementations, despite their promising impact on performance and efficiency in tasks that exhibit complex (temporal) dynamics, as it has been unclear how to optimize them. In this work, we propose a framework to train and deploy, in digital neuromorphic hardware, highly performing spiking neural network models (SNNs) where apart from the synaptic weights, the per-synapse delays are also co-optimized. Leveraging spike-based back-propagation-through-time, the training accounts for both platform constraints, such as synaptic weight precision and the total number of parameters per core, as a function of the network size. In addition, a delay pruning technique is used to reduce memory footprint with a low cost in performance. We evaluate trained models in two neuromorphic digital hardware platforms: Intel Loihi and Imec Seneca. Loihi offers synaptic delay support using the so-called Ring-Buffer hardware structure. Seneca does not provide native hardware support for synaptic delays. A second contribution of this paper is therefore a novel area- and memory-efficient hardware structure for acceleration of synaptic delays, which we have integrated in Seneca. The evaluated benchmark involves several models for solving the SHD (Spiking Heidelberg Digits) classification task, where minimal accuracy degradation during the transition from software to hardware is demonstrated. To our knowledge, this is the first work showcasing how to train and deploy hardware-aware models parameterized with synaptic delays, on multicore neuromorphic hardware accelerators.




Abstract:The field of neuromorphic computing holds great promise in terms of advancing computing efficiency and capabilities by following brain-inspired principles. However, the rich diversity of techniques employed in neuromorphic research has resulted in a lack of clear standards for benchmarking, hindering effective evaluation of the advantages and strengths of neuromorphic methods compared to traditional deep-learning-based methods. This paper presents a collaborative effort, bringing together members from academia and the industry, to define benchmarks for neuromorphic computing: NeuroBench. The goals of NeuroBench are to be a collaborative, fair, and representative benchmark suite developed by the community, for the community. In this paper, we discuss the challenges associated with benchmarking neuromorphic solutions, and outline the key features of NeuroBench. We believe that NeuroBench will be a significant step towards defining standards that can unify the goals of neuromorphic computing and drive its technological progress. Please visit neurobench.ai for the latest updates on the benchmark tasks and metrics.




Abstract:Sparse and event-driven spiking neural network (SNN) algorithms are the ideal candidate solution for energy-efficient edge computing. Yet, with the growing complexity of SNN algorithms, it isn't easy to properly benchmark and optimize their computational cost without hardware in the loop. Although digital neuromorphic processors have been widely adopted to benchmark SNN algorithms, their black-box nature is problematic for algorithm-hardware co-optimization. In this work, we open the black box of the digital neuromorphic processor for algorithm designers by presenting the neuron processing instruction set and detailed energy consumption of the SENeCA neuromorphic architecture. For convenient benchmarking and optimization, we provide the energy cost of the essential neuromorphic components in SENeCA, including neuron models and learning rules. Moreover, we exploit the SENeCA's hierarchical memory and exhibit an advantage over existing neuromorphic processors. We show the energy efficiency of SNN algorithms for video processing and online learning, and demonstrate the potential of our work for optimizing algorithm designs. Overall, we present a practical approach to enable algorithm designers to accurately benchmark SNN algorithms and pave the way towards effective algorithm-hardware co-design.




Abstract:Activation sparsity improves compute efficiency and resource utilization in sparsity-aware neural network accelerators. As the predominant operation in DNNs is multiply-accumulate (MAC) of activations with weights to compute inner products, skipping operations where (at least) one of the two operands is zero can make inference more efficient in terms of latency and power. Spatial sparsification of activations is a popular topic in DNN literature and several methods have already been established to bias a DNN for it. On the other hand, temporal sparsity is an inherent feature of bio-inspired spiking neural networks (SNNs), which neuromorphic processing exploits for hardware efficiency. Introducing and exploiting spatio-temporal sparsity, is a topic much less explored in DNN literature, but in perfect resonance with the trend in DNN, to shift from static signal processing to more streaming signal processing. Towards this goal, in this paper we introduce a new DNN layer (called Delta Activation Layer), whose sole purpose is to promote temporal sparsity of activations during training. A Delta Activation Layer casts temporal sparsity into spatial activation sparsity to be exploited when performing sparse tensor multiplications in hardware. By employing delta inference and ``the usual'' spatial sparsification heuristics during training, the resulting model learns to exploit not only spatial but also temporal activation sparsity (for a given input data distribution). One may use the Delta Activation Layer either during vanilla training or during a refinement phase. We have implemented Delta Activation Layer as an extension of the standard Tensoflow-Keras library, and applied it to train deep neural networks on the Human Action Recognition (UCF101) dataset. We report an almost 3x improvement of activation sparsity, with recoverable loss of model accuracy after longer training.




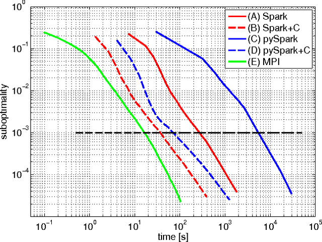
Abstract:In this paper we explore the performance limits of Apache Spark for machine learning applications. We begin by analyzing the characteristics of a state-of-the-art distributed machine learning algorithm implemented in Spark and compare it to an equivalent reference implementation using the high performance computing framework MPI. We identify critical bottlenecks of the Spark framework and carefully study their implications on the performance of the algorithm. In order to improve Spark performance we then propose a number of practical techniques to alleviate some of its overheads. However, optimizing computational efficiency and framework related overheads is not the only key to performance -- we demonstrate that in order to get the best performance out of any implementation it is necessary to carefully tune the algorithm to the respective trade-off between computation time and communication latency. The optimal trade-off depends on both the properties of the distributed algorithm as well as infrastructure and framework-related characteristics. Finally, we apply these technical and algorithmic optimizations to three different distributed linear machine learning algorithms that have been implemented in Spark. We present results using five large datasets and demonstrate that by using the proposed optimizations, we can achieve a reduction in the performance difference between Spark and MPI from 20x to 2x.