



Abstract:In this study, we introduce a measure for machine perception, inspired by the concept of Just Noticeable Difference (JND) of human perception. Based on this measure, we suggest an adversarial image generation algorithm, which iteratively distorts an image by an additive noise until the machine learning model detects the change in the image by outputting a false label. The amount of noise added to the original image is defined as the gradient of the cost function of the machine learning model. This cost function explicitly minimizes the amount of perturbation applied on the input image and it is regularized by bounded range and total variation functions to assure perceptual similarity of the adversarial image to the input. We evaluate the adversarial images generated by our algorithm both qualitatively and quantitatively on CIFAR10, ImageNet, and MS COCO datasets. Our experiments on image classification and object detection tasks show that adversarial images generated by our method are both more successful in deceiving the recognition/detection model and less perturbed compared to the images generated by the state-of-the-art methods.




Abstract:One way of designing a robust machine learning algorithm is to generate authentic adversarial images which can trick the algorithms as much as possible. In this study, we propose a new method to generate adversarial images which are very similar to true images, yet, these images are discriminated from the original ones and are assigned into another category by the model. The proposed method is based on a popular concept of experimental psychology, called, Just Noticeable Difference. We define Just Noticeable Difference for a machine learning model and generate a least perceptible difference for adversarial images which can trick a model. The suggested model iteratively distorts a true image by gradient descent method until the machine learning algorithm outputs a false label. Deep Neural Networks are trained for object detection and classification tasks. The cost function includes regularization terms to generate just noticeably different adversarial images which can be detected by the model. The adversarial images generated in this study looks more natural compared to the output of state of the art adversarial image generators.




Abstract:The problem of detecting the presence of Social Anxiety Disorder (SAD) using Electroencephalography (EEG) for classification has seen limited study and is addressed with a new approach that seeks to exploit the knowledge of EEG sensor spatial configuration. Two classification models, one which ignores the configuration (model 1) and one that exploits it with different interpolation methods (model 2), are studied. Performance of these two models is examined for analyzing 34 EEG data channels each consisting of five frequency bands and further decomposed with a filter bank. The data are collected from 64 subjects consisting of healthy controls and patients with SAD. Validity of our hypothesis that model 2 will significantly outperform model 1 is borne out in the results, with accuracy $6$--$7\%$ higher for model 2 for each machine learning algorithm we investigated. Convolutional Neural Networks (CNN) were found to provide much better performance than SVM and kNNs.




Abstract:Complex problem solving is a high level cognitive process which has been thoroughly studied over the last decade. The Tower of London (TOL) is a task that has been widely used to study problem-solving. In this study, we aim to explore the underlying cognitive network dynamics among anatomical regions of complex problem solving and its sub-phases, namely planning and execution. A new brain network construction model establishing dynamic functional brain networks using fMRI is proposed. The first step of the model is a preprocessing pipeline that manages to decrease the spatial redundancy while increasing the temporal resolution of the fMRI recordings. Then, dynamic brain networks are estimated using artificial neural networks. The network properties of the estimated brain networks are studied in order to identify regions of interest, such as hubs and subgroups of densely connected brain regions. The major similarities and dissimilarities of the network structure of planning and execution phases are highlighted. Our findings show the hubs and clusters of densely interconnected regions during both subtasks. It is observed that there are more hubs during the planning phase compared to the execution phase, and the clusters are more strongly connected during planning compared to execution.




Abstract:In this study, we propose a neural network approach to capture the functional connectivities among anatomic brain regions. The suggested approach estimates a set of brain networks, each of which represents the connectivity patterns of a cognitive process. We employ two different architectures of neural networks to extract directed and undirected brain networks from functional Magnetic Resonance Imaging (fMRI) data. Then, we use the edge weights of the estimated brain networks to train a classifier, namely, Support Vector Machines(SVM) to label the underlying cognitive process. We compare our brain network models with popular models, which generate similar functional brain networks. We observe that both undirected and directed brain networks surpass the performances of the network models used in the fMRI literature. We also observe that directed brain networks offer more discriminative features compared to the undirected ones for recognizing the cognitive processes. The representation power of the suggested brain networks are tested in a task-fMRI dataset of Human Connectome Project and a Complex Problem Solving dataset.




Abstract:The main goal of this study is to extract a set of brain networks in multiple time-resolutions to analyze the connectivity patterns among the anatomic regions for a given cognitive task. We suggest a deep architecture which learns the natural groupings of the connectivity patterns of human brain in multiple time-resolutions. The suggested architecture is tested on task data set of Human Connectome Project (HCP) where we extract multi-resolution networks, each of which corresponds to a cognitive task. At the first level of this architecture, we decompose the fMRI signal into multiple sub-bands using wavelet decompositions. At the second level, for each sub-band, we estimate a brain network extracted from short time windows of the fMRI signal. At the third level, we feed the adjacency matrices of each mesh network at each time-resolution into an unsupervised deep learning algorithm, namely, a Stacked De- noising Auto-Encoder (SDAE). The outputs of the SDAE provide a compact connectivity representation for each time window at each sub-band of the fMRI signal. We concatenate the learned representations of all sub-bands at each window and cluster them by a hierarchical algorithm to find the natural groupings among the windows. We observe that each cluster represents a cognitive task with a performance of 93% Rand Index and 71% Adjusted Rand Index. We visualize the mean values and the precisions of the networks at each component of the cluster mixture. The mean brain networks at cluster centers show the variations among cognitive tasks and the precision of each cluster shows the within cluster variability of networks, across the subjects.



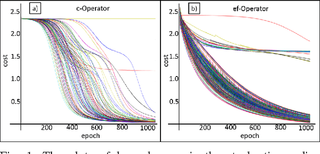
Abstract:In recent years, machine learning techniques based on neural networks for mobile computing become increasingly popular. Classical multi-layer neural networks require matrix multiplications at each stage. Multiplication operation is not an energy efficient operation and consequently it drains the battery of the mobile device. In this paper, we propose a new energy efficient neural network with the universal approximation property over space of Lebesgue integrable functions. This network, called, additive neural network, is very suitable for mobile computing. The neural structure is based on a novel vector product definition, called ef-operator, that permits a multiplier-free implementation. In ef-operation, the "product" of two real numbers is defined as the sum of their absolute values, with the sign determined by the sign of the product of the numbers. This "product" is used to construct a vector product in $R^N$. The vector product induces the $l_1$ norm. The proposed additive neural network successfully solves the XOR problem. The experiments on MNIST dataset show that the classification performances of the proposed additive neural networks are very similar to the corresponding multi-layer perceptron and convolutional neural networks (LeNet).




Abstract:In this work, we propose a novel framework to encode the local connectivity patterns of brain, using Fisher Vectors (FV), Vector of Locally Aggregated Descriptors (VLAD) and Bag-of-Words (BoW) methods. We first obtain local descriptors, called Mesh Arc Descriptors (MADs) from fMRI data, by forming local meshes around anatomical regions, and estimating their relationship within a neighborhood. Then, we extract a dictionary of relationships, called \textit{brain connectivity dictionary} by fitting a generative Gaussian mixture model (GMM) to a set of MADs, and selecting the codewords at the mean of each component of the mixture. Codewords represent the connectivity patterns among anatomical regions. We also encode MADs by VLAD and BoW methods using the k-Means clustering. We classify the cognitive states of Human Connectome Project (HCP) task fMRI dataset, where we train support vector machines (SVM) by the encoded MADs. Results demonstrate that, FV encoding of MADs can be successfully employed for classification of cognitive tasks, and outperform the VLAD and BoW representations. Moreover, we identify the significant Gaussians in mixture models by computing energy of their corresponding FV parts, and analyze their effect on classification accuracy. Finally, we suggest a new method to visualize the codewords of brain connectivity dictionary.




Abstract:In this paper, we propose a novel finetuning algorithm for the recently introduced multi-way, mulitlingual neural machine translate that enables zero-resource machine translation. When used together with novel many-to-one translation strategies, we empirically show that this finetuning algorithm allows the multi-way, multilingual model to translate a zero-resource language pair (1) as well as a single-pair neural translation model trained with up to 1M direct parallel sentences of the same language pair and (2) better than pivot-based translation strategy, while keeping only one additional copy of attention-related parameters.




Abstract:We represent the sequence of fMRI (Functional Magnetic Resonance Imaging) brain volumes recorded during a cognitive stimulus by a graph which consists of a set of local meshes. The corresponding cognitive process, encoded in the brain, is then represented by these meshes each of which is estimated assuming a linear relationship among the voxel time series in a predefined locality. First, we define the concept of locality in two neighborhood systems, namely, the spatial and functional neighborhoods. Then, we construct spatially and functionally local meshes around each voxel, called seed voxel, by connecting it either to its spatial or functional p-nearest neighbors. The mesh formed around a voxel is a directed sub-graph with a star topology, where the direction of the edges is taken towards the seed voxel at the center of the mesh. We represent the time series recorded at each seed voxel in terms of linear combination of the time series of its p-nearest neighbors in the mesh. The relationships between a seed voxel and its neighbors are represented by the edge weights of each mesh, and are estimated by solving a linear regression equation. The estimated mesh edge weights lead to a better representation of information in the brain for encoding and decoding of the cognitive tasks. We test our model on a visual object recognition and emotional memory retrieval experiments using Support Vector Machines that are trained using the mesh edge weights as features. In the experimental analysis, we observe that the edge weights of the spatial and functional meshes perform better than the state-of-the-art brain decoding models.