Google Inc
Abstract:In this paper, we show that direct preference optimization (DPO) is a very specific form of a connection between two major theories in the ML context of learning from preferences: loss functions (Savage) and stochastic choice (Doignon-Falmagne and Machina). The connection is established for all of Savage's losses and at this level of generality, (i) it includes support for abstention on the choice theory side, (ii) it includes support for non-convex objectives on the ML side, and (iii) it allows to frame for free some notable extensions of the DPO setting, including margins and corrections for length. Getting to understand how DPO operates from a general principled perspective is crucial because of the huge and diverse application landscape of models, because of the current momentum around DPO, but also -- and importantly -- because many state of the art variations on DPO definitely occupy a small region of the map that we cover. It also helps to understand the pitfalls of departing from this map, and figure out workarounds.




Abstract:Vector Quantized Variational AutoEncoders (VQ-VAEs) are designed to compress a continuous input to a discrete latent space and reconstruct it with minimal distortion. They operate by maintaining a set of vectors -- often referred to as the codebook -- and quantizing each encoder output to the nearest vector in the codebook. However, as vector quantization is non-differentiable, the gradient to the encoder flows around the vector quantization layer rather than through it in a straight-through approximation. This approximation may be undesirable as all information from the vector quantization operation is lost. In this work, we propose a way to propagate gradients through the vector quantization layer of VQ-VAEs. We smoothly transform each encoder output into its corresponding codebook vector via a rotation and rescaling linear transformation that is treated as a constant during backpropagation. As a result, the relative magnitude and angle between encoder output and codebook vector becomes encoded into the gradient as it propagates through the vector quantization layer and back to the encoder. Across 11 different VQ-VAE training paradigms, we find this restructuring improves reconstruction metrics, codebook utilization, and quantization error. Our code is available at https://github.com/cfifty/rotation_trick.




Abstract:How well do existing federated learning algorithms learn from client devices that return model updates with a significant time delay? Is it even possible to learn effectively from clients that report back minutes, hours, or days after being scheduled? We answer these questions by developing Monte Carlo simulations of client latency that are guided by real-world applications. We study synchronous optimization algorithms like FedAvg and FedAdam as well as the asynchronous FedBuff algorithm, and observe that all these existing approaches struggle to learn from severely delayed clients. To improve upon this situation, we experiment with modifications, including distillation regularization and exponential moving averages of model weights. Finally, we introduce two new algorithms, FARe-DUST and FeAST-on-MSG, based on distillation and averaging, respectively. Experiments with the EMNIST, CIFAR-100, and StackOverflow benchmark federated learning tasks demonstrate that our new algorithms outperform existing ones in terms of accuracy for straggler clients, while also providing better trade-offs between training time and total accuracy.




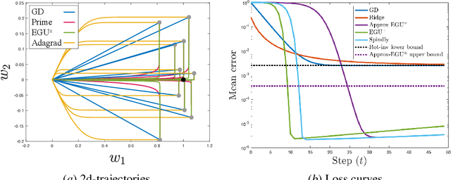
Abstract:It is well known that the class of rotation invariant algorithms are suboptimal even for learning sparse linear problems when the number of examples is below the "dimension" of the problem. This class includes any gradient descent trained neural net with a fully-connected input layer (initialized with a rotationally symmetric distribution). The simplest sparse problem is learning a single feature out of $d$ features. In that case the classification error or regression loss grows with $1-k/n$ where $k$ is the number of examples seen. These lower bounds become vacuous when the number of examples $k$ reaches the dimension $d$. We show that when noise is added to this sparse linear problem, rotation invariant algorithms are still suboptimal after seeing $d$ or more examples. We prove this via a lower bound for the Bayes optimal algorithm on a rotationally symmetrized problem. We then prove much lower upper bounds on the same problem for simple non-rotation invariant algorithms. Finally we analyze the gradient flow trajectories of many standard optimization algorithms in some simple cases and show how they veer toward or away from the sparse targets. We believe that our trajectory categorization will be useful in designing algorithms that can exploit sparse targets and our method for proving lower bounds will be crucial for analyzing other families of algorithms that admit different classes of invariances.




Abstract:Most mathematical distortions used in ML are fundamentally integral in nature: $f$-divergences, Bregman divergences, (regularized) optimal transport distances, integral probability metrics, geodesic distances, etc. In this paper, we unveil a grounded theory and tools which can help improve these distortions to better cope with ML requirements. We start with a generalization of Riemann integration that also encapsulates functions that are not strictly additive but are, more generally, $t$-additive, as in nonextensive statistical mechanics. Notably, this recovers Volterra's product integral as a special case. We then generalize the Fundamental Theorem of calculus using an extension of the (Euclidean) derivative. This, along with a series of more specific Theorems, serves as a basis for results showing how one can specifically design, alter, or change fundamental properties of distortion measures in a simple way, with a special emphasis on geometric- and ML-related properties that are the metricity, hyperbolicity, and encoding. We show how to apply it to a problem that has recently gained traction in ML: hyperbolic embeddings with a "cheap" and accurate encoding along the hyperbolic vs Euclidean scale. We unveil a new application for which the Poincar\'e disk model has very appealing features, and our theory comes in handy: \textit{model} embeddings for boosted combinations of decision trees, trained using the log-loss (trees) and logistic loss (combinations).
Abstract:This report introduces a new family of multimodal models, Gemini, that exhibit remarkable capabilities across image, audio, video, and text understanding. The Gemini family consists of Ultra, Pro, and Nano sizes, suitable for applications ranging from complex reasoning tasks to on-device memory-constrained use-cases. Evaluation on a broad range of benchmarks shows that our most-capable Gemini Ultra model advances the state of the art in 30 of 32 of these benchmarks - notably being the first model to achieve human-expert performance on the well-studied exam benchmark MMLU, and improving the state of the art in every one of the 20 multimodal benchmarks we examined. We believe that the new capabilities of Gemini models in cross-modal reasoning and language understanding will enable a wide variety of use cases and we discuss our approach toward deploying them responsibly to users.




Abstract:Tempered Exponential Measures (TEMs) are a parametric generalization of the exponential family of distributions maximizing the tempered entropy function among positive measures subject to a probability normalization of their power densities. Calculus on TEMs relies on a deformed algebra of arithmetic operators induced by the deformed logarithms used to define the tempered entropy. In this work, we introduce three different parameterizations of finite discrete TEMs via Legendre functions of the negative tempered entropy function. In particular, we establish an isometry between such parameterizations in terms of a generalization of the Hilbert log cross-ratio simplex distance to a tempered Hilbert co-simplex distance. Similar to the Hilbert geometry, the tempered Hilbert distance is characterized as a $t$-symmetrization of the oriented tempered Funk distance. We motivate our construction by introducing the notion of $t$-lengths of smooth curves in a tautological Finsler manifold. We then demonstrate the properties of our generalized structure in different settings and numerically examine the quality of its differentiable approximations for optimization in machine learning settings.




Abstract:Large Language Models like ChatGPT demonstrate a remarkable capacity to learn new concepts during inference without any fine-tuning. However, visual models trained to detect new objects during inference have been unable to replicate this ability, and instead either perform poorly or require meta-training and/or fine-tuning on similar objects. In this work, we propose a meta-learning algorithm that emulates Large Language Models by learning new visual concepts during inference without fine-tuning. Our approach leverages a frozen pre-trained feature extractor, and analogous to in-context learning, recasts meta-learning as sequence modeling over datapoints with known labels and a test datapoint with an unknown label. On 8 out of 11 meta-learning benchmarks, our approach -- without meta-training or fine-tuning -- exceeds or matches the state-of-the-art algorithm, P>M>F, which is meta-trained on these benchmarks.




Abstract:Federated Averaging, and many federated learning algorithm variants which build upon it, have a limitation: all clients must share the same model architecture. This results in unused modeling capacity on many clients, which limits model performance. To address this issue, we propose a method that involves training a small model on the entire pool and a larger model on a subset of clients with higher capacity. The models exchange information bidirectionally via knowledge distillation, utilizing an unlabeled dataset on a server without sharing parameters. We present two variants of our method, which improve upon federated averaging on image classification and language modeling tasks. We show this technique can be useful even if only out-of-domain or limited in-domain distillation data is available. Additionally, the bi-directional knowledge distillation allows for domain transfer between the models when different pool populations introduce domain shift.




Abstract:The generalization ability of machine learning models degrades significantly when the test distribution shifts away from the training distribution. We investigate the problem of training models that are robust to shifts caused by changes in the distribution of class-priors or group-priors. The presence of skewed training priors can often lead to the models overfitting to spurious features. Unlike existing methods, which optimize for either the worst or the average performance over classes or groups, our work is motivated by the need for finer control over the robustness properties of the model. We present an extremely lightweight post-hoc approach that performs scaling adjustments to predictions from a pre-trained model, with the goal of minimizing a distributionally robust loss around a chosen target distribution. These adjustments are computed by solving a constrained optimization problem on a validation set and applied to the model during test time. Our constrained optimization objective is inspired by a natural notion of robustness to controlled distribution shifts. Our method comes with provable guarantees and empirically makes a strong case for distributional robust post-hoc classifiers. An empirical implementation is available at https://github.com/weijiaheng/Drops.