Abstract:We address the problem of detecting a change in the distribution of a high-dimensional multivariate normal time series. Assuming that the post-change parameters are unknown and estimated using a window of historical data, we extend the framework of quickest change detection (QCD) to the highdimensional setting in which the number of variables increases proportionally with the size of the window used to estimate the post-change parameters. Our analysis reveals that an information theoretic quantity, which we call the Normalized High- Dimensional Kullback-Leibler divergence (NHDKL), governs the high-dimensional asymptotic performance of QCD procedures. Specifically, we show that the detection delay is asymptotically inversely proportional to the difference between the NHDKL of the true post-change versus pre-change distributions and the NHDKL of the true versus estimated post-change distributions. In cases of perfect estimation, where the latter NHDKL is zero, the delay is inversely proportional to the NHDKL between the post-change and pre-change distributions alone. Thus, our analysis is a direct generalization of the traditional fixed-dimension, large-sample asymptotic framework, where the standard KL divergence is asymptotically inversely proportional to detection delay. Finally, we identify parameter estimators that asymptotically minimize the NHDKL between the true versus estimated post-change distributions, resulting in a QCD method that is guaranteed to outperform standard approaches based on fixed-dimension asymptotics.
Abstract:Diffusion models, emerging as powerful deep generative tools, excel in various applications. They operate through a two-steps process: introducing noise into training samples and then employing a model to convert random noise into new samples (e.g., images). However, their remarkable generative performance is hindered by slow training and sampling. This is due to the necessity of tracking extensive forward and reverse diffusion trajectories, and employing a large model with numerous parameters across multiple timesteps (i.e., noise levels). To tackle these challenges, we present a multi-stage framework inspired by our empirical findings. These observations indicate the advantages of employing distinct parameters tailored to each timestep while retaining universal parameters shared across all time steps. Our approach involves segmenting the time interval into multiple stages where we employ custom multi-decoder U-net architecture that blends time-dependent models with a universally shared encoder. Our framework enables the efficient distribution of computational resources and mitigates inter-stage interference, which substantially improves training efficiency. Extensive numerical experiments affirm the effectiveness of our framework, showcasing significant training and sampling efficiency enhancements on three state-of-the-art diffusion models, including large-scale latent diffusion models. Furthermore, our ablation studies illustrate the impact of two important components in our framework: (i) a novel timestep clustering algorithm for stage division, and (ii) an innovative multi-decoder U-net architecture, seamlessly integrating universal and customized hyperparameters.
Abstract:Detecting communities in high-dimensional graphs can be achieved by applying random matrix theory where the adjacency matrix of the graph is modeled by a Stochastic Block Model (SBM). However, the SBM makes an unrealistic assumption that the edge probabilities are homogeneous within communities, i.e., the edges occur with the same probabilities. The Degree-Corrected SBM is a generalization of the SBM that allows these edge probabilities to be different, but existing results from random matrix theory are not directly applicable to this heterogeneous model. In this paper, we derive a transformation of the adjacency matrix that eliminates this heterogeneity and preserves the relevant eigenstructure for community detection. We propose a test based on the extreme eigenvalues of this transformed matrix and (1) provide a method for controlling the significance level, (2) formulate a conjecture that the test achieves power one for all positive significance levels in the limit as the number of nodes approaches infinity, and (3) provide empirical evidence and theory supporting these claims.
Abstract:Overparameterized models have proven to be powerful tools for solving various machine learning tasks. However, overparameterization often leads to a substantial increase in computational and memory costs, which in turn requires extensive resources to train. In this work, we aim to reduce this complexity by studying the learning dynamics of overparameterized deep networks. By extensively studying its learning dynamics, we unveil that the weight matrices of various architectures exhibit a low-dimensional structure. This finding implies that we can compress the networks by reducing the training to a small subspace. We take a step in developing a principled approach for compressing deep networks by studying deep linear models. We demonstrate that the principal components of deep linear models are fitted incrementally but within a small subspace, and use these insights to compress deep linear networks by decreasing the width of its intermediate layers. Remarkably, we observe that with a particular choice of initialization, the compressed network converges faster than the original network, consistently yielding smaller recovery errors throughout all iterations of gradient descent. We substantiate this observation by developing a theory focused on the deep matrix factorization problem, and by conducting empirical evaluations on deep matrix sensing. Finally, we demonstrate how our compressed model can enhance the utility of deep nonlinear models. Overall, we observe that our compression technique accelerates the training process by more than 2x, without compromising model quality.
Abstract:Deep learning research has uncovered the phenomenon of benign overfitting for over-parameterized statistical models, which has drawn significant theoretical interest in recent years. Given its simplicity and practicality, the ordinary least squares (OLS) interpolator has become essential to gain foundational insights into this phenomenon. While properties of OLS are well established in classical settings, its behavior in high-dimensional settings is less explored (unlike for ridge or lasso regression) though significant progress has been made of late. We contribute to this growing literature by providing fundamental algebraic and statistical results for the minimum $\ell_2$-norm OLS interpolator. In particular, we provide high-dimensional algebraic equivalents of (i) the leave-$k$-out residual formula, (ii) Cochran's formula, and (iii) the Frisch-Waugh-Lovell theorem. These results aid in understanding the OLS interpolator's ability to generalize and have substantive implications for causal inference. Additionally, under the Gauss-Markov model, we present statistical results such as a high-dimensional extension of the Gauss-Markov theorem and an analysis of variance estimation under homoskedastic errors. To substantiate our theoretical contributions, we conduct simulation studies that further explore the stochastic properties of the OLS interpolator.
Abstract:Recalibrating probabilistic classifiers is vital for enhancing the reliability and accuracy of predictive models. Despite the development of numerous recalibration algorithms, there is still a lack of a comprehensive theory that integrates calibration and sharpness (which is essential for maintaining predictive power). In this paper, we introduce the concept of minimum-risk recalibration within the framework of mean-squared-error (MSE) decomposition, offering a principled approach for evaluating and recalibrating probabilistic classifiers. Using this framework, we analyze the uniform-mass binning (UMB) recalibration method and establish a finite-sample risk upper bound of order $\tilde{O}(B/n + 1/B^2)$ where $B$ is the number of bins and $n$ is the sample size. By balancing calibration and sharpness, we further determine that the optimal number of bins for UMB scales with $n^{1/3}$, resulting in a risk bound of approximately $O(n^{-2/3})$. Additionally, we tackle the challenge of label shift by proposing a two-stage approach that adjusts the recalibration function using limited labeled data from the target domain. Our results show that transferring a calibrated classifier requires significantly fewer target samples compared to recalibrating from scratch. We validate our theoretical findings through numerical simulations, which confirm the tightness of the proposed bounds, the optimal number of bins, and the effectiveness of label shift adaptation.
Abstract:Fr\'echet regression has emerged as a promising approach for regression analysis involving non-Euclidean response variables. However, its practical applicability has been hindered by its reliance on ideal scenarios with abundant and noiseless covariate data. In this paper, we present a novel estimation method that tackles these limitations by leveraging the low-rank structure inherent in the covariate matrix. Our proposed framework combines the concepts of global Fr\'echet regression and principal component regression, aiming to improve the efficiency and accuracy of the regression estimator. By incorporating the low-rank structure, our method enables more effective modeling and estimation, particularly in high-dimensional and errors-in-variables regression settings. We provide a theoretical analysis of the proposed estimator's large-sample properties, including a comprehensive rate analysis of bias, variance, and additional variations due to measurement errors. Furthermore, our numerical experiments provide empirical evidence that supports the theoretical findings, demonstrating the superior performance of our approach. Overall, this work introduces a promising framework for regression analysis of non-Euclidean variables, effectively addressing the challenges associated with limited and noisy covariate data, with potential applications in diverse fields.
Abstract:Lifelong learning (LL) aims to improve a predictive model as the data source evolves continuously. Most work in this learning paradigm has focused on resolving the problem of 'catastrophic forgetting,' which refers to a notorious dilemma between improving model accuracy over new data and retaining accuracy over previous data. Yet, it is also known that machine learning (ML) models can be vulnerable in the sense that tiny, adversarial input perturbations can deceive the models into producing erroneous predictions. This motivates the research objective of this paper - specification of a new LL framework that can salvage model robustness (against adversarial attacks) from catastrophic forgetting. Specifically, we propose a new memory-replay LL strategy that leverages modern bi-level optimization techniques to determine the 'coreset' of the current data (i.e., a small amount of data to be memorized) for ease of preserving adversarial robustness over time. We term the resulting LL framework 'Data-Efficient Robustness-Preserving LL' (DERPLL). The effectiveness of DERPLL is evaluated for class-incremental image classification using ResNet-18 over the CIFAR-10 dataset. Experimental results show that DERPLL outperforms the conventional coreset-guided LL baseline and achieves a substantial improvement in both standard accuracy and robust accuracy.
Abstract:We consider the question of learning $Q$-function in a sample efficient manner for reinforcement learning with continuous state and action spaces under a generative model. If $Q$-function is Lipschitz continuous, then the minimal sample complexity for estimating $\epsilon$-optimal $Q$-function is known to scale as ${\Omega}(\frac{1}{\epsilon^{d_1+d_2 +2}})$ per classical non-parametric learning theory, where $d_1$ and $d_2$ denote the dimensions of the state and action spaces respectively. The $Q$-function, when viewed as a kernel, induces a Hilbert-Schmidt operator and hence possesses square-summable spectrum. This motivates us to consider a parametric class of $Q$-functions parameterized by its "rank" $r$, which contains all Lipschitz $Q$-functions as $r \to \infty$. As our key contribution, we develop a simple, iterative learning algorithm that finds $\epsilon$-optimal $Q$-function with sample complexity of $\widetilde{O}(\frac{1}{\epsilon^{\max(d_1, d_2)+2}})$ when the optimal $Q$-function has low rank $r$ and the discounting factor $\gamma$ is below a certain threshold. Thus, this provides an exponential improvement in sample complexity. To enable our result, we develop a novel Matrix Estimation algorithm that faithfully estimates an unknown low-rank matrix in the $\ell_\infty$ sense even in the presence of arbitrary bounded noise, which might be of interest in its own right. Empirical results on several stochastic control tasks confirm the efficacy of our "low-rank" algorithms.
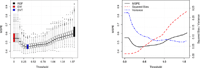
Abstract:We consider the problem of high-dimensional error-in-variable regression where we only observe a sparse, noisy version of the covariate data. We propose an algorithm that utilizes matrix estimation (ME) as a key subroutine to de-noise the corrupted data, and then performs ordinary least squares regression. When the ME subroutine is instantiated with hard singular value thresholding (HSVT), our results indicate that if the number of samples scales as $\omega( \rho^{-4} r \log^5 (p))$, then our in- and out-of-sample prediction error decays to $0$ as $p \rightarrow \infty$; $\rho$ represents the fraction of observed data, $r$ is the (approximate) rank of the true covariate matrix, and $p$ is the number of covariates. As an important byproduct of our approach, we demonstrate that HSVT with regression acts as implicit $\ell_0$-regularization since HSVT aims to find a low-rank structure within the covariance matrix. Thus, we can view the sparsity of the estimated parameter as a consequence of the covariate structure rather than a model assumption as is often considered in the literature. Moreover, our non-asymptotic bounds match (up to $\log^4(p)$ factors) the best guaranteed sample complexity results in the literature for algorithms that require precise knowledge of the underlying model; we highlight that our approach is model agnostic. In our analysis, we obtain two technical results of independent interest: first, we provide a simple bound on the spectral norm of random matrices with independent sub-exponential rows with randomly missing entries; second, we bound the max column sum error -- a nonstandard error metric -- for HSVT. Our setting enables us to apply our results to applications such as synthetic control for causal inference, time series analysis, and regression with privacy. It is important to note that the existing inventory of methods is unable to analyze these applications.