Abstract:Evaluating L2 speech intelligibility is crucial for effective computer-assisted language learning (CALL). Conventional ASR-based methods often focus on native-likeness, which may fail to capture the actual intelligibility perceived by human listeners. In contrast, our work introduces a novel, perception based L2 speech intelligibility indicator that leverages a native rater's shadowing data within a sequence-to-sequence (seq2seq) voice conversion framework. By integrating an alignment mechanism and acoustic feature reconstruction, our approach simulates the auditory perception of native listeners, identifying segments in L2 speech that are likely to cause comprehension difficulties. Both objective and subjective evaluations indicate that our method aligns more closely with native judgments than traditional ASR-based metrics, offering a promising new direction for CALL systems in a global, multilingual contexts.
Abstract:Recently, a method for synthesizing foreign-accented speech only with native speech data using discrete tokens obtained from self-supervised learning (SSL) models was proposed. Considering limited availability of accented speech data, this method is expected to make it much easier to simulate foreign accents. By using the synthesized accented speech as listening materials for humans or training data for automatic speech recognition (ASR), both of them will acquire higher robustness against foreign accents. However, the previous method has a fatal flaw that it cannot reproduce duration-related accents. Durational accents are commonly seen when L2 speakers, whose native language has syllable-timed or mora-timed rhythm, speak stress-timed languages, such as English. In this paper, we integrate duration modification to the previous method to simulate foreign accents more accurately. Experiments show that the proposed method successfully replicates durational accents seen in real L2 speech.
Abstract:In this study, we gained insight that contributes to achieving accent-robust ASR using only native speech data. In human perception of non-native speech, the phenomenon known as "interlanguage speech intelligibility benefit" (ISIB) is observed, where non-native listeners who share the native language with the speaker understand the speech better compared even to native listeners. Based on the idea that discrete tokens extracted from self-supervised learning (SSL) models represent the human perception of speech, we conducted an analytical study on the robustness of discrete token-based ASR to non-native speech, varying the language used for training the tokenization, which is viewed as a technical implementation of ISIB. The results showed that ISIB actually occurred in the discrete token-based ASR. Since our approach relies only on native speech data to simulate the behavior of human perception, it is expected to be applicable to a wide range of accents for which speech data is scarce.




Abstract:We examine the text-free speech representations of raw audio obtained from a self-supervised learning (SSL) model by analyzing the synthesized speech using the SSL representations instead of conventional text representations. Since raw audio does not have paired speech representations as transcribed texts do, obtaining speech representations from unpaired speech is crucial for augmenting available datasets for speech synthesis. Specifically, the proposed speech synthesis is conducted using discrete symbol representations from the SSL model in comparison with text representations, and analytical examinations of the synthesized speech have been carried out. The results empirically show that using text representations is advantageous for preserving semantic information, while using discrete symbol representations is superior for preserving acoustic content, including prosodic and intonational information.




Abstract:Utterances by L2 speakers can be unintelligible due to mispronunciation and improper prosody. In computer-aided language learning systems, textual feedback is often provided using a speech recognition engine. However, an ideal form of feedback for L2 speakers should be so fine-grained that it enables them to detect and diagnose unintelligible parts of L2 speakers' utterances. Inspired by language teachers who correct students' pronunciation through a voice-to-voice process, this pilot study utilizes a unique semi-parallel dataset composed of non-native speakers' (L2) reading aloud, shadowing of native speakers (L1) and their script-shadowing utterances. We explore the technical possibility of replicating the process of an L1 speaker's shadowing L2 speech using Voice Conversion techniques, to create a virtual shadower system. Experimental results demonstrate the feasibility of the VC system in simulating L1's shadowing behavior. The output of the virtual shadower system shows a reasonable similarity to the real L1 shadowing utterances in both linguistic and acoustic aspects.




Abstract:Evaluating speech intelligibility is a critical task in computer-aided language learning systems. Traditional methods often rely on word error rates (WER) provided by automatic speech recognition (ASR) as intelligibility scores. However, this approach has significant limitations due to notable differences between human speech recognition (HSR) and ASR. A promising alternative is to involve a native (L1) speaker in shadowing what nonnative (L2) speakers say. Breakdowns or mispronunciations in the L1 speaker's shadowing utterance can serve as indicators for assessing L2 speech intelligibility. In this study, we propose a speech generation system that simulates the L1 shadowing process using voice conversion (VC) techniques and latent speech representations. Our experimental results demonstrate that this method effectively replicates the L1 shadowing process, offering an innovative tool to evaluate L2 speech intelligibility. Notably, systems that utilize self-supervised speech representations (S3R) show a higher degree of similarity to real L1 shadowing utterances in both linguistic accuracy and naturalness.




Abstract:We propose a method of simulating the human process of foreign accentuation using Generative Spoken Language Model (GSLM) only with native speech corpora. When one listens to spoken words of a foreign language and repeats them, the repeated speech is often with the accent of that listener's L1. This is said to be because the spoken words are mentally represented as a sequence of phonological units of the L1, and those units are used for oral reproduction. We simulate this process by inputting speech of language A into GSLM of language B to add B's accent onto the input speech. The process of running ASR of the L1 for foreign input speech and giving the ASR result to TTS of the L1 can be viewed as a naive implementation of this approach. The results of our experiments show that the synthesized accent of the output speech is highly natural, compared to real samples of A generated by speakers whose L1 is B, and that the degree of accentuation is controllable.




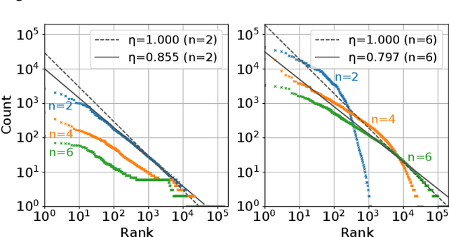
Abstract:In this study, we investigate whether speech symbols, learned through deep learning, follow Zipf's law, akin to natural language symbols. Zipf's law is an empirical law that delineates the frequency distribution of words, forming fundamentals for statistical analysis in natural language processing. Natural language symbols, which are invented by humans to symbolize speech content, are recognized to comply with this law. On the other hand, recent breakthroughs in spoken language processing have given rise to the development of learned speech symbols; these are data-driven symbolizations of speech content. Our objective is to ascertain whether these data-driven speech symbols follow Zipf's law, as the same as natural language symbols. Through our investigation, we aim to forge new ways for the statistical analysis of spoken language processing.


Abstract:Previous machine learning (ML) system development research suggests that emerging software quality attributes are a concern due to the probabilistic behavior of ML systems. Assuming that detailed development processes depend on individual developers and are not discussed in detail. To help developers to standardize their ML system development processes, we conduct a preliminary systematic literature review on ML system development processes. A search query of 2358 papers identified 7 papers as well as two other papers determined in an ad-hoc review. Our findings include emphasized phases in ML system developments, frequently described practices and tailored traditional software development practices.




Abstract:Voice conversion (VC) aims at conversion of speaker characteristic without altering content. Due to training data limitations and modeling imperfections, it is difficult to achieve believable speaker mimicry without introducing processing artifacts; performance assessment of VC, therefore, usually involves both speaker similarity and quality evaluation by a human panel. As a time-consuming, expensive, and non-reproducible process, it hinders rapid prototyping of new VC technology. We address artifact assessment using an alternative, objective approach leveraging from prior work on spoofing countermeasures (CMs) for automatic speaker verification. Therein, CMs are used for rejecting `fake' inputs such as replayed, synthetic or converted speech but their potential for automatic speech artifact assessment remains unknown. This study serves to fill that gap. As a supplement to subjective results for the 2018 Voice Conversion Challenge (VCC'18) data, we configure a standard constant-Q cepstral coefficient CM to quantify the extent of processing artifacts. Equal error rate (EER) of the CM, a confusability index of VC samples with real human speech, serves as our artifact measure. Two clusters of VCC'18 entries are identified: low-quality ones with detectable artifacts (low EERs), and higher quality ones with less artifacts. None of the VCC'18 systems, however, is perfect: all EERs are < 30 % (the `ideal' value would be 50 %). Our preliminary findings suggest potential of CMs outside of their original application, as a supplemental optimization and benchmarking tool to enhance VC technology.