



Abstract:Interpretability is critical for machine learning models in high-stakes settings because it allows users to verify the model's reasoning. In computer vision, prototypical part models (ProtoPNets) have become the dominant model type to meet this need. Users can easily identify flaws in ProtoPNets, but fixing problems in a ProtoPNet requires slow, difficult retraining that is not guaranteed to resolve the issue. This problem is called the "interaction bottleneck." We solve the interaction bottleneck for ProtoPNets by simultaneously finding many equally good ProtoPNets (i.e., a draw from a "Rashomon set"). We show that our framework - called Proto-RSet - quickly produces many accurate, diverse ProtoPNets, allowing users to correct problems in real time while maintaining performance guarantees with respect to the training set. We demonstrate the utility of this method in two settings: 1) removing synthetic bias introduced to a bird identification model and 2) debugging a skin cancer identification model. This tool empowers non-machine-learning experts, such as clinicians or domain experts, to quickly refine and correct machine learning models without repeated retraining by machine learning experts.




Abstract:Digital mammography is essential to breast cancer detection, and deep learning offers promising tools for faster and more accurate mammogram analysis. In radiology and other high-stakes environments, uninterpretable ("black box") deep learning models are unsuitable and there is a call in these fields to make interpretable models. Recent work in interpretable computer vision provides transparency to these formerly black boxes by utilizing prototypes for case-based explanations, achieving high accuracy in applications including mammography. However, these models struggle with precise feature localization, reasoning on large portions of an image when only a small part is relevant. This paper addresses this gap by proposing a novel multi-scale interpretable deep learning model for mammographic mass margin classification. Our contribution not only offers an interpretable model with reasoning aligned with radiologist practices, but also provides a general architecture for computer vision with user-configurable prototypes from coarse- to fine-grained prototypes.
Abstract:We present ProtoConcepts, a method for interpretable image classification combining deep learning and case-based reasoning using prototypical parts. Existing work in prototype-based image classification uses a ``this looks like that'' reasoning process, which dissects a test image by finding prototypical parts and combining evidence from these prototypes to make a final classification. However, all of the existing prototypical part-based image classifiers provide only one-to-one comparisons, where a single training image patch serves as a prototype to compare with a part of our test image. With these single-image comparisons, it can often be difficult to identify the underlying concept being compared (e.g., ``is it comparing the color or the shape?''). Our proposed method modifies the architecture of prototype-based networks to instead learn prototypical concepts which are visualized using multiple image patches. Having multiple visualizations of the same prototype allows us to more easily identify the concept captured by that prototype (e.g., ``the test image and the related training patches are all the same shade of blue''), and allows our model to create richer, more interpretable visual explanations. Our experiments show that our ``this looks like those'' reasoning process can be applied as a modification to a wide range of existing prototypical image classification networks while achieving comparable accuracy on benchmark datasets.




Abstract:Machine learning has been widely adopted in many domains, including high-stakes applications such as healthcare, finance, and criminal justice. To address concerns of fairness, accountability and transparency, predictions made by machine learning models in these critical domains must be interpretable. One line of work approaches this challenge by integrating the power of deep neural networks and the interpretability of case-based reasoning to produce accurate yet interpretable image classification models. These models generally classify input images by comparing them with prototypes learned during training, yielding explanations in the form of "this looks like that." However, methods from this line of work use spatially rigid prototypes, which cannot explicitly account for pose variations. In this paper, we address this shortcoming by proposing a case-based interpretable neural network that provides spatially flexible prototypes, called a deformable prototypical part network (Deformable ProtoPNet). In a Deformable ProtoPNet, each prototype is made up of several prototypical parts that adaptively change their relative spatial positions depending on the input image. This enables each prototype to detect object features with a higher tolerance to spatial transformations, as the parts within a prototype are allowed to move. Consequently, a Deformable ProtoPNet can explicitly capture pose variations, improving both model accuracy and the richness of explanations provided. Compared to other case-based interpretable models using prototypes, our approach achieves competitive accuracy, gives an explanation with greater context, and is easier to train, thus enabling wider use of interpretable models for computer vision.




Abstract:When we deploy machine learning models in high-stakes medical settings, we must ensure these models make accurate predictions that are consistent with known medical science. Inherently interpretable networks address this need by explaining the rationale behind each decision while maintaining equal or higher accuracy compared to black-box models. In this work, we present a novel interpretable neural network algorithm that uses case-based reasoning for mammography. Designed to aid a radiologist in their decisions, our network presents both a prediction of malignancy and an explanation of that prediction using known medical features. In order to yield helpful explanations, the network is designed to mimic the reasoning processes of a radiologist: our network first detects the clinically relevant semantic features of each image by comparing each new image with a learned set of prototypical image parts from the training images, then uses those clinical features to predict malignancy. Compared to other methods, our model detects clinical features (mass margins) with equal or higher accuracy, provides a more detailed explanation of its prediction, and is better able to differentiate the classification-relevant parts of the image.




Abstract:Recently, the transductive graph-based methods have achieved great success in the few-shot classification task. However, most existing methods ignore exploring the class-level knowledge that can be easily learned by humans from just a handful of samples. In this paper, we propose an Explicit Class Knowledge Propagation Network (ECKPN), which is composed of the comparison, squeeze and calibration modules, to address this problem. Specifically, we first employ the comparison module to explore the pairwise sample relations to learn rich sample representations in the instance-level graph. Then, we squeeze the instance-level graph to generate the class-level graph, which can help obtain the class-level visual knowledge and facilitate modeling the relations of different classes. Next, the calibration module is adopted to characterize the relations of the classes explicitly to obtain the more discriminative class-level knowledge representations. Finally, we combine the class-level knowledge with the instance-level sample representations to guide the inference of the query samples. We conduct extensive experiments on four few-shot classification benchmarks, and the experimental results show that the proposed ECKPN significantly outperforms the state-of-the-art methods.




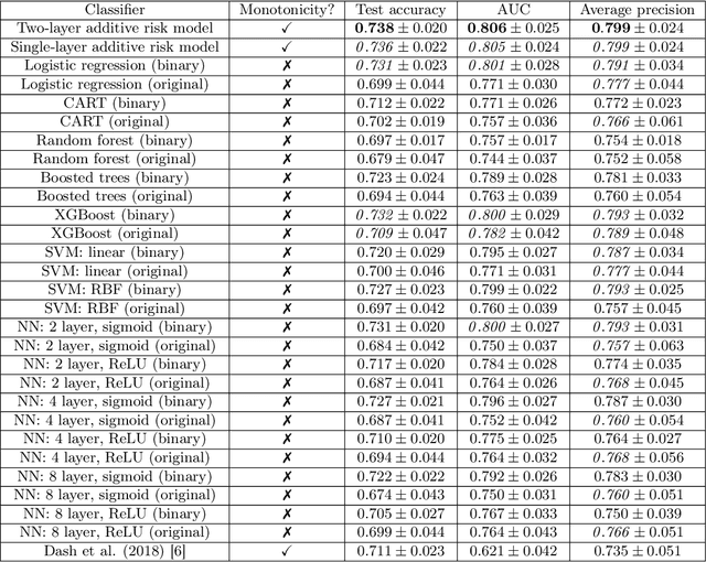
Abstract:Lending decisions are usually made with proprietary models that provide minimally acceptable explanations to users. In a future world without such secrecy, what decision support tools would one want to use for justified lending decisions? This question is timely, since the economy has dramatically shifted due to a pandemic, and a massive number of new loans will be necessary in the short term. We propose a framework for such decisions, including a globally interpretable machine learning model, an interactive visualization of it, and several types of summaries and explanations for any given decision. The machine learning model is a two-layer additive risk model, which resembles a two-layer neural network, but is decomposable into subscales. In this model, each node in the first (hidden) layer represents a meaningful subscale model, and all of the nonlinearities are transparent. Our online visualization tool allows exploration of this model, showing precisely how it came to its conclusion. We provide three types of explanations that are simpler than, but consistent with, the global model: case-based reasoning explanations that use neighboring past cases, a set of features that were the most important for the model's prediction, and summary-explanations that provide a customized sparse explanation for any particular lending decision made by the model. Our framework earned the FICO recognition award for the Explainable Machine Learning Challenge, which was the first public challenge in the domain of explainable machine learning.




Abstract:Interpretability in machine learning models is important in high-stakes decisions, such as whether to order a biopsy based on a mammographic exam. Mammography poses important challenges that are not present in other computer vision tasks: datasets are small, confounding information is present, and it can be difficult even for a radiologist to decide between watchful waiting and biopsy based on a mammogram alone. In this work, we present a framework for interpretable machine learning-based mammography. In addition to predicting whether a lesion is malignant or benign, our work aims to follow the reasoning processes of radiologists in detecting clinically relevant semantic features of each image, such as the characteristics of the mass margins. The framework includes a novel interpretable neural network algorithm that uses case-based reasoning for mammography. Our algorithm can incorporate a combination of data with whole image labelling and data with pixel-wise annotations, leading to better accuracy and interpretability even with a small number of images. Our interpretable models are able to highlight the classification-relevant parts of the image, whereas other methods highlight healthy tissue and confounding information. Our models are decision aids, rather than decision makers, aimed at better overall human-machine collaboration. We do not observe a loss in mass margin classification accuracy over a black box neural network trained on the same data.




Abstract:Interpretability in machine learning (ML) is crucial for high stakes decisions and troubleshooting. In this work, we provide fundamental principles for interpretable ML, and dispel common misunderstandings that dilute the importance of this crucial topic. We also identify 10 technical challenge areas in interpretable machine learning and provide history and background on each problem. Some of these problems are classically important, and some are recent problems that have arisen in the last few years. These problems are: (1) Optimizing sparse logical models such as decision trees; (2) Optimization of scoring systems; (3) Placing constraints into generalized additive models to encourage sparsity and better interpretability; (4) Modern case-based reasoning, including neural networks and matching for causal inference; (5) Complete supervised disentanglement of neural networks; (6) Complete or even partial unsupervised disentanglement of neural networks; (7) Dimensionality reduction for data visualization; (8) Machine learning models that can incorporate physics and other generative or causal constraints; (9) Characterization of the "Rashomon set" of good models; and (10) Interpretable reinforcement learning. This survey is suitable as a starting point for statisticians and computer scientists interested in working in interpretable machine learning.




Abstract:Vision models are interpretable when they classify objects on the basis of features that a person can directly understand. Recently, methods relying on visual feature prototypes have been developed for this purpose. However, in contrast to how humans categorize objects, these approaches have not yet made use of any taxonomical organization of class labels. With such an approach, for instance, we may see why a chimpanzee is classified as a chimpanzee, but not why it was considered to be a primate or even an animal. In this work we introduce a model that uses hierarchically organized prototypes to classify objects at every level in a predefined taxonomy. Hence, we may find distinct explanations for the prediction an image receives at each level of the taxonomy. The hierarchical prototypes enable the model to perform another important task: interpretably classifying images from previously unseen classes at the level of the taxonomy to which they correctly relate, e.g. classifying a hand gun as a weapon, when the only weapons in the training data are rifles. With a subset of ImageNet, we test our model against its counterpart black-box model on two tasks: 1) classification of data from familiar classes, and 2) classification of data from previously unseen classes at the appropriate level in the taxonomy. We find that our model performs approximately as well as its counterpart black-box model while allowing for each classification to be interpreted.