



Abstract:To understand and identify the unprecedented risks posed by rapidly advancing artificial intelligence (AI) models, this report presents a comprehensive assessment of their frontier risks. Drawing on the E-T-C analysis (deployment environment, threat source, enabling capability) from the Frontier AI Risk Management Framework (v1.0) (SafeWork-F1-Framework), we identify critical risks in seven areas: cyber offense, biological and chemical risks, persuasion and manipulation, uncontrolled autonomous AI R\&D, strategic deception and scheming, self-replication, and collusion. Guided by the "AI-$45^\circ$ Law," we evaluate these risks using "red lines" (intolerable thresholds) and "yellow lines" (early warning indicators) to define risk zones: green (manageable risk for routine deployment and continuous monitoring), yellow (requiring strengthened mitigations and controlled deployment), and red (necessitating suspension of development and/or deployment). Experimental results show that all recent frontier AI models reside in green and yellow zones, without crossing red lines. Specifically, no evaluated models cross the yellow line for cyber offense or uncontrolled AI R\&D risks. For self-replication, and strategic deception and scheming, most models remain in the green zone, except for certain reasoning models in the yellow zone. In persuasion and manipulation, most models are in the yellow zone due to their effective influence on humans. For biological and chemical risks, we are unable to rule out the possibility of most models residing in the yellow zone, although detailed threat modeling and in-depth assessment are required to make further claims. This work reflects our current understanding of AI frontier risks and urges collective action to mitigate these challenges.
Abstract:Spiking Neural Networks (SNNs) have received widespread attention due to their event-driven and low-power characteristics, making them particularly effective for processing event-based neuromorphic data. Recent studies have shown that directly trained SNNs suffer from severe overfitting issues due to the limited scale of neuromorphic datasets and the gradient mismatching problem, which fundamentally constrain their generalization performance. In this paper, we propose a temporal regularization training (TRT) method by introducing a time-dependent regularization mechanism to enforce stronger constraints on early timesteps. We compare the performance of TRT with other state-of-the-art methods performance on datasets including CIFAR10/100, ImageNet100, DVS-CIFAR10, and N-Caltech101. To validate the effectiveness of TRT, we conducted ablation studies and analyses including loss landscape visualization and learning curve analysis, demonstrating that TRT can effectively mitigate overfitting and flatten the training loss landscape, thereby enhancing generalizability. Furthermore, we establish a theoretical interpretation of TRT's temporal regularization mechanism based on the results of Fisher information analysis. We analyze the temporal information dynamics inside SNNs by tracking Fisher information during the TRT training process, revealing the Temporal Information Concentration (TIC) phenomenon, where Fisher information progressively concentrates in early timesteps. The time-decaying regularization mechanism implemented in TRT effectively guides the network to learn robust features in early timesteps with rich information, thereby leading to significant improvements in model generalization. Code is available at https://github.com/ZBX05/Temporal-Regularization-Training.




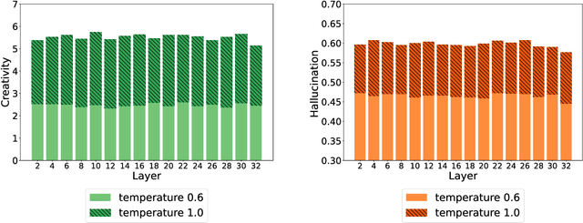
Abstract:Large language models (LLMs) are known to hallucinate, a phenomenon often linked to creativity. While previous research has primarily explored this connection through theoretical or qualitative lenses, our work takes a quantitative approach to systematically examine the relationship between hallucination and creativity in LLMs. Given the complex nature of creativity, we propose a narrow definition tailored to LLMs and introduce an evaluation framework, HCL, which quantifies Hallucination and Creativity across different Layers of LLMs during decoding. Our empirical analysis reveals a tradeoff between hallucination and creativity that is consistent across layer depth, model type, and model size. Notably, across different model architectures, we identify a specific layer at each model size that optimally balances this tradeoff. Additionally, the optimal layer tends to appear in the early layers of larger models, and the confidence of the model is also significantly higher at this layer. These findings provide a quantitative perspective that offers new insights into the interplay between LLM creativity and hallucination. The code and data for our experiments are available at https://github.com/ZicongHe2002/HCL-Spark.




Abstract:Large language models (LLMs) excel in many tasks but struggle to accurately quantify uncertainty in their generated responses. This limitation makes it challenging to detect misinformation and ensure reliable decision-making. Existing uncertainty quantification (UQ) methods for LLMs are primarily prompt-wise rather than response-wise, often requiring multiple response samples, which incurs high computational costs. Moreover, LLMs have been shown to be overconfident, particularly when using reasoning steps to derive their answers. In this work, we propose CoT-UQ, a response-wise UQ framework that integrates LLMs' inherent reasoning capabilities through Chain-of-Thought (CoT) into the UQ process. CoT-UQ captures critical information during inference by extracting keywords from each reasoning step and assessing their importance to the final answer. This key reasoning information is then aggregated to produce a final uncertainty estimate. We conduct extensive experiments based on LLaMA Family with model sizes varying from 8B to 13B across logical and mathematical reasoning tasks. Experimental results demonstrate that CoT-UQ significantly outperforms existing UQ methods, achieving an average improvement of 5.9% AUROC compared to current UQ methods. The code is available at: https://github.com/ZBox1005/CoT-UQ.




Abstract:Out-of-distribution (OOD) detection aims to identify OOD inputs from unknown classes, which is important for the reliable deployment of machine learning models in the open world. Various scoring functions are proposed to distinguish it from in-distribution (ID) data. However, existing methods generally focus on excavating the discriminative information from a single input, which implicitly limits its representation dimension. In this work, we introduce a novel perspective, i.e., employing different common corruptions on the input space, to expand that. We reveal an interesting phenomenon termed confidence mutation, where the confidence of OOD data can decrease significantly under the corruptions, while the ID data shows a higher confidence expectation considering the resistance of semantic features. Based on that, we formalize a new scoring method, namely, Confidence aVerage (CoVer), which can capture the dynamic differences by simply averaging the scores obtained from different corrupted inputs and the original ones, making the OOD and ID distributions more separable in detection tasks. Extensive experiments and analyses have been conducted to understand and verify the effectiveness of CoVer. The code is publicly available at: https://github.com/tmlr-group/CoVer.



Abstract:Humans often learn new skills by imitating the experts and gradually developing their proficiency. In this work, we introduce Stochastic Trajectory Optimization for Demonstration Imitation (STODI), a trajectory optimization framework for robots to imitate the shape of demonstration trajectories with improved dynamic performance. Consistent with the human learning process, demonstration imitation serves as an initial step, while trajectory optimization aims to enhance robot motion performance. By generating random noise and constructing proper cost functions, the STODI effectively explores and exploits generated noisy trajectories while preserving the demonstration shape characteristics. We employ three metrics to measure the similarity of trajectories in both the time and frequency domains to help with demonstration imitation. Theoretical analysis reveals relationships among these metrics, emphasizing the benefits of frequency-domain analysis for specific tasks. Experiments on a 7-DOF robotic arm in the PyBullet simulator validate the efficacy of the STODI framework, showcasing the improved optimization performance and stability compared to previous methods.




Abstract:The lack of object-level annotations poses a significant challenge for object detection in remote sensing images (RSIs). To address this issue, active learning (AL) and semi-supervised learning (SSL) techniques have been proposed to enhance the quality and quantity of annotations. AL focuses on selecting the most informative samples for annotation, while SSL leverages the knowledge from unlabeled samples. In this letter, we propose a novel AL method to boost semi-supervised object detection (SSOD) for remote sensing images with a teacher student network, called SSOD-AT. The proposed method incorporates an RoI comparison module (RoICM) to generate high-confidence pseudo-labels for regions of interest (RoIs). Meanwhile, the RoICM is utilized to identify the top-K uncertain images. To reduce redundancy in the top-K uncertain images for human labeling, a diversity criterion is introduced based on object-level prototypes of different categories using both labeled and pseudo-labeled images. Extensive experiments on DOTA and DIOR, two popular datasets, demonstrate that our proposed method outperforms state-of-the-art methods for object detection in RSIs. Compared with the best performance in the SOTA methods, the proposed method achieves 1 percent improvement in most cases in the whole AL.




Abstract:Neural radiance fields (NeRFs) are a powerful tool for implicit scene representations, allowing for differentiable rendering and the ability to make predictions about previously unseen viewpoints. From a robotics perspective, there has been growing interest in object and scene-based localisation using NeRFs, with a number of recent works relying on sampling-based or Monte-Carlo localisation schemes. Unfortunately, these can be extremely computationally expensive, requiring multiple network forward passes to infer camera or object pose. To alleviate this, a variety of sampling strategies have been applied, many relying on keypoint recognition techniques from classical computer vision. This work conducts a systematic empirical comparison of these approaches and shows that in contrast to conventional feature matching approaches for geometry-based localisation, sampling-based localisation using NeRFs benefits significantly from stable features. Results show that rendering stable features can result in a tenfold reduction in the number of forward passes required, a significant speed improvement.




Abstract:Nowadays on E-commerce platforms, products are presented to the customers with multiple modalities. These multiple modalities are significant for a retrieval system while providing attracted products for customers. Therefore, how to take into account those multiple modalities simultaneously to boost the retrieval performance is crucial. This problem is a huge challenge to us due to the following reasons: (1) the way of extracting patch features with the pre-trained image model (e.g., CNN-based model) has much inductive bias. It is difficult to capture the efficient information from the product image in E-commerce. (2) The heterogeneity of multimodal data makes it challenging to construct the representations of query text and product including title and image in a common subspace. We propose a novel Adversarial Cross-modal Enhanced BERT (ACE-BERT) for efficient E-commerce retrieval. In detail, ACE-BERT leverages the patch features and pixel features as image representation. Thus the Transformer architecture can be applied directly to the raw image sequences. With the pre-trained enhanced BERT as the backbone network, ACE-BERT further adopts adversarial learning by adding a domain classifier to ensure the distribution consistency of different modality representations for the purpose of narrowing down the representation gap between query and product. Experimental results demonstrate that ACE-BERT outperforms the state-of-the-art approaches on the retrieval task. It is remarkable that ACE-BERT has already been deployed in our E-commerce's search engine, leading to 1.46% increase in revenue.