



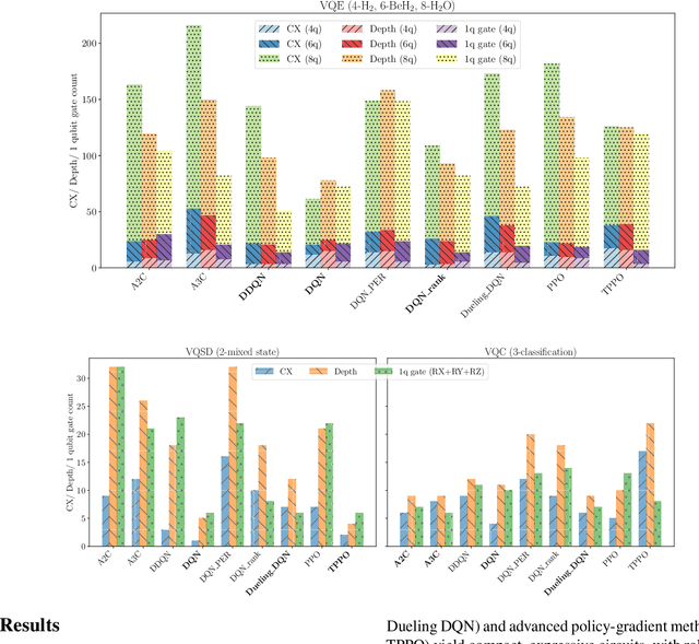
Abstract:We introduce BenchRL-QAS, a unified benchmarking framework for systematically evaluating reinforcement learning (RL) algorithms in quantum architecture search (QAS) across diverse variational quantum algorithm tasks and system sizes ranging from 2- to 8-qubit. Our study benchmarks nine RL agents including both value-based and policy-gradient methods on representative quantum problems such as variational quantum eigensolver, variational quantum state diagonalization, quantum classification, and state preparation, spanning both noiseless and realistic noisy regimes. We propose a weighted ranking metric that balances accuracy, circuit depth, gate count, and computational efficiency, enabling fair and comprehensive comparison. Our results first reveal that RL-based quantum classifier outperforms baseline variational classifiers. Then we conclude that no single RL algorithm is universally optimal when considering a set of QAS tasks; algorithmic performance is highly context-dependent, varying with task structure, qubit count, and noise. This empirical finding provides strong evidence for the "no free lunch" principle in RL-based quantum circuit design and highlights the necessity of tailored algorithm selection and systematic benchmarking for advancing quantum circuit synthesis. This work represents the most comprehensive RL-QAS benchmarking effort to date, and BenchRL-QAS along with all experimental data are made publicly available to support reproducibility and future research https://github.com/azhar-ikhtiarudin/bench-rlqas.



Abstract:Conventional AI evaluation approaches concentrated within the AI stack exhibit systemic limitations for exploring, navigating and resolving the human and societal factors that play out in real world deployment such as in education, finance, healthcare, and employment sectors. AI capability evaluations can capture detail about first-order effects, such as whether immediate system outputs are accurate, or contain toxic, biased or stereotypical content, but AI's second-order effects, i.e. any long-term outcomes and consequences that may result from AI use in the real world, have become a significant area of interest as the technology becomes embedded in our daily lives. These secondary effects can include shifts in user behavior, societal, cultural and economic ramifications, workforce transformations, and long-term downstream impacts that may result from a broad and growing set of risks. This position paper argues that measuring the indirect and secondary effects of AI will require expansion beyond static, single-turn approaches conducted in silico to include testing paradigms that can capture what actually materializes when people use AI technology in context. Specifically, we describe the need for data and methods that can facilitate contextual awareness and enable downstream interpretation and decision making about AI's secondary effects, and recommend requirements for a new ecosystem.
Abstract:Variational quantum algorithms hold the promise to address meaningful quantum problems already on noisy intermediate-scale quantum hardware, but they face the challenge of designing quantum circuits that both solve the target problem and comply with device limitations. Quantum architecture search (QAS) automates this design process, with reinforcement learning (RL) emerging as a promising approach. Yet, RL-based QAS methods encounter significant scalability issues, as computational and training costs grow rapidly with the number of qubits, circuit depth, and noise, severely impacting performance. To address these challenges, we introduce $\textit{TensorRL-QAS}$, a scalable framework that combines tensor network (TN) methods with RL for designing quantum circuits. By warm-starting the architecture search with a matrix product state approximation of the target solution, TensorRL-QAS effectively narrows the search space to physically meaningful circuits, accelerating convergence to the desired solution. Tested on several quantum chemistry problems of up to 12-qubit, TensorRL-QAS achieves up to a 10-fold reduction in CNOT count and circuit depth compared to baseline methods, while maintaining or surpassing chemical accuracy. It reduces function evaluations by up to 100-fold, accelerates training episodes by up to $98\%$, and achieves up to $50\%$ success probability for 10-qubit systems-far exceeding the $<1\%$ rates of baseline approaches. Robustness and versatility are demonstrated both in the noiseless and noisy scenarios, where we report a simulation of up to 8-qubit. These advancements establish TensorRL-QAS as a promising candidate for a scalable and efficient quantum circuit discovery protocol on near-term quantum hardware.
Abstract:We introduce DarkBench, a comprehensive benchmark for detecting dark design patterns--manipulative techniques that influence user behavior--in interactions with large language models (LLMs). Our benchmark comprises 660 prompts across six categories: brand bias, user retention, sycophancy, anthropomorphism, harmful generation, and sneaking. We evaluate models from five leading companies (OpenAI, Anthropic, Meta, Mistral, Google) and find that some LLMs are explicitly designed to favor their developers' products and exhibit untruthful communication, among other manipulative behaviors. Companies developing LLMs should recognize and mitigate the impact of dark design patterns to promote more ethical AI.
Abstract:Text embeddings are typically evaluated on a limited set of tasks, which are constrained by language, domain, and task diversity. To address these limitations and provide a more comprehensive evaluation, we introduce the Massive Multilingual Text Embedding Benchmark (MMTEB) - a large-scale, community-driven expansion of MTEB, covering over 500 quality-controlled evaluation tasks across 250+ languages. MMTEB includes a diverse set of challenging, novel tasks such as instruction following, long-document retrieval, and code retrieval, representing the largest multilingual collection of evaluation tasks for embedding models to date. Using this collection, we develop several highly multilingual benchmarks, which we use to evaluate a representative set of models. We find that while large language models (LLMs) with billions of parameters can achieve state-of-the-art performance on certain language subsets and task categories, the best-performing publicly available model is multilingual-e5-large-instruct with only 560 million parameters. To facilitate accessibility and reduce computational cost, we introduce a novel downsampling method based on inter-task correlation, ensuring a diverse selection while preserving relative model rankings. Furthermore, we optimize tasks such as retrieval by sampling hard negatives, creating smaller but effective splits. These optimizations allow us to introduce benchmarks that drastically reduce computational demands. For instance, our newly introduced zero-shot English benchmark maintains a ranking order similar to the full-scale version but at a fraction of the computational cost.
Abstract:The Sachdev-Ye-Kitaev (SYK) model, known for its strong quantum correlations and chaotic behavior, serves as a key platform for quantum gravity studies. However, variationally preparing thermal states on near-term quantum processors for large systems (N>12, where N is the number of Majorana fermions) presents a significant challenge due to the rapid growth in the complexity of parameterized quantum circuits. This paper addresses this challenge by integrating reinforcement learning (RL) with convolutional neural networks, employing an iterative approach to optimize the quantum circuit and its parameters. The refinement process is guided by a composite reward signal derived from entropy and the expectation values of the SYK Hamiltonian. This approach reduces the number of CNOT gates by two orders of magnitude for systems N>10 compared to traditional methods like first-order Trotterization. We demonstrate the effectiveness of the RL framework in both noiseless and noisy quantum hardware environments, maintaining high accuracy in thermal state preparation. This work contributes to the advancement of a scalable, RL-based framework with applications for computations of thermal out-of-time-order correlators in quantum many-body systems and quantum gravity studies on near-term quantum hardware.




Abstract:Building quantum circuits that perform a given task is a notoriously difficult problem. Reinforcement learning has proven to be a powerful approach, but many limitations remain due to the exponential scaling of the space of possible operations on qubits. In this paper, we develop an algorithm that automatically learns composite gates ("$gadgets$") and adds them as additional actions to the reinforcement learning agent to facilitate the search, namely the Gadget Reinforcement Learning (GRL) algorithm. We apply our algorithm to finding parameterized quantum circuits (PQCs) that implement the ground state of a given quantum Hamiltonian, a well-known NP-hard challenge. In particular, we focus on the transverse field Ising model (TFIM), since understanding its ground state is crucial for studying quantum phase transitions and critical behavior, and serves as a benchmark for validating quantum algorithms and simulation techniques. We show that with GRL we can find very compact PQCs that improve the error in estimating the ground state of TFIM by up to $10^7$ fold and make it suitable for implementation on real hardware compared to a pure reinforcement learning approach. Moreover, GRL scales better with increasing difficulty and to larger systems. The generality of the algorithm shows the potential for applications to other settings, including optimization tailored to specific real-world quantum platforms.
Abstract:Quantum architecture search~(QAS) is a promising direction for optimization and automated design of quantum circuits towards quantum advantage. Recent techniques in QAS focus on machine learning-based approaches from reinforcement learning, like deep Q-network. While multi-layer perceptron-based deep Q-networks have been applied for QAS, their interpretability remains challenging due to the high number of parameters. In this work, we evaluate the practicality of KANs in quantum architecture search problems, analyzing their efficiency in terms of the probability of success, frequency of optimal solutions and their dependencies on various degrees of freedom of the network. In a noiseless scenario, the probability of success and the number of optimal quantum circuit configurations to generate the multi-qubit maximally entangled states are significantly higher than MLPs. Moreover in noisy scenarios, KAN can achieve a better fidelity in approximating maximally entangled state than MLPs, where the performance of the MLP significantly depends on the choice of activation function. Further investigation reveals that KAN requires a very small number of learnable parameters compared to MLPs, however, the average time of executing each episode for KAN is much higher.




Abstract:A significant hurdle in the noisy intermediate-scale quantum (NISQ) era is identifying functional quantum circuits. These circuits must also adhere to the constraints imposed by current quantum hardware limitations. Variational quantum algorithms (VQAs), a class of quantum-classical optimization algorithms, were developed to address these challenges in the currently available quantum devices. However, the overall performance of VQAs depends on the initialization strategy of the variational circuit, the structure of the circuit (also known as ansatz), and the configuration of the cost function. Focusing on the structure of the circuit, in this thesis, we improve the performance of VQAs by automating the search for an optimal structure for the variational circuits using reinforcement learning (RL). Within the thesis, the optimality of a circuit is determined by evaluating its depth, the overall count of gates and parameters, and its accuracy in solving the given problem. The task of automating the search for optimal quantum circuits is known as quantum architecture search (QAS). The majority of research in QAS is primarily focused on a noiseless scenario. Yet, the impact of noise on the QAS remains inadequately explored. In this thesis, we tackle the issue by introducing a tensor-based quantum circuit encoding, restrictions on environment dynamics to explore the search space of possible circuits efficiently, an episode halting scheme to steer the agent to find shorter circuits, a double deep Q-network (DDQN) with an $\epsilon$-greedy policy for better stability. The numerical experiments on noiseless and noisy quantum hardware show that in dealing with various VQAs, our RL-based QAS outperforms existing QAS. Meanwhile, the methods we propose in the thesis can be readily adapted to address a wide range of other VQAs.




Abstract:The key challenge in the noisy intermediate-scale quantum era is finding useful circuits compatible with current device limitations. Variational quantum algorithms (VQAs) offer a potential solution by fixing the circuit architecture and optimizing individual gate parameters in an external loop. However, parameter optimization can become intractable, and the overall performance of the algorithm depends heavily on the initially chosen circuit architecture. Several quantum architecture search (QAS) algorithms have been developed to design useful circuit architectures automatically. In the case of parameter optimization alone, noise effects have been observed to dramatically influence the performance of the optimizer and final outcomes, which is a key line of study. However, the effects of noise on the architecture search, which could be just as critical, are poorly understood. This work addresses this gap by introducing a curriculum-based reinforcement learning QAS (CRLQAS) algorithm designed to tackle challenges in realistic VQA deployment. The algorithm incorporates (i) a 3D architecture encoding and restrictions on environment dynamics to explore the search space of possible circuits efficiently, (ii) an episode halting scheme to steer the agent to find shorter circuits, and (iii) a novel variant of simultaneous perturbation stochastic approximation as an optimizer for faster convergence. To facilitate studies, we developed an optimized simulator for our algorithm, significantly improving computational efficiency in simulating noisy quantum circuits by employing the Pauli-transfer matrix formalism in the Pauli-Liouville basis. Numerical experiments focusing on quantum chemistry tasks demonstrate that CRLQAS outperforms existing QAS algorithms across several metrics in both noiseless and noisy environments.