AIST, RIKEN AIP
Abstract:In music source separation (MSS), obtaining isolated sources or stems is highly costly, making pre-training on unlabeled data a promising approach. Although source-agnostic unsupervised learning like mixture-invariant training (MixIT) has been explored in general sound separation, they have been largely overlooked in MSS due to its implicit assumption of source independence. We hypothesize, however, that the difficulty of applying MixIT to MSS arises from the ill-posed nature of MSS itself, where stem definitions are application-dependent and models lack explicit knowledge of what should or should not be separated, rather than from high inter-source correlation. While MixIT does not assume any source model and struggles with such ambiguities, our preliminary experiments show that it can still separate instruments to some extent, suggesting its potential for unsupervised pre-training. Motivated by these insights, this study investigates MixIT-based pre-training for MSS. We first pre-train a model on in-the-wild, unlabeled data from the Free Music Archive using MixIT, and then fine-tune it on MUSDB18 with supervision. Using the band-split TF-Locoformer, one of the state-of-the-art MSS models, we demonstrate that MixIT-based pre-training improves the performance over training from scratch.
Abstract:In this paper, we propose a novel formula-driven supervised learning (FDSL) framework for pre-training an environmental sound analysis model by leveraging acoustic signals parametrically synthesized through formula-driven methods. Specifically, we outline detailed procedures and evaluate their effectiveness for sound event detection (SED). The SED task, which involves estimating the types and timings of sound events, is particularly challenged by the difficulty of acquiring a sufficient quantity of accurately labeled training data. Moreover, it is well known that manually annotated labels often contain noises and are significantly influenced by the subjective judgment of annotators. To address these challenges, we propose a novel pre-training method that utilizes a synthetic dataset, Formula-SED, where acoustic data are generated solely based on mathematical formulas. The proposed method enables large-scale pre-training by using the synthesis parameters applied at each time step as ground truth labels, thereby eliminating label noise and bias. We demonstrate that large-scale pre-training with Formula-SED significantly enhances model accuracy and accelerates training, as evidenced by our results in the DESED dataset used for DCASE2023 Challenge Task 4. The project page is at https://yutoshibata07.github.io/Formula-SED/




Abstract:Self-supervised speech models (S3Ms) have become a common tool for the speech processing community, leveraging representations for downstream tasks. Clustering S3M representations yields discrete speech units (DSUs), which serve as compact representations for speech signals. DSUs are typically obtained by k-means clustering. Using DSUs often leads to strong performance in various tasks, including automatic speech recognition (ASR). However, even with the high dimensionality and redundancy of S3M representations, preprocessing S3M representations for better clustering remains unexplored, even though it can affect the quality of DSUs. In this paper, we investigate the potential of linear preprocessing methods for extracting DSUs. We evaluate standardization, principal component analysis, whitening, and independent component analysis (ICA) on DSU-based ASR benchmarks and demonstrate their effectiveness as preprocessing for k-means. We also conduct extensive analyses of their behavior, such as orthogonality or interpretability of individual components of ICA.
Abstract:This paper describes speech enhancement for realtime automatic speech recognition (ASR) in real environments. A standard approach to this task is to use neural beamforming that can work efficiently in an online manner. It estimates the masks of clean dry speech from a noisy echoic mixture spectrogram with a deep neural network (DNN) and then computes a enhancement filter used for beamforming. The performance of such a supervised approach, however, is drastically degraded under mismatched conditions. This calls for run-time adaptation of the DNN. Although the ground-truth speech spectrogram required for adaptation is not available at run time, blind dereverberation and separation methods such as weighted prediction error (WPE) and fast multichannel nonnegative matrix factorization (FastMNMF) can be used for generating pseudo groundtruth data from a mixture. Based on this idea, a prior work proposed a dual-process system based on a cascade of WPE and minimum variance distortionless response (MVDR) beamforming asynchronously fine-tuned by block-online FastMNMF. To integrate the dereverberation capability into neural beamforming and make it fine-tunable at run time, we propose to use weighted power minimization distortionless response (WPD) beamforming, a unified version of WPE and minimum power distortionless response (MPDR), whose joint dereverberation and denoising filter is estimated using a DNN. We evaluated the impact of run-time adaptation under various conditions with different numbers of speakers, reverberation times, and signal-to-noise ratios (SNRs).
Abstract:This paper describes sound event localization and detection (SELD) for spatial audio recordings captured by firstorder ambisonics (FOA) microphones. In this task, one may train a deep neural network (DNN) using FOA data annotated with the classes and directions of arrival (DOAs) of sound events. However, the performance of this approach is severely bounded by the amount of annotated data. To overcome this limitation, we propose a novel method of pretraining the feature extraction part of the DNN in a self-supervised manner. We use spatial audio-visual recordings abundantly available as virtual reality contents. Assuming that sound objects are concurrently observed by the FOA microphones and the omni-directional camera, we jointly train audio and visual encoders with contrastive learning such that the audio and visual embeddings of the same recording and DOA are made close. A key feature of our method is that the DOA-wise audio embeddings are jointly extracted from the raw audio data, while the DOA-wise visual embeddings are separately extracted from the local visual crops centered on the corresponding DOA. This encourages the latent features of the audio encoder to represent both the classes and DOAs of sound events. The experiment using the DCASE2022 Task 3 dataset of 20 hours shows non-annotated audio-visual recordings of 100 hours reduced the error score of SELD from 36.4 pts to 34.9 pts.
Abstract:In this paper, we introduce a LargE-scale Annotator's labels for sound event Detection (LEAD) dataset, which is the dataset used to gain a better understanding of the variation in strong labels in sound event detection (SED). In SED, it is very time-consuming to collect large-scale strong labels, and in most cases, multiple workers divide up the annotations to create a single dataset. In general, strong labels created by multiple annotators have large variations in the type of sound events and temporal onset/offset. Through the annotations of multiple workers, uniquely determining the strong label is quite difficult because the dataset contains sounds that can be mistaken for similar classes and sounds whose temporal onset/offset is difficult to distinguish. If the strong labels of SED vary greatly depending on the annotator, the SED model trained on a dataset created by multiple annotators will be biased. Moreover, if annotators differ between training and evaluation data, there is a risk that the model cannot be evaluated correctly. To investigate the variation in strong labels, we release the LEAD dataset, which provides distinct strong labels for each clip annotated by 20 different annotators. The LEAD dataset allows us to investigate how strong labels vary from annotator to annotator and consider SED models that are robust to the variation of strong labels. The LEAD dataset consists of strong labels assigned to sound clips from TUT Sound Events 2016/2017, TUT Acoustic Scenes 2016, and URBAN-SED. We also analyze variations in the strong labels in the LEAD dataset and provide insights into the variations.
Abstract:This paper presents SaSLaW, a spontaneous dialogue speech corpus containing synchronous recordings of what speakers speak, listen to, and watch. Humans consider the diverse environmental factors and then control the features of their utterances in face-to-face voice communications. Spoken dialogue systems capable of this adaptation to these audio environments enable natural and seamless communications. SaSLaW was developed to model human-speech adjustment for audio environments via first-person audio-visual perceptions in spontaneous dialogues. We propose the construction methodology of SaSLaW and display the analysis result of the corpus. We additionally conducted an experiment to develop text-to-speech models using SaSLaW and evaluate their performance of adaptations to audio environments. The results indicate that models incorporating hearing-audio data output more plausible speech tailored to diverse audio environments than the vanilla text-to-speech model.




Abstract:This paper presents a neural method for distant speech recognition (DSR) that jointly separates and diarizes speech mixtures without supervision by isolated signals. A standard separation method for multi-talker DSR is a statistical multichannel method called guided source separation (GSS). While GSS does not require signal-level supervision, it relies on speaker diarization results to handle unknown numbers of active speakers. To overcome this limitation, we introduce and train a neural inference model in a weakly-supervised manner, employing the objective function of a statistical separation method. This training requires only multichannel mixtures and their temporal annotations of speaker activities. In contrast to GSS, the trained model can jointly separate and diarize speech mixtures without any auxiliary information. The experiments with the AMI corpus show that our method outperforms GSS with oracle diarization results regarding word error rates. The code is available online.




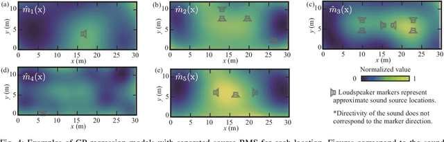
Abstract:Human and/or asset tracking using an attached sensor units helps understand their activities. Most common indoor localization methods for human tracking technologies require expensive infrastructures, deployment and maintenance. To overcome this problem, environmental sounds have been used for infrastructure-free localization. While they achieve room-level classification, they suffer from two problems: low signal-to-noise-ratio (SNR) condition and non-uniqueness of sound over the coverage area. A microphone localization method was proposed using supervised spectral decomposition and spatial likelihood to solve these problems. The proposed method was evaluated with actual recordings in an experimental room with a size of 12 x 30 m. The results showed that the proposed method with supervised NMF was robust under low-SNR condition compared to a simple feature (mel frequency cepstrum coefficient: MFCC). Additionally, the proposed method could be easily integrated with prior distribution, which is available from other Bayesian localizations. The proposed method can be used to evaluate the spatial likelihood from environmental sounds.
Abstract:This paper describes an efficient unsupervised learning method for a neural source separation model that utilizes a probabilistic generative model of observed multichannel mixtures proposed for blind source separation (BSS). For this purpose, amortized variational inference (AVI) has been used for directly solving the inverse problem of BSS with full-rank spatial covariance analysis (FCA). Although this unsupervised technique called neural FCA is in principle free from the domain mismatch problem, it is computationally demanding due to the full rankness of the spatial model in exchange for robustness against relatively short reverberations. To reduce the model complexity without sacrificing performance, we propose neural FastFCA based on the jointly-diagonalizable yet full-rank spatial model. Our neural separation model introduced for AVI alternately performs neural network blocks and single steps of an efficient iterative algorithm called iterative source steering. This alternating architecture enables the separation model to quickly separate the mixture spectrogram by leveraging both the deep neural network and the multichannel optimization algorithm. The training objective with AVI is derived to maximize the marginalized likelihood of the observed mixtures. The experiment using mixture signals of two to four sound sources shows that neural FastFCA outperforms conventional BSS methods and reduces the computational time to about 2% of that for the neural FCA.