Abstract:How does visual information included in training affect language processing in audio- and text-based deep learning models? We explore how such visual grounding affects model-internal representations of words, and find substantially different effects in speech- vs. text-based language encoders. Firstly, global representational comparisons reveal that visual grounding increases alignment between representations of spoken and written language, but this effect seems mainly driven by enhanced encoding of word identity rather than meaning. We then apply targeted clustering analyses to probe for phonetic vs. semantic discriminability in model representations. Speech-based representations remain phonetically dominated with visual grounding, but in contrast to text-based representations, visual grounding does not improve semantic discriminability. Our findings could usefully inform the development of more efficient methods to enrich speech-based models with visually-informed semantics.




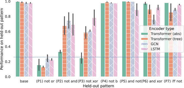
Abstract:The extent to which neural networks are able to acquire and represent symbolic rules remains a key topic of research and debate. Much current work focuses on the impressive capabilities of large language models, as well as their often ill-understood failures on a wide range of reasoning tasks. In this paper, in contrast, we investigate the generalization behavior of three key neural architectures (Transformers, Graph Convolution Networks and LSTMs) in a controlled task rooted in propositional logic. The task requires models to generate satisfying assignments for logical formulas, making it a structured and interpretable setting for studying compositionality. We introduce a balanced extension of an existing dataset to eliminate superficial patterns and enable testing on unseen operator combinations. Using this dataset, we evaluate the ability of the three architectures to generalize beyond the training distribution. While all models perform well in-distribution, we find that generalization to unseen patterns, particularly those involving negation, remains a significant challenge. Transformers fail to apply negation compositionally, unless structural biases are introduced. Our findings highlight persistent limitations in the ability of standard architectures to learn systematic representations of logical operators, suggesting the need for stronger inductive biases to support robust rule-based reasoning.
Abstract:We analyze the syntactic sensitivity of Text-to-Speech (TTS) systems using methods inspired by psycholinguistic research. Specifically, we focus on the generation of intonational phrase boundaries, which can often be predicted by identifying syntactic boundaries within a sentence. We find that TTS systems struggle to accurately generate intonational phrase boundaries in sentences where syntactic boundaries are ambiguous (e.g., garden path sentences or sentences with attachment ambiguity). In these cases, systems need superficial cues such as commas to place boundaries at the correct positions. In contrast, for sentences with simpler syntactic structures, we find that systems do incorporate syntactic cues beyond surface markers. Finally, we finetune models on sentences without commas at the syntactic boundary positions, encouraging them to focus on more subtle linguistic cues. Our findings indicate that this leads to more distinct intonation patterns that better reflect the underlying structure.




Abstract:The stability of language model pre-training and its effects on downstream performance are still understudied. Prior work shows that the training process can yield significantly different results in response to slight variations in initial conditions, e.g., the random seed. Crucially, the research community still lacks sufficient resources and tools to systematically investigate pre-training stability, particularly for decoder-only language models. We introduce the PolyPythias, a set of 45 new training runs for the Pythia model suite: 9 new seeds across 5 model sizes, from 14M to 410M parameters, resulting in about 7k new checkpoints that we release. Using these new 45 training runs, in addition to the 5 already available, we study the effects of different initial conditions determined by the seed -- i.e., parameters' initialisation and data order -- on (i) downstream performance, (ii) learned linguistic representations, and (iii) emergence of training phases. In addition to common scaling behaviours, our analyses generally reveal highly consistent training dynamics across both model sizes and initial conditions. Further, the new seeds for each model allow us to identify outlier training runs and delineate their characteristics. Our findings show the potential of using these methods to predict training stability.




Abstract:There has been a recent push of research on Transformer-based models for long-term time series forecasting, even though they are inherently difficult to interpret and explain. While there is a large body of work on interpretability methods for various domains and architectures, the interpretability of Transformer-based forecasting models remains largely unexplored. To address this gap, we develop a framework based on Concept Bottleneck Models to enforce interpretability of time series Transformers. We modify the training objective to encourage a model to develop representations similar to predefined interpretable concepts. In our experiments, we enforce similarity using Centered Kernel Alignment, and the predefined concepts include time features and an interpretable, autoregressive surrogate model (AR). We apply the framework to the Autoformer model, and present an in-depth analysis for a variety of benchmark tasks. We find that the model performance remains mostly unaffected, while the model shows much improved interpretability. Additionally, interpretable concepts become local, which makes the trained model easily intervenable. As a proof of concept, we demonstrate a successful intervention in the scenario of a time shift in the data, which eliminates the need to retrain.




Abstract:Neural speech models build deeply entangled internal representations, which capture a variety of features (e.g., fundamental frequency, loudness, syntactic category, or semantic content of a word) in a distributed encoding. This complexity makes it difficult to track the extent to which such representations rely on textual and acoustic information, or to suppress the encoding of acoustic features that may pose privacy risks (e.g., gender or speaker identity) in critical, real-world applications. In this paper, we build upon the Information Bottleneck principle to propose a disentanglement framework that separates complex speech representations into two distinct components: one encoding content (i.e., what can be transcribed as text) and the other encoding acoustic features relevant to a given downstream task. We apply and evaluate our framework to emotion recognition and speaker identification downstream tasks, quantifying the contribution of textual and acoustic features at each model layer. Additionally, we explore the application of our disentanglement framework as an attribution method to identify the most salient speech frame representations from both the textual and acoustic perspectives.




Abstract:What do deep neural speech models know about phonology? Existing work has examined the encoding of individual linguistic units such as phonemes in these models. Here we investigate interactions between units. Inspired by classic experiments on human speech perception, we study how Wav2Vec2 resolves phonotactic constraints. We synthesize sounds on an acoustic continuum between /l/ and /r/ and embed them in controlled contexts where only /l/, only /r/, or neither occur in English. Like humans, Wav2Vec2 models show a bias towards the phonotactically admissable category in processing such ambiguous sounds. Using simple measures to analyze model internals on the level of individual stimuli, we find that this bias emerges in early layers of the model's Transformer module. This effect is amplified by ASR finetuning but also present in fully self-supervised models. Our approach demonstrates how controlled stimulus designs can help localize specific linguistic knowledge in neural speech models.
Abstract:In English and other languages, multiple adjectives in a complex noun phrase show intricate ordering patterns that have been a target of much linguistic theory. These patterns offer an opportunity to assess the ability of language models (LMs) to learn subtle rules of language involving factors that cross the traditional divisions of syntax, semantics, and pragmatics. We review existing hypotheses designed to explain Adjective Order Preferences (AOPs) in humans and develop a setup to study AOPs in LMs: we present a reusable corpus of adjective pairs and define AOP measures for LMs. With these tools, we study a series of LMs across intermediate checkpoints during training. We find that all models' predictions are much closer to human AOPs than predictions generated by factors identified in theoretical linguistics. At the same time, we demonstrate that the observed AOPs in LMs are strongly correlated with the frequency of the adjective pairs in the training data and report limited generalization to unseen combinations. This highlights the difficulty in establishing the link between LM performance and linguistic theory. We therefore conclude with a road map for future studies our results set the stage for, and a discussion of key questions about the nature of knowledge in LMs and their ability to generalize beyond the training sets.
Abstract:Human listeners effortlessly compensate for phonological changes during speech perception, often unconsciously inferring the intended sounds. For example, listeners infer the underlying /n/ when hearing an utterance such as "clea[m] pan", where [m] arises from place assimilation to the following labial [p]. This article explores how the neural speech recognition model Wav2Vec2 perceives assimilated sounds, and identifies the linguistic knowledge that is implemented by the model to compensate for assimilation during Automatic Speech Recognition (ASR). Using psycholinguistic stimuli, we systematically analyze how various linguistic context cues influence compensation patterns in the model's output. Complementing these behavioral experiments, our probing experiments indicate that the model shifts its interpretation of assimilated sounds from their acoustic form to their underlying form in its final layers. Finally, our causal intervention experiments suggest that the model relies on minimal phonological context cues to accomplish this shift. These findings represent a step towards better understanding the similarities and differences in phonological processing between neural ASR models and humans.




Abstract:We explore which linguistic factors -- at the sentence and token level -- play an important role in influencing language model predictions, and investigate whether these are reflective of results found in humans and human corpora (Gries and Kootstra, 2017). We make use of the structural priming paradigm, where recent exposure to a structure facilitates processing of the same structure. We don't only investigate whether, but also where priming effects occur, and what factors predict them. We show that these effects can be explained via the inverse frequency effect, known in human priming, where rarer elements within a prime increase priming effects, as well as lexical dependence between prime and target. Our results provide an important piece in the puzzle of understanding how properties within their context affect structural prediction in language models.