Abstract:While Large Language Models achieve state-of-the-art results across a wide range of NLP tasks, they remain prone to systematic biases. Among these, gender bias is particularly salient in MT, due to systematic differences across languages in whether and how gender is marked. As a result, translation often requires disambiguating implicit source signals into explicit gender-marked forms. In this context, standard benchmarks may capture broad disparities but fail to reflect the full complexity of gender bias in modern MT. In this paper, we extend recent frameworks on bias evaluation by: (i) introducing a novel measure coined "Prior Bias", capturing a model's default gender assumptions, and (ii) applying the framework to decoder-only MT models. Our results show that, despite their scale and state-of-the-art status, decoder-only models do not generally outperform encoder-decoder architectures on gender-specific metrics; however, post-training (e.g., instruction tuning) not only improves contextual awareness but also reduces the masculine Prior Bias.
Abstract:As the capabilities of large-scale pre-trained models evolve, understanding the determinants of their outputs becomes more important. Feature attribution aims to reveal which parts of the input elements contribute the most to model outputs. In speech processing, the unique characteristics of the input signal make the application of feature attribution methods challenging. We study how factors such as input type and aggregation and perturbation timespan impact the reliability of standard feature attribution methods, and how these factors interact with characteristics of each classification task. We find that standard approaches to feature attribution are generally unreliable when applied to the speech domain, with the exception of word-aligned perturbation methods when applied to word-based classification tasks.
Abstract:Transformer-based language models have shown an excellent ability to effectively capture and utilize contextual information. Although various analysis techniques have been used to quantify and trace the contribution of single contextual cues to a target task such as subject-verb agreement or coreference resolution, scenarios in which multiple relevant cues are available in the context remain underexplored. In this paper, we investigate how language models handle gender agreement when multiple gender cue words are present, each capable of independently disambiguating a target gender pronoun. We analyze two widely used Transformer-based models: BERT, an encoder-based, and GPT-2, a decoder-based model. Our analysis employs two complementary approaches: context mixing analysis, which tracks information flow within the model, and a variant of activation patching, which measures the impact of cues on the model's prediction. We find that BERT tends to prioritize the first cue in the context to form both the target word representations and the model's prediction, while GPT-2 relies more on the final cue. Our findings reveal striking differences in how encoder-based and decoder-based models prioritize and use contextual information for their predictions.




Abstract:Neural speech models build deeply entangled internal representations, which capture a variety of features (e.g., fundamental frequency, loudness, syntactic category, or semantic content of a word) in a distributed encoding. This complexity makes it difficult to track the extent to which such representations rely on textual and acoustic information, or to suppress the encoding of acoustic features that may pose privacy risks (e.g., gender or speaker identity) in critical, real-world applications. In this paper, we build upon the Information Bottleneck principle to propose a disentanglement framework that separates complex speech representations into two distinct components: one encoding content (i.e., what can be transcribed as text) and the other encoding acoustic features relevant to a given downstream task. We apply and evaluate our framework to emotion recognition and speaker identification downstream tasks, quantifying the contribution of textual and acoustic features at each model layer. Additionally, we explore the application of our disentanglement framework as an attribution method to identify the most salient speech frame representations from both the textual and acoustic perspectives.




Abstract:Transformers have become a key architecture in speech processing, but our understanding of how they build up representations of acoustic and linguistic structure is limited. In this study, we address this gap by investigating how measures of 'context-mixing' developed for text models can be adapted and applied to models of spoken language. We identify a linguistic phenomenon that is ideal for such a case study: homophony in French (e.g. livre vs livres), where a speech recognition model has to attend to syntactic cues such as determiners and pronouns in order to disambiguate spoken words with identical pronunciations and transcribe them while respecting grammatical agreement. We perform a series of controlled experiments and probing analyses on Transformer-based speech models. Our findings reveal that representations in encoder-only models effectively incorporate these cues to identify the correct transcription, whereas encoders in encoder-decoder models mainly relegate the task of capturing contextual dependencies to decoder modules.




Abstract:In recent years, many interpretability methods have been proposed to help interpret the internal states of Transformer-models, at different levels of precision and complexity. Here, to analyze encoder-decoder Transformers, we propose a simple, new method: DecoderLens. Inspired by the LogitLens (for decoder-only Transformers), this method involves allowing the decoder to cross-attend representations of intermediate encoder layers instead of using the final encoder output, as is normally done in encoder-decoder models. The method thus maps previously uninterpretable vector representations to human-interpretable sequences of words or symbols. We report results from the DecoderLens applied to models trained on question answering, logical reasoning, speech recognition and machine translation. The DecoderLens reveals several specific subtasks that are solved at low or intermediate layers, shedding new light on the information flow inside the encoder component of this important class of models.




Abstract:Self-attention weights and their transformed variants have been the main source of information for analyzing token-to-token interactions in Transformer-based models. But despite their ease of interpretation, these weights are not faithful to the models' decisions as they are only one part of an encoder, and other components in the encoder layer can have considerable impact on information mixing in the output representations. In this work, by expanding the scope of analysis to the whole encoder block, we propose Value Zeroing, a novel context mixing score customized for Transformers that provides us with a deeper understanding of how information is mixed at each encoder layer. We demonstrate the superiority of our context mixing score over other analysis methods through a series of complementary evaluations with different viewpoints based on linguistically informed rationales, probing, and faithfulness analysis.




Abstract:Pre-trained language models have shown stellar performance in various downstream tasks. But, this usually comes at the cost of high latency and computation, hindering their usage in resource-limited settings. In this work, we propose a novel approach for reducing the computational cost of BERT with minimal loss in downstream performance. Our method dynamically eliminates less contributing tokens through layers, resulting in shorter lengths and consequently lower computational cost. To determine the importance of each token representation, we train a Contribution Predictor for each layer using a gradient-based saliency method. Our experiments on several diverse classification tasks show speedups up to 22x during inference time without much sacrifice in performance. We also validate the quality of the selected tokens in our method using human annotations in the ERASER benchmark. In comparison to other widely used strategies for selecting important tokens, such as saliency and attention, our proposed method has a significantly lower false positive rate in generating rationales. Our code is freely available at https://github.com/amodaresi/AdapLeR .




Abstract:Most of the recent works on probing representations have focused on BERT, with the presumption that the findings might be similar to the other models. In this work, we extend the probing studies to two other models in the family, namely ELECTRA and XLNet, showing that variations in the pre-training objectives or architectural choices can result in different behaviors in encoding linguistic information in the representations. Most notably, we observe that ELECTRA tends to encode linguistic knowledge in the deeper layers, whereas XLNet instead concentrates that in the earlier layers. Also, the former model undergoes a slight change during fine-tuning, whereas the latter experiences significant adjustments. Moreover, we show that drawing conclusions based on the weight mixing evaluation strategy -- which is widely used in the context of layer-wise probing -- can be misleading given the norm disparity of the representations across different layers. Instead, we adopt an alternative information-theoretic probing with minimum description length, which has recently been proven to provide more reliable and informative results.




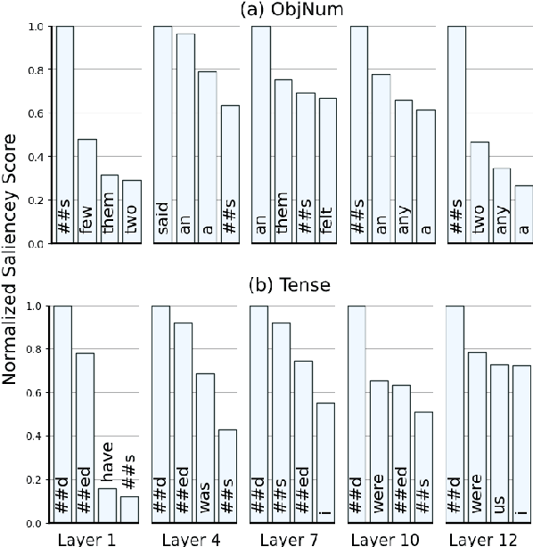
Abstract:Several studies have been carried out on revealing linguistic features captured by BERT. This is usually achieved by training a diagnostic classifier on the representations obtained from different layers of BERT. The subsequent classification accuracy is then interpreted as the ability of the model in encoding the corresponding linguistic property. Despite providing insights, these studies have left out the potential role of token representations. In this paper, we provide an analysis on the representation space of BERT in search for distinct and meaningful subspaces that can explain probing results. Based on a set of probing tasks and with the help of attribution methods we show that BERT tends to encode meaningful knowledge in specific token representations (which are often ignored in standard classification setups), allowing the model to detect syntactic and semantic abnormalities, and to distinctively separate grammatical number and tense subspaces.