University of Tübingen
Abstract:Neuromorphic hardware implementations of Spiking Neural Networks (SNNs) promise energy-efficient, low-latency AI through sparse, event-driven computation. Yet, training SNNs under fine temporal discretization remains a major challenge, hindering both low-latency responsiveness and the mapping of software-trained SNNs to efficient hardware. In current approaches, spiking neurons are modeled as self-recurrent units, embedded into recurrent networks to maintain state over time, and trained with BPTT or RTRL variants based on surrogate gradients. These methods scale poorly with temporal resolution, while online approximations often exhibit instability for long sequences and tend to fail at capturing temporal patterns precisely. To address these limitations, we develop spiking neurons with internal recursive memory structures that we combine with sigma-delta spike-coding. We show that this SpikingGamma model supports direct error backpropagation without surrogate gradients, can learn fine temporal patterns with minimal spiking in an online manner, and scale feedforward SNNs to complex tasks and benchmarks with competitive accuracy, all while being insensitive to the temporal resolution of the model. Our approach offers both an alternative to current recurrent SNNs trained with surrogate gradients, and a direct route for mapping SNNs to neuromorphic hardware.
Abstract:Modeling sophisticated activation functions within deep learning architectures has evolved into a distinct research direction. Functions such as GELU, SELU, and SiLU offer smooth gradients and improved convergence properties, making them popular choices in state-of-the-art models. Despite this trend, the classical ReLU remains appealing due to its simplicity, inherent sparsity, and other advantageous topological characteristics. However, ReLU units are prone to becoming irreversibly inactive - a phenomenon known as the dying ReLU problem - which limits their overall effectiveness. In this work, we introduce surrogate gradient learning for ReLU (SUGAR) as a novel, plug-and-play regularizer for deep architectures. SUGAR preserves the standard ReLU function during the forward pass but replaces its derivative in the backward pass with a smooth surrogate that avoids zeroing out gradients. We demonstrate that SUGAR, when paired with a well-chosen surrogate function, substantially enhances generalization performance over convolutional network architectures such as VGG-16 and ResNet-18, providing sparser activations while effectively resurrecting dead ReLUs. Moreover, we show that even in modern architectures like Conv2NeXt and Swin Transformer - which typically employ GELU - substituting these with SUGAR yields competitive and even slightly superior performance. These findings challenge the prevailing notion that advanced activation functions are necessary for optimal performance. Instead, they suggest that the conventional ReLU, particularly with appropriate gradient handling, can serve as a strong, versatile revived classic across a broad range of deep learning vision models.




Abstract:The locally competitive algorithm (LCA) can solve sparse coding problems across a wide range of use cases. Recently, convolution-based LCA approaches have been shown to be highly effective for enhancing robustness for image recognition tasks in vision pipelines. To additionally maximize representational sparsity, LCA with hard-thresholding can be applied. While this combination often yields very good solutions satisfying an $\ell_0$ sparsity criterion, it comes with significant drawbacks for practical application: (i) LCA is very inefficient, typically requiring hundreds of optimization cycles for convergence; (ii) the use of hard-thresholding results in a non-convex loss function, which might lead to suboptimal minima. To address these issues, we propose the Locally Competitive Algorithm with State Warm-up via Predictive Priming (WARP-LCA), which leverages a predictor network to provide a suitable initial guess of the LCA state based on the current input. Our approach significantly improves both convergence speed and the quality of solutions, while maintaining and even enhancing the overall strengths of LCA. We demonstrate that WARP-LCA converges faster by orders of magnitude and reaches better minima compared to conventional LCA. Moreover, the learned representations are more sparse and exhibit superior properties in terms of reconstruction and denoising quality as well as robustness when applied in deep recognition pipelines. Furthermore, we apply WARP-LCA to image denoising tasks, showcasing its robustness and practical effectiveness. Our findings confirm that the naive use of LCA with hard-thresholding results in suboptimal minima, whereas initializing LCA with a predictive guess results in better outcomes. This research advances the field of biologically inspired deep learning by providing a novel approach to convolutional sparse coding.




Abstract:Spatiotemporal partial differential equations (PDEs) find extensive application across various scientific and engineering fields. While numerous models have emerged from both physics and machine learning (ML) communities, there is a growing trend towards integrating these approaches to develop hybrid architectures known as physics-aware machine learning models. Among these, the finite volume neural network (FINN) has emerged as a recent addition. FINN has proven to be particularly efficient in uncovering latent structures in data. In this study, we explore the capabilities of FINN in tackling the shallow-water equations, which simulates wave dynamics in coastal regions. Specifically, we investigate FINN's efficacy to reconstruct underwater topography based on these particular wave equations. Our findings reveal that FINN exhibits a remarkable capacity to infer topography solely from wave dynamics, distinguishing itself from both conventional ML and physics-aware ML models. Our results underscore the potential of FINN in advancing our understanding of spatiotemporal phenomena and enhancing parametrization capabilities in related domains.




Abstract:Resonate-and-Fire (RF) neurons are an interesting complementary model for integrator neurons in spiking neural networks (SNNs). Due to their resonating membrane dynamics they can extract frequency patterns within the time domain. While established RF variants suffer from intrinsic shortcomings, the recently proposed balanced resonate-and-fire (BRF) neuron marked a significant methodological advance in terms of task performance, spiking and parameter efficiency, as well as, general stability and robustness, demonstrated for recurrent SNNs in various sequence learning tasks. One of the most intriguing result, however, was an immense improvement in training convergence speed and smoothness, overcoming the typical convergence dilemma in backprop-based SNN training. This paper aims at providing further intuitions about how and why these convergence advantages emerge. We show that BRF neurons, in contrast to well-established ALIF neurons, span a very clean and smooth - almost convex - error landscape. Furthermore, empirical results reveal that the convergence benefits are predominantly coupled with a divergence boundary-aware optimization, a major component of the BRF formulation that addresses the numerical stability of the time-discrete resonator approximation. These results are supported by a formal investigation of the membrane dynamics indicating that the gradient is transferred back through time without loss of magnitude.




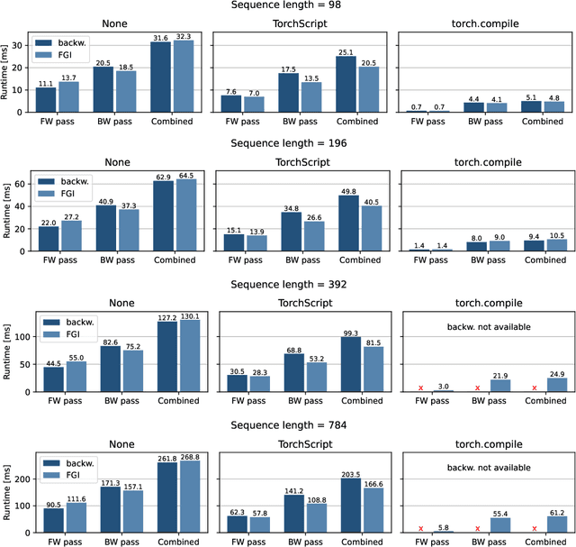
Abstract:Automatic differentiation is a key feature of present deep learning frameworks. Moreover, they typically provide various ways to specify custom gradients within the computation graph, which is of particular importance for defining surrogate gradients in the realms of non-differentiable operations such as the Heaviside function in spiking neural networks (SNNs). PyTorch, for example, allows the custom specification of the backward pass of an operation by overriding its backward method. Other frameworks provide comparable options. While these methods are common practice and usually work well, they also have several disadvantages such as limited flexibility, additional source code overhead, poor usability, or a potentially strong negative impact on the effectiveness of automatic model optimization procedures. In this paper, an alternative way to formulate surrogate gradients is presented, namely, forward gradient injection (FGI). FGI applies a simple but effective combination of basic standard operations to inject an arbitrary gradient shape into the computational graph directly within the forward pass. It is demonstrated that using FGI is straightforward and convenient. Moreover, it is shown that FGI can significantly increase the model performance in comparison to custom backward methods in SNNs when using TorchScript. These results are complemented with a general performance study on recurrent SNNs with TorchScript and torch.compile, revealing the potential for a training speedup of more than 7x and an inference speedup of more than 16x in comparison with pure PyTorch.
Abstract:A critical factor in trustworthy machine learning is to develop robust representations of the training data. Only under this guarantee methods are legitimate to artificially generate data, for example, to counteract imbalanced datasets or provide counterfactual explanations for blackbox decision-making systems. In recent years, Generative Adversarial Networks (GANs) have shown considerable results in forming stable representations and generating realistic data. While many applications focus on generating image data, less effort has been made in generating time series data, especially multivariate signals. In this work, a Transformer-based autoencoder is proposed that is regularized using an adversarial training scheme to generate artificial multivariate time series signals. The representation is evaluated using t-SNE visualizations, Dynamic Time Warping (DTW) and Entropy scores. Our results indicate that the generated signals exhibit higher similarity to an exemplary dataset than using a convolutional network approach.
Abstract:Slot-oriented processing approaches for compositional scene representation have recently undergone a tremendous development. We present Loci-Segmented (Loci-s), an advanced scene segmentation neural network that extends the slot-based location and identity tracking architecture Loci (Traub et al., ICLR 2023). The main advancements are (i) the addition of a pre-trained dynamic background module; (ii) a hyper-convolution encoder module, which enables object-focused bottom-up processing; and (iii) a cascaded decoder module, which successively generates object masks, masked depth maps, and masked, depth-map-informed RGB reconstructions. The background module features the learning of both a foreground identifying module and a background re-generator. We further improve performance via (a) the integration of depth information as well as improved slot assignments via (b) slot-location-entity regularization and (b) a prior segmentation network. Even without these latter improvements, the results reveal superior segmentation performance in the MOVi datasets and in another established dataset collection. With all improvements, Loci-s achieves a 32% better intersection over union (IoU) score in MOVi-E than the previous best. We furthermore show that Loci-s generates well-interpretable latent representations. We believe that these representations may serve as a foundation-model-like interpretable basis for solving downstream tasks, such as grounding language and context- and goal-conditioned event processing.
Abstract:Recent compositional scene representation learning models have become remarkably good in segmenting and tracking distinct objects within visual scenes. Yet, many of these models require that objects are continuously, at least partially, visible. Moreover, they tend to fail on intuitive physics tests, which infants learn to solve over the first months of their life. Our goal is to advance compositional scene representation algorithms with an embedded algorithm that fosters the progressive learning of intuitive physics, akin to infant development. As a fundamental component for such an algorithm, we introduce Loci-Looped, which advances a recently published unsupervised object location, identification, and tracking neural network architecture (Loci, Traub et al., ICLR 2023) with an internal processing loop. The loop is designed to adaptively blend pixel-space information with anticipations yielding information-fused activities as percepts. Moreover, it is designed to learn compositional representations of both individual object dynamics and between-objects interaction dynamics. We show that Loci-Looped learns to track objects through extended periods of object occlusions, indeed simulating their hidden trajectories and anticipating their reappearance, without the need for an explicit history buffer. We even find that Loci-Looped surpasses state-of-the-art models on the ADEPT and the CLEVRER dataset, when confronted with object occlusions or temporary sensory data interruptions. This indicates that Loci-Looped is able to learn the physical concepts of object permanence and inertia in a fully unsupervised emergent manner. We believe that even further architectural advancements of the internal loop - also in other compositional scene representation learning models - can be developed in the near future.
Abstract:Artificial Intelligence and Machine learning have been widely used in various fields of mathematical computing, physical modeling, computational science, communication science, and stochastic analysis. Approaches based on Deep Artificial Neural Networks (DANN) are very popular in our days. Depending on the learning task, the exact form of DANNs is determined via their multi-layer architecture, activation functions and the so-called loss function. However, for a majority of deep learning approaches based on DANNs, the kernel structure of neural signal processing remains the same, where the node response is encoded as a linear superposition of neural activity, while the non-linearity is triggered by the activation functions. In the current paper, we suggest to analyze the neural signal processing in DANNs from the point of view of homogeneous chaos theory as known from polynomial chaos expansion (PCE). From the PCE perspective, the (linear) response on each node of a DANN could be seen as a $1^{st}$ degree multi-variate polynomial of single neurons from the previous layer, i.e. linear weighted sum of monomials. From this point of view, the conventional DANN structure relies implicitly (but erroneously) on a Gaussian distribution of neural signals. Additionally, this view revels that by design DANNs do not necessarily fulfill any orthogonality or orthonormality condition for a majority of data-driven applications. Therefore, the prevailing handling of neural signals in DANNs could lead to redundant representation as any neural signal could contain some partial information from other neural signals. To tackle that challenge, we suggest to employ the data-driven generalization of PCE theory known as arbitrary polynomial chaos (aPC) to construct a corresponding multi-variate orthonormal representations on each node of a DANN to obtain Deep arbitrary polynomial chaos neural networks.