Dima
Abstract:We introduce Gemma 3, a multimodal addition to the Gemma family of lightweight open models, ranging in scale from 1 to 27 billion parameters. This version introduces vision understanding abilities, a wider coverage of languages and longer context - at least 128K tokens. We also change the architecture of the model to reduce the KV-cache memory that tends to explode with long context. This is achieved by increasing the ratio of local to global attention layers, and keeping the span on local attention short. The Gemma 3 models are trained with distillation and achieve superior performance to Gemma 2 for both pre-trained and instruction finetuned versions. In particular, our novel post-training recipe significantly improves the math, chat, instruction-following and multilingual abilities, making Gemma3-4B-IT competitive with Gemma2-27B-IT and Gemma3-27B-IT comparable to Gemini-1.5-Pro across benchmarks. We release all our models to the community.





Abstract:In this work, we introduce Gemma 2, a new addition to the Gemma family of lightweight, state-of-the-art open models, ranging in scale from 2 billion to 27 billion parameters. In this new version, we apply several known technical modifications to the Transformer architecture, such as interleaving local-global attentions (Beltagy et al., 2020a) and group-query attention (Ainslie et al., 2023). We also train the 2B and 9B models with knowledge distillation (Hinton et al., 2015) instead of next token prediction. The resulting models deliver the best performance for their size, and even offer competitive alternatives to models that are 2-3 times bigger. We release all our models to the community.





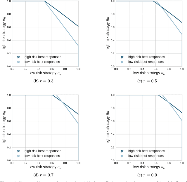
Abstract:Collective risk dilemmas (CRDs) are a class of n-player games that represent societal challenges where groups need to coordinate to avoid the risk of a disastrous outcome. Multi-agent systems incurring such dilemmas face difficulties achieving cooperation and often converge to sub-optimal, risk-dominant solutions where everyone defects. In this paper we investigate the consequences of risk diversity in groups of agents learning to play CRDs. We find that risk diversity places new challenges to cooperation that are not observed in homogeneous groups. We show that increasing risk diversity significantly reduces overall cooperation and hinders collective target achievement. It leads to asymmetrical changes in agents' policies -- i.e. the increase in contributions from individuals at high risk is unable to compensate for the decrease in contributions from individuals at low risk -- which overall reduces the total contributions in a population. When comparing RL behaviors to rational individualistic and social behaviors, we find that RL populations converge to fairer contributions among agents. Our results highlight the need for aligning risk perceptions among agents or develop new learning techniques that explicitly account for risk diversity.
