Abstract:Recognizing places from an opposing viewpoint during a return trip is a common experience for human drivers. However, the analogous robotics capability, visual place recognition (VPR) with limited field of view cameras under 180 degree rotations, has proven to be challenging to achieve. To address this problem, this paper presents Same Place Opposing Trajectory (SPOT), a technique for opposing viewpoint VPR that relies exclusively on structure estimated through stereo visual odometry (VO). The method extends recent advances in lidar descriptors and utilizes a novel double (similar and opposing) distance matrix sequence matching method. We evaluate SPOT on a publicly available dataset with 6.7-7.6 km routes driven in similar and opposing directions under various lighting conditions. The proposed algorithm demonstrates remarkable improvement over the state-of-the-art, achieving up to 91.7% recall at 100% precision in opposing viewpoint cases, while requiring less storage than all baselines tested and running faster than all but one. Moreover, the proposed method assumes no a priori knowledge of whether the viewpoint is similar or opposing, and also demonstrates competitive performance in similar viewpoint cases.





Abstract:In this paper, we introduce XGLUE, a new benchmark dataset to train large-scale cross-lingual pre-trained models using multilingual and bilingual corpora, and evaluate their performance across a diverse set of cross-lingual tasks. Comparing to GLUE (Wang et al.,2019), which is labeled in English and includes natural language understanding tasks only, XGLUE has three main advantages: (1) it provides two corpora with different sizes for cross-lingual pre-training; (2) it provides 11 diversified tasks that cover both natural language understanding and generation scenarios; (3) for each task, it provides labeled data in multiple languages. We extend a recent cross-lingual pre-trained model Unicoder (Huang et al., 2019) to cover both understanding and generation tasks, which is evaluated on XGLUE as a strong baseline. We also evaluate the base versions (12-layer) of Multilingual BERT, XLM and XLM-R for comparison.





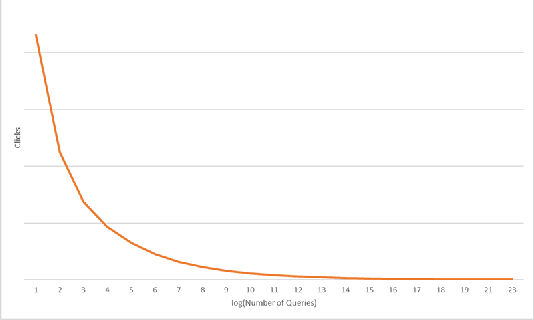
Abstract:Retrieval models such as CLSM is trained on click-through data which treats each clicked query-document pair as equivalent. While training on click-through data is reasonable, this paper argues that it is sub-optimal because of its noisy and long-tail nature (especially for sponsored search). In this paper, we discuss the impact of incorporating or disregarding the long tail pairs in the training set. Also, we propose a weighing based strategy using which we can learn semantic representations for tail pairs without compromising the quality of retrieval. We conducted our experiments on Bing sponsored search and also on Amazon product recommendation to demonstrate that the methodology is domain agnostic. Online A/B testing on live search engine traffic showed improvements in clicks (11.8\% higher CTR) and as well as improvement in quality (8.2\% lower bounce rate) when compared to the unweighted model. We also conduct the experiment on Amazon Product Recommendation data where we see slight improvements in NDCG Scores calculated by retrieving among co-purchased product.
