Abstract:The integration of communication, sensing, and wireless power transfer (WPT) is a cornerstone of 6G intelligent IoT. However, relying on traditional beamforming imposes prohibitive overheads due to complex channel state information (CSI) estimation and active beam scanning, particularly in dynamic environments. This paper presents a comprehensive review of the radio frequency resonant beam system (RF-RBS), a native physical-layer paradigm that circumvents these limitations. By deploying retro-directive antenna arrays (RAA) at transceivers, RF-RBS establishes a self-sustaining cyclic electromagnetic loop. This mechanism inherently enables self-aligning, high-gain beamforming through positive feedback, eliminating the reliance on digital CSI processing. We analyze the system's architecture and its capability to support high-efficiency WPT, robust communication, and millimeter-level passive positioning. Finally, we evaluate the implementation challenges and strategic value of RF-RBS in latency-sensitive 6G scenarios, including unmanned systems and industrial automation.
Abstract:The rapid development of IoT technology has led to a shortage of spectrum resources and energy, giving rise to simultaneous wireless information and power transfer (SWIPT) technology. However, traditional multiple input multiple output (MIMO)-based SWIPT faces challenges in target detection. We have designed a passive multi-user resonant beam system (MU-RBS) that can achieve efficient power transfer and communication through adaptive beam alignment. The frequency division multiple access (FDMA) is employed in the downlink (DL) channel, while frequency conversion is utilized in the uplink (UL) channel to avoid echo interference and co-channel interference, and the system architecture design and corresponding mathematical model are presented. The simulation results show that MU-RBS can achieve adaptive beam-forming without the target transmitting pilot signals, has high directivity, and as the number of iterations increases, the power transmission efficiency, signal-to-noise ratio and spectral efficiency of the UL and DL are continuously optimized until the system reaches the optimal state.




Abstract:Sustainable energy supply and high-speed communications are two significant needs for mobile electronic devices. This paper introduces a self-aligning resonant beam system for simultaneous light information and power transfer (SLIPT), employing a novel coupled spatially distributed resonator (CSDR). The system utilizes a resonant beam for efficient power delivery and a second-harmonic beam for concurrent data transmission, inherently minimizing echo interference and enabling bidirectional communication. Through comprehensive analyses, we investigate the CSDR's stable region, beam evolution, and power characteristics in relation to working distance and device parameters. Numerical simulations validate the CSDR-SLIPT system's feasibility by identifying a stable beam waist location for achieving accurate mode-match coupling between two spatially distributed resonant cavities and demonstrating its operational range and efficient power delivery across varying distances. The research reveals the system's benefits in terms of both safety and energy transmission efficiency. We also demonstrate the trade-off among the reflectivities of the cavity mirrors in the CSDR. These findings offer valuable design insights for resonant beam systems, advancing SLIPT with significant potential for remote device connectivity.
Abstract:With the increasing demand for internet of things (IoT) applications, especially for location-based services, how to locate passive mobile targets (MTs) with minimal beam control has become a challenge. Resonant beam systems are considered promising IoT technologies with advantages such as beam self-alignment and energy concentration. To establish a resonant system in the radio frequency (RF) band and achieve multi-target localization, this paper designs a multi-target resonant system architecture, allowing a single base station (BS) to independently connect with multiple MTs. By employing a retro-directive array, a multi-channel cyclic model is established to realize one-to-many electromagnetic wave propagation and MT direction-of-arrival (DOA) estimation through echo resonance. Simulation results show that the proposed system supports resonant establishment between the BS and multiple MTs. This helps the BS to still have high DOA estimation accuracy in the face of multiple passive MTs, and can ensure that the DOA error is less than 1 degree within a range of 6 meters at a 50degree field of view, with higher accuracy than active beamforming localization systems.




Abstract:With the rapid development of the internet of things (IoT), location-based services are becoming increasingly prominent in various aspects of social life, and accurate location information is crucial. However, RF-based indoor positioning solutions are severely limited in positioning accuracy due to signal transmission losses and directional difficulties, and optical indoor positioning methods require high propagation conditions. To achieve higher accuracy in indoor positioning, we utilize the principle of resonance to design a triangulation-based resonant beam positioning system (TRBPS) in the RF band. The proposed system employs phase-conjugation antenna arrays and resonance mechanism to achieve energy concentration and beam self-alignment, without requiring active signals from the target for positioning and complex beam control algorithms. Numerical evaluations indicate that TRBPS can achieve millimeter-level accuracy within a range of 3.6 m without the need for additional embedded systems.




Abstract:Recent advancements in text-to-video (T2V) generation have leveraged diffusion models to enhance the visual coherence of videos generated from textual descriptions. However, most research has primarily focused on object motion, with limited attention given to cinematic language in videos, which is crucial for cinematographers to convey emotion and narrative pacing. To address this limitation, we propose a threefold approach to enhance the ability of T2V models to generate controllable cinematic language. Specifically, we introduce a cinematic language dataset that encompasses shot framing, angle, and camera movement, enabling models to learn diverse cinematic styles. Building on this, to facilitate robust cinematic alignment evaluation, we present CameraCLIP, a model fine-tuned on the proposed dataset that excels in understanding complex cinematic language in generated videos and can further provide valuable guidance in the multi-shot composition process. Finally, we propose CLIPLoRA, a cost-guided dynamic LoRA composition method that facilitates smooth transitions and realistic blending of cinematic language by dynamically fusing multiple pre-trained cinematic LoRAs within a single video. Our experiments demonstrate that CameraCLIP outperforms existing models in assessing the alignment between cinematic language and video, achieving an R@1 score of 0.81. Additionally, CLIPLoRA improves the ability for multi-shot composition, potentially bridging the gap between automatically generated videos and those shot by professional cinematographers.




Abstract:Laser has unique advantages such as abundant spectrum resources and low propagation divergence in wireless charging and wireless communications, compared with radio frequency. Resonant beams, as a kind of intra-cavity laser beams, have been proposed as the carrier of wireless charging and communication, as it has unique features including high power, intrinsic safety, and self-aligned mobility. However, this system has problems such as intra-cavity echo interference and power fluctuation. To study the time-domain behavior of the resonant beam system, we create a simulation algorithm by discretizing the laser rate equations which model the dynamics of the excited atom density in the gain medium and the photon density in the cavity. The simulation results are in good agreement with theoretical calculation. We also propose a delay-divide demodulation method to address the echo interference issue, and use the simulation algorithm to verify its feasibility. The results show that the resonant beam charging and communication system with the proposed demodulator is feasible and performs well. The analysis in this work also helps researchers to deeply understand the behavior of the resonant beam system.




Abstract:High-power and high-capacity simultaneous wireless information and power transfer (SWIPT) becomes more and more important with the development of Internet of Things technologies. Optical SWIPT, also known as simultaneous light information and power transfer (SLIPT), has unique advantages such as abundant spectrum resources and low propagation divergence, compared with RF technologies. However, optical SWIPT faces many challenges in beam steering and receiver positioning/tracking. Resonant beams generated by spatially separated laser resonators (SSLR) have many advantages, including high power, self-aligned mobility, and intrinsic safety. It has been proposed as the carrier of wireless charging and communication. Using resonant beams, mobile electronic devices can be remotely charged and supported with high-rate data transfer. In this paper, we propose a mobile optical SWIPT system based on asymmetric SSLR and present the system optimization procedure. We also determine the boundary of the achievable charging power and communication capacity, and discuss the trade-off between power transfer and information transfer. Numerical results show that the charging power of the optimized asymmetric system is much higher than that of the symmetric system in the previous work, and meanwhile, the channel capacity is kept almost unchanged.




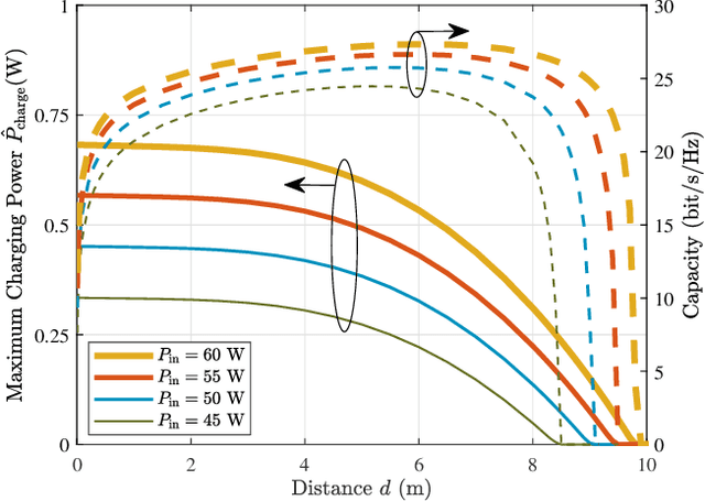
Abstract:The increasing demands of power supply and data rate for mobile devices promote the research of simultaneous information and power transfer (SWIPT). Optical SWIPT, as known as simultaneous light information and power transfer (SLIPT), can provide high-capacity communication and high-power charging. However, light emitting diodes (LEDs)-based SLIPT technologies have low efficiency due to energy dissipation over the air. Laser-based SLIPT technologies face the challenge in mobility, as it needs accurate positioning, fast beam steering, and real-time tracking. In this paper, we propose a mobile SLIPT scheme based on spatially separated laser resonator (SSLR) and intra-cavity second harmonic generation (SHG). The power and data are transferred via separated frequencies, while they share the same self-aligned resonant beam path, without the needs of receiver positioning and beam steering. We establish the analysis model of the resonant beam power and its second harmonic power. We also evaluate the system performance on deliverable power and channel capacity. Numerical results show that the proposed system can achieve watt-level battery charging power and above 20-bit/s/Hz communication capacity over 8-m distance, which satisfies the requirements of most indoor mobile devices.




Abstract:Resonant beam communications (RBCom) is capable of providing wide bandwidth when using light as the carrier. Besides, the RBCom system possesses the characteristics of mobility, high signal-to-noise ratio (SNR), and multiplexing. Nevertheless, the channel of the RBCom system is distinct from other light communication technologies due to the echo interference issue. In this paper, we reveal the mechanism of the echo interference and propose the method to eliminate the interference. Moreover, we present an exemplary design based on frequency shifting and optical filtering, along with its mathematic model and performance analysis. The numerical evaluation shows that the channel capacity is greater than 15 bit/s/Hz.