



Abstract:Simultaneous wireless information and power transfer (SWIPT) leverages lightwave as the wireless transmission medium, emerging as a promising technology in the future Internet of Things (IoT) scenarios. The use of retro-reflectors in constructing spatially separated laser resonators (SSLR) enables a self-aligning wireless transmission system with the self-reproducing resonant beam, i.e. resonant beam system (RBS). However, it's effective Field of View (FoV) is physically limited by the size of retroreflectors and still requires significant improvement. This restricts the transmitter from providing seamless wireless connectivity and power supply to receivers within a large dynamic movement range. In this paper, we propose an FoV-enlarged resonant beam system operating at a meter distance by incorporating a telescope. The telescope plays a crucial role in minimizing the extra loss inflicted on the gain medium, which typically arises from the deviation of the resonant beam within the cavity. Further, we construct the proposed telescope-based RBS and experimentally demonstrate that the design could expand the FoV to 28$^\circ$ over 1 m transmission distance is about triple that of the ordinary RBS design.




Abstract:Laser has unique advantages such as abundant spectrum resources and low propagation divergence in wireless charging and wireless communications, compared with radio frequency. Resonant beams, as a kind of intra-cavity laser beams, have been proposed as the carrier of wireless charging and communication, as it has unique features including high power, intrinsic safety, and self-aligned mobility. However, this system has problems such as intra-cavity echo interference and power fluctuation. To study the time-domain behavior of the resonant beam system, we create a simulation algorithm by discretizing the laser rate equations which model the dynamics of the excited atom density in the gain medium and the photon density in the cavity. The simulation results are in good agreement with theoretical calculation. We also propose a delay-divide demodulation method to address the echo interference issue, and use the simulation algorithm to verify its feasibility. The results show that the resonant beam charging and communication system with the proposed demodulator is feasible and performs well. The analysis in this work also helps researchers to deeply understand the behavior of the resonant beam system.




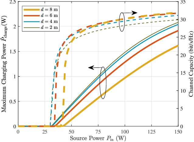
Abstract:The increasing demands of power supply and data rate for mobile devices promote the research of simultaneous information and power transfer (SWIPT). Optical SWIPT, as known as simultaneous light information and power transfer (SLIPT), can provide high-capacity communication and high-power charging. However, light emitting diodes (LEDs)-based SLIPT technologies have low efficiency due to energy dissipation over the air. Laser-based SLIPT technologies face the challenge in mobility, as it needs accurate positioning, fast beam steering, and real-time tracking. In this paper, we propose a mobile SLIPT scheme based on spatially separated laser resonator (SSLR) and intra-cavity second harmonic generation (SHG). The power and data are transferred via separated frequencies, while they share the same self-aligned resonant beam path, without the needs of receiver positioning and beam steering. We establish the analysis model of the resonant beam power and its second harmonic power. We also evaluate the system performance on deliverable power and channel capacity. Numerical results show that the proposed system can achieve watt-level battery charging power and above 20-bit/s/Hz communication capacity over 8-m distance, which satisfies the requirements of most indoor mobile devices.