Abstract:This paper proposes a novel parallel coding transmission strategy and an iterative detection and decoding receiver signal processing technique for orthogonal delay-Doppler division multiplexing (ODDM) modulation. Specifically, the proposed approach employs a parallel channel encoding (PCE) scheme that consists of multiple short-length codewords for each delay-Doppler multicarrier (DDMC) symbol. Building upon such a PCE transmission framework, we then introduce an iterative detection and decoding algorithm incorporating a successive decoding feedback (SDF) technique, which enables instant information exchange between the detector and decoder for each DDMC symbol. To characterize the error performance of the proposed scheme, we perform density evolution analysis considering the finite blocklength effects. Our analysis results, coupled with extensive simulations, demonstrate that the proposed PCE scheme with the SDF algorithm not only showcases a better overall performance but also requires much less decoding complexity to implement, compared to the conventional benchmark scheme that relies on a single long channel code for coding the entire ODDM frame.

Abstract:We consider the uplink multiple access of heterogeneous users, e.g., ultra-reliable low-latency communications (URLLC) and enhanced mobile broadband (eMBB) users. Each user has its own reliability requirement and blocklength constraint, and users transmitting longer blocks suffer from heterogeneous interference. On top of that, the decoding of URLLC messages cannot leverage successive interference cancellation (SIC) owing to the stringent latency requirements. This can significantly degrade the spectral efficiency of all URLLC users when the interference is strong. To overcome this issue, we propose a new multiple access scheme employing discrete signaling and treating interference as noise (TIN) decoding, i.e., without SIC. Specifically, to handle heterogeneous interference while maintaining the single-user encoding and decoding complexities, each user uses a single channel code and maps its coded bits onto sub-blocks of symbols, where the underlying constellations can be different. We demonstrate theoretically and numerically that the proposed scheme employing quadrature amplitude modulations and TIN decoding can perform very close to the benchmark scheme based on Gaussian signaling with perfect SIC decoding. Interestingly, we show that the proposed scheme does not need to use all the transmit power budget, but also can sometimes even outperform the benchmark scheme.

Abstract:The orthogonal delay-Doppler division multiplexing (ODDM) modulation is a recently proposed multi-carrier modulation that features a realizable pulse orthogonal with respect to the delay-Doppler (DD) plane's fine resolutions. In this paper, we investigate the performance of ODDM systems with imperfect channel estimation considering three detectors, namely the message passing algorithm (MPA) detector, iterative maximum-ratio combining (MRC) detector, and successive interference cancellation with minimum mean square error (SIC-MMSE) detector. We derive the post-equalization signal-to-interference-plus-noise ratio (SINR) for MRC and SIC-MMSE and analyze their bit error rate (BER) performance. Based on this analysis, we propose the MRC with subtractive dither (MRC-SD) and soft SIC-MMSE initialized MRC (SSMI-MRC) detector to improve the BER of iterative MRC. Our results demonstrate that soft SIC-MMSE consistently outperforms the other detectors in BER performance under perfect and imperfect CSI. While MRC exhibits a BER floor above $10^{-5}$, MRC-SD effectively lowers the BER with a negligible increase in detection complexity. SSMI-MRC achieves better BER than hard SIC-MMSE with the same detection complexity order. Additionally, we show that MPA has an error floor and is sensitive to imperfect CSI.

Abstract:Channel coding plays a pivotal role in ensuring reliable communication over wireless channels. With the growing need for ultra-reliable communication in emerging wireless use cases, the significance of channel coding has amplified. Furthermore, minimizing decoding latency is crucial for critical-mission applications, while optimizing energy efficiency is paramount for mobile and the Internet of Things (IoT) communications. As the fifth generation (5G) of mobile communications is currently in operation and 5G-advanced is on the horizon, the objective of this paper is to assess prominent channel coding schemes in the context of recent advancements and the anticipated requirements for the sixth generation (6G). In this paper, after considering the potential impact of channel coding on key performance indicators (KPIs) of wireless networks, we review the evolution of mobile communication standards and the organizations involved in the standardization, from the first generation (1G) to the current 5G, highlighting the technologies integral to achieving targeted KPIs such as reliability, data rate, latency, energy efficiency, spectral efficiency, connection density, and traffic capacity. Following this, we delve into the anticipated requirements for potential use cases in 6G. The subsequent sections of the paper focus on a comprehensive review of three primary coding schemes utilized in past generations and their recent advancements: low-density parity-check (LDPC) codes, turbo codes (including convolutional codes), polar codes (alongside Reed-Muller codes). Additionally, we examine alternative coding schemes like Fountain codes and sparse regression codes. Our evaluation includes a comparative analysis of error correction performance and the performance of hardware implementation for these coding schemes, providing insights into their potential and suitability for the upcoming 6G era.





Abstract:Recently, orthogonal time frequency space (OTFS) modulation has garnered considerable attention due to its robustness against doubly-selective wireless channels. In this paper, we propose a low-complexity iterative successive interference cancellation based minimum mean squared error (SIC-MMSE) detection algorithm for zero-padded OTFS (ZP-OTFS) modulation. In the proposed algorithm, signals are detected based on layers processed by multiple SIC-MMSE linear filters for each sub-channel, with interference on the targeted signal layer being successively canceled either by hard or soft information. To reduce the complexity of computing individual layer filter coefficients, we also propose a novel filter coefficients recycling approach in place of generating the exact form of MMSE filter weights. Moreover, we design a joint detection and decoding algorithm for ZP-OTFS to enhance error performance. Compared to the conventional SIC-MMSE detection, our proposed algorithms outperform other linear detectors, e.g., maximal ratio combining (MRC), for ZP-OTFS with up to 3 dB gain while maintaining comparable computation complexity.

Abstract:Multiple access (MA) is a crucial part of any wireless system and refers to techniques that make use of the resource dimensions to serve multiple users/devices/machines/services, ideally in the most efficient way. Given the needs of multi-functional wireless networks for integrated communications, sensing, localization, computing, coupled with the surge of machine learning / artificial intelligence (AI) in wireless networks, MA techniques are expected to experience a paradigm shift in 6G and beyond. In this paper, we provide a tutorial, survey and outlook of past, emerging and future MA techniques and pay a particular attention to how wireless network intelligence and multi-functionality will lead to a re-thinking of those techniques. The paper starts with an overview of orthogonal, physical layer multicasting, space domain, power domain, ratesplitting, code domain MAs, and other domains, and highlight the importance of researching universal multiple access to shrink instead of grow the knowledge tree of MA schemes by providing a unified understanding of MA schemes across all resource dimensions. It then jumps into rethinking MA schemes in the era of wireless network intelligence, covering AI for MA such as AI-empowered resource allocation, optimization, channel estimation, receiver designs, user behavior predictions, and MA for AI such as federated learning/edge intelligence and over the air computation. We then discuss MA for network multi-functionality and the interplay between MA and integrated sensing, localization, and communications. We finish with studying MA for emerging intelligent applications before presenting a roadmap toward 6G standardization. We also point out numerous directions that are promising for future research.





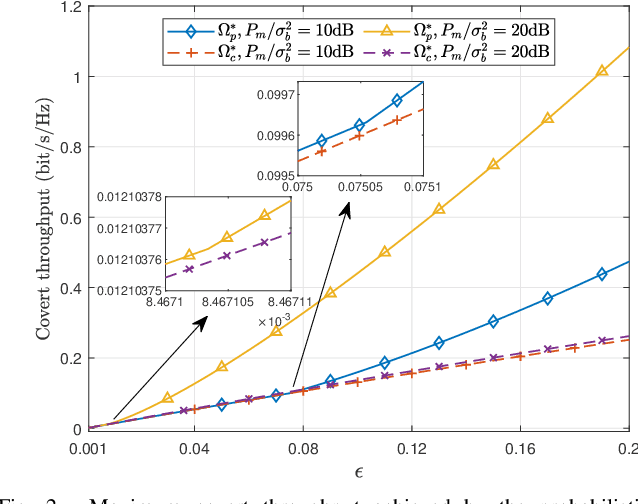
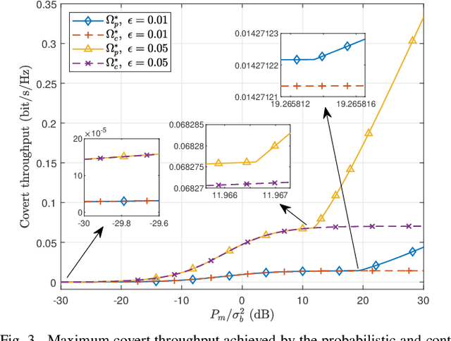
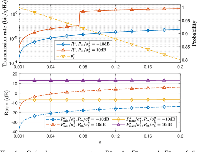
Abstract:In this work, we consider a covert communication scenario, where a transmitter Alice communicates to a receiver Bob with the aid of a probabilistic and uninformed jammer against an adversary warden's detection. The transmission status and power of the jammer are random and follow some priori probabilities. We first analyze the warden's detection performance as a function of the jammer's transmission probability, transmit power distribution, and Alice's transmit power. We then maximize the covert throughput from Alice to Bob subject to a covertness constraint, by designing the covert communication strategies from three different perspectives: Alice's perspective, the jammer's perspective, and the global perspective. Our analysis reveals that the minimum jamming power should not always be zero in the probabilistic jamming strategy, which is different from that in the continuous jamming strategy presented in the literature. In addition, we prove that the minimum jamming power should be the same as Alice's covert transmit power, depending on the covertness and average jamming power constraints. Furthermore, our results show that the probabilistic jamming can outperform the continuous jamming in terms of achieving a higher covert throughput under the same covertness and average jamming power constraints.


Abstract:The problem of enabling the coexistence of heterogeneous services, e.g., different ultra-reliable low-latency communications (URLLC) services and/or enhanced mobile broadband (eMBB) services, in the uplink is studied. Each service has its own error probability and blocklength constraints and the longer transmission block suffers from heterogeneous interference. Due to the latency concern, the decoding of URLLC messages cannot leverage successive interference cancellation (SIC) and should always be performed before the decoding of eMBB messages. This can significantly degrade the achievable rates of URLLC users when the interference from other users is strong. To overcome this issue, we propose a new transmission scheme based on discrete signaling and treating interference as noise decoding, i.e., without SIC. Guided by the deterministic model, we provide a systematic way to construct discrete signaling for handling heterogeneous interference effectively. We demonstrate theoretically and numerically that the proposed scheme can perform close to the benchmark scheme based on capacity-achieving Gaussian signaling with the assumption of perfect SIC.





Abstract:This paper investigates the design of self-connected spatially coupled low-density parity-check (SC-LDPC) codes. First, a termination method is proposed to reduce rate loss. Particularly, a single-side open SC-LDPC ensemble is introduced, which halves the rate loss of a conventional terminated SC-LDPC by reducing the number of check nodes. We further propose a self-connection method that allows reliable information to propagate from several directions to improve the decoding threshold. We demonstrate that the proposed ensembles not only achieve a better trade-off between rate loss and gap to capacity than several existing protograph SC-LDPC codes with short chain lengths but also exhibit threshold saturation behavior. Finite blocklength error performance is provided to exemplify the superiority of the proposed codes over conventional protograph SC-LDPC codes.


Abstract:In this paper, we consider the downlink broadcast channel under heterogenous blocklength constraints, where each user experiences different interference statistics across its received symbols. Different from the homogeneous blocklength case, the strong users with short blocklength transmitted symbol blocks usually cannot wait to receive the entire transmission frame and perform successive interference cancellation (SIC) owing to their stringent latency requirements. Even if SIC is feasible, it may not be perfect under finite blocklength constraints. To cope with the heterogeneity in latency and reliability requirements, we propose a practical downlink transmission scheme with discrete signaling and single-user decoding, i.e., without SIC. In addition, we derive the finite blocklength achievable rate and use it for guiding the design of channel coding and modulations. Both achievable rate and error probability simulation show that the proposed scheme can operate close to the benchmark scheme which assumes capacity-achieving signaling and perfect SIC.
