Abstract:Numerous lines of aim to control $\textit{model disagreement}$ -- the extent to which two machine learning models disagree in their predictions. We adopt a simple and standard notion of model disagreement in real-valued prediction problems, namely the expected squared difference in predictions between two models trained on independent samples, without any coordination of the training processes. We would like to be able to drive disagreement to zero with some natural parameter(s) of the training procedure using analyses that can be applied to existing training methodologies. We develop a simple general technique for proving bounds on independent model disagreement based on $\textit{anchoring}$ to the average of two models within the analysis. We then apply this technique to prove disagreement bounds for four commonly used machine learning algorithms: (1) stacked aggregation over an arbitrary model class (where disagreement is driven to 0 with the number of models $k$ being stacked) (2) gradient boosting (where disagreement is driven to 0 with the number of iterations $k$) (3) neural network training with architecture search (where disagreement is driven to 0 with the size $n$ of the architecture being optimized over) and (4) regression tree training over all regression trees of fixed depth (where disagreement is driven to 0 with the depth $d$ of the tree architecture). For clarity, we work out our initial bounds in the setting of one-dimensional regression with squared error loss -- but then show that all of our results generalize to multi-dimensional regression with any strongly convex loss.




Abstract:Collecting robotic manipulation data is expensive, making it impractical to acquire demonstrations for the combinatorially large space of tasks that arise in multi-object, multi-robot, and multi-environment settings. While recent generative models can synthesize useful data for individual tasks, they do not exploit the compositional structure of robotic domains and struggle to generalize to unseen task combinations. We propose a semantic compositional diffusion transformer that factorizes transitions into robot-, object-, obstacle-, and objective-specific components and learns their interactions through attention. Once trained on a limited subset of tasks, we show that our model can zero-shot generate high-quality transitions from which we can learn control policies for unseen task combinations. Then, we introduce an iterative self-improvement procedure in which synthetic data is validated via offline reinforcement learning and incorporated into subsequent training rounds. Our approach substantially improves zero-shot performance over monolithic and hard-coded compositional baselines, ultimately solving nearly all held-out tasks and demonstrating the emergence of meaningful compositional structure in the learned representations.




Abstract:This report presents a heterogeneous robotic system designed for remote primary triage in mass-casualty incidents (MCIs). The system employs a coordinated air-ground team of unmanned aerial vehicles (UAVs) and unmanned ground vehicles (UGVs) to locate victims, assess their injuries, and prioritize medical assistance without risking the lives of first responders. The UAV identify and provide overhead views of casualties, while UGVs equipped with specialized sensors measure vital signs and detect and localize physical injuries. Unlike previous work that focused on exploration or limited medical evaluation, this system addresses the complete triage process: victim localization, vital sign measurement, injury severity classification, mental status assessment, and data consolidation for first responders. Developed as part of the DARPA Triage Challenge, this approach demonstrates how multi-robot systems can augment human capabilities in disaster response scenarios to maximize lives saved.
Abstract:Replication of experimental results has been a challenge faced by many scientific disciplines, including the field of machine learning. Recent work on the theory of machine learning has formalized replicability as the demand that an algorithm produce identical outcomes when executed twice on different samples from the same distribution. Provably replicable algorithms are especially interesting for reinforcement learning (RL), where algorithms are known to be unstable in practice. While replicable algorithms exist for tabular RL settings, extending these guarantees to more practical function approximation settings has remained an open problem. In this work, we make progress by developing replicable methods for linear function approximation in RL. We first introduce two efficient algorithms for replicable random design regression and uncentered covariance estimation, each of independent interest. We then leverage these tools to provide the first provably efficient replicable RL algorithms for linear Markov decision processes in both the generative model and episodic settings. Finally, we evaluate our algorithms experimentally and show how they can inspire more consistent neural policies.
Abstract:Object-centric slot attention is an emerging paradigm for unsupervised learning of structured, interpretable object-centric representations (slots). This enables effective reasoning about objects and events at a low computational cost and is thus applicable to critical healthcare applications, such as real-time interpretation of surgical video. The heterogeneous scenes in real-world applications like surgery are, however, difficult to parse into a meaningful set of slots. Current approaches with an adaptive slot count perform well on images, but their performance on surgical videos is low. To address this challenge, we propose a dynamic temporal slot transformer (DTST) module that is trained both for temporal reasoning and for predicting the optimal future slot initialization. The model achieves state-of-the-art performance on multiple surgical databases, demonstrating that unsupervised object-centric methods can be applied to real-world data and become part of the common arsenal in healthcare applications.



Abstract:In traditional reinforcement learning (RL), the learner aims to solve a single objective optimization problem: find the policy that maximizes expected reward. However, in many real-world settings, it is important to optimize over multiple objectives simultaneously. For example, when we are interested in fairness, states might have feature annotations corresponding to multiple (intersecting) demographic groups to whom reward accrues, and our goal might be to maximize the reward of the group receiving the minimal reward. In this work, we consider a multi-objective optimization problem in which each objective is defined by a state-based reweighting of a single scalar reward function. This generalizes the problem of maximizing the reward of the minimum reward group. We provide oracle-efficient algorithms to solve these multi-objective RL problems even when the number of objectives is exponentially large-for tabular MDPs, as well as for large MDPs when the group functions have additional structure. Finally, we experimentally validate our theoretical results and demonstrate applications on a preferential attachment graph MDP.
Abstract:Empirical, benchmark-driven testing is a fundamental paradigm in the current RL community. While using off-the-shelf benchmarks in reinforcement learning (RL) research is a common practice, this choice is rarely discussed. Benchmark choices are often done based on intuitive ideas like "legged robots" or "visual observations". In this paper, we argue that benchmarking in RL needs to be treated as a scientific discipline itself. To illustrate our point, we present a case study on different variants of the Hopper environment to show that the selection of standard benchmarking suites can drastically change how we judge performance of algorithms. The field does not have a cohesive notion of what the different Hopper environments are representative - they do not even seem to be representative of each other. Our experimental results suggests a larger issue in the deep RL literature: benchmark choices are neither commonly justified, nor does there exist a language that could be used to justify the selection of certain environments. This paper concludes with a discussion of the requirements for proper discussion and evaluations of benchmarks and recommends steps to start a dialogue towards this goal.




Abstract:Building deep reinforcement learning (RL) agents that find a good policy with few samples has proven notoriously challenging. To achieve sample efficiency, recent work has explored updating neural networks with large numbers of gradient steps for every new sample. While such high update-to-data (UTD) ratios have shown strong empirical performance, they also introduce instability to the training process. Previous approaches need to rely on periodic neural network parameter resets to address this instability, but restarting the training process is infeasible in many real-world applications and requires tuning the resetting interval. In this paper, we focus on one of the core difficulties of stable training with limited samples: the inability of learned value functions to generalize to unobserved on-policy actions. We mitigate this issue directly by augmenting the off-policy RL training process with a small amount of data generated from a learned world model. Our method, Model-Augmented Data for Temporal Difference learning (MAD-TD) uses small amounts of generated data to stabilize high UTD training and achieve competitive performance on the most challenging tasks in the DeepMind control suite. Our experiments further highlight the importance of employing a good model to generate data, MAD-TD's ability to combat value overestimation, and its practical stability gains for continued learning.




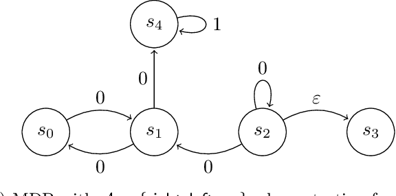
Abstract:Reinforcement learning (RL) in large or infinite state spaces is notoriously challenging, both theoretically (where worst-case sample and computational complexities must scale with state space cardinality) and experimentally (where function approximation and policy gradient techniques often scale poorly and suffer from instability and high variance). One line of research attempting to address these difficulties makes the natural assumption that we are given a collection of heuristic base or $\textit{constituent}$ policies upon which we would like to improve in a scalable manner. In this work we aim to compete with the $\textit{max-following policy}$, which at each state follows the action of whichever constituent policy has the highest value. The max-following policy is always at least as good as the best constituent policy, and may be considerably better. Our main result is an efficient algorithm that learns to compete with the max-following policy, given only access to the constituent policies (but not their value functions). In contrast to prior work in similar settings, our theoretical results require only the minimal assumption of an ERM oracle for value function approximation for the constituent policies (and not the global optimal policy or the max-following policy itself) on samplable distributions. We illustrate our algorithm's experimental effectiveness and behavior on several robotic simulation testbeds.




Abstract:This work studies the intersection of continual and federated learning, in which independent agents face unique tasks in their environments and incrementally develop and share knowledge. We introduce a mathematical framework capturing the essential aspects of distributed continual learning, including agent model and statistical heterogeneity, continual distribution shift, network topology, and communication constraints. Operating on the thesis that distributed continual learning enhances individual agent performance over single-agent learning, we identify three modes of information exchange: data instances, full model parameters, and modular (partial) model parameters. We develop algorithms for each sharing mode and conduct extensive empirical investigations across various datasets, topology structures, and communication limits. Our findings reveal three key insights: sharing parameters is more efficient than sharing data as tasks become more complex; modular parameter sharing yields the best performance while minimizing communication costs; and combining sharing modes can cumulatively improve performance.