LIFL, INRIA Futurs, GRAPPA
Abstract:Anonymizing textual documents is a highly context-sensitive problem: the appropriate balance between privacy protection and utility preservation varies with the data domain, privacy objectives, and downstream application. However, existing anonymization methods rely on static, manually designed strategies that lack the flexibility to adjust to diverse requirements and often fail to generalize across domains. We introduce adaptive text anonymization, a new task formulation in which anonymization strategies are automatically adapted to specific privacy-utility requirements. We propose a framework for task-specific prompt optimization that automatically constructs anonymization instructions for language models, enabling adaptation to different privacy goals, domains, and downstream usage patterns. To evaluate our approach, we present a benchmark spanning five datasets with diverse domains, privacy constraints, and utility objectives. Across all evaluated settings, our framework consistently achieves a better privacy-utility trade-off than existing baselines, while remaining computationally efficient and effective on open-source language models, with performance comparable to larger closed-source models. Additionally, we show that our method can discover novel anonymization strategies that explore different points along the privacy-utility trade-off frontier.
Abstract:Releasing data once and for all under noninteractive Local Differential Privacy (LDP) enables complete data reusability, but the resulting noise may create bias in subsequent analyses. In this work, we leverage the Weierstrass transform to characterize this bias in binary classification. We prove that inverting this transform leads to a bias-correction method to compute unbiased estimates of nonlinear functions on examples released under LDP. We then build a novel stochastic gradient descent algorithm called Inverse Weierstrass Private SGD (IWP-SGD). It converges to the true population risk minimizer at a rate of $\mathcal{O}(1/n)$, with $n$ the number of examples. We empirically validate IWP-SGD on binary classification tasks using synthetic and real-world datasets.
Abstract:We study privacy amplification by synthetic data release, a phenomenon in which differential privacy guarantees are improved by releasing only synthetic data rather than the private generative model itself. Recent work by Pierquin et al. (2025) established the first formal amplification guarantees for a linear generator, but they apply only in asymptotic regimes where the model dimension far exceeds the number of released synthetic records, limiting their practical relevance. In this work, we show a surprising result: under a bounded-parameter assumption, privacy amplification persists even when releasing an unbounded number of synthetic records, thereby improving upon the bounds of Pierquin et al. (2025). Our analysis provides structural insights that may guide the development of tighter privacy guarantees for more complex release mechanisms.




Abstract:$\textbf{Objective:}$ Brain-predicted age difference (BrainAGE) is a neuroimaging biomarker reflecting brain health. However, training robust BrainAGE models requires large datasets, often restricted by privacy concerns. This study evaluates the performance of federated learning (FL) for BrainAGE estimation in ischemic stroke patients treated with mechanical thrombectomy, and investigates its association with clinical phenotypes and functional outcomes. $\textbf{Methods:}$ We used FLAIR brain images from 1674 stroke patients across 16 hospital centers. We implemented standard machine learning and deep learning models for BrainAGE estimates under three data management strategies: centralized learning (pooled data), FL (local training at each site), and single-site learning. We reported prediction errors and examined associations between BrainAGE and vascular risk factors (e.g., diabetes mellitus, hypertension, smoking), as well as functional outcomes at three months post-stroke. Logistic regression evaluated BrainAGE's predictive value for these outcomes, adjusting for age, sex, vascular risk factors, stroke severity, time between MRI and arterial puncture, prior intravenous thrombolysis, and recanalisation outcome. $\textbf{Results:}$ While centralized learning yielded the most accurate predictions, FL consistently outperformed single-site models. BrainAGE was significantly higher in patients with diabetes mellitus across all models. Comparisons between patients with good and poor functional outcomes, and multivariate predictions of these outcomes showed the significance of the association between BrainAGE and post-stroke recovery. $\textbf{Conclusion:}$ FL enables accurate age predictions without data centralization. The strong association between BrainAGE, vascular risk factors, and post-stroke recovery highlights its potential for prognostic modeling in stroke care.
Abstract:Text anonymization is the process of removing or obfuscating information from textual data to protect the privacy of individuals. This process inherently involves a complex trade-off between privacy protection and information preservation, where stringent anonymization methods can significantly impact the text's utility for downstream applications. Evaluating the effectiveness of text anonymization proves challenging from both privacy and utility perspectives, as there is no universal benchmark that can comprehensively assess anonymization techniques across diverse, and sometimes contradictory contexts. We present Tau-Eval, an open-source framework for benchmarking text anonymization methods through the lens of privacy and utility task sensitivity. A Python library, code, documentation and tutorials are publicly available.



Abstract:Synthetic data inherits the differential privacy guarantees of the model used to generate it. Additionally, synthetic data may benefit from privacy amplification when the generative model is kept hidden. While empirical studies suggest this phenomenon, a rigorous theoretical understanding is still lacking. In this paper, we investigate this question through the well-understood framework of linear regression. First, we establish negative results showing that if an adversary controls the seed of the generative model, a single synthetic data point can leak as much information as releasing the model itself. Conversely, we show that when synthetic data is generated from random inputs, releasing a limited number of synthetic data points amplifies privacy beyond the model's inherent guarantees. We believe our findings in linear regression can serve as a foundation for deriving more general bounds in the future.
Abstract:Membership Inference Attacks (MIA) enable to empirically assess the privacy of a machine learning algorithm. In this paper, we propose TAMIS, a novel MIA against differentially-private synthetic data generation methods that rely on graphical models. This attack builds upon MAMA-MIA, a recently-published state-of-the-art method. It lowers its computational cost and requires less attacker knowledge. Our attack is the product of a two-fold improvement. First, we recover the graphical model having generated a synthetic dataset by using solely that dataset, rather than shadow-modeling over an auxiliary one. This proves less costly and more performant. Second, we introduce a more mathematically-grounded attack score, that provides a natural threshold for binary predictions. In our experiments, TAMIS achieves better or similar performance as MAMA-MIA on replicas of the SNAKE challenge.




Abstract:In this paper, we investigate the impact of speech temporal dynamics in application to automatic speaker verification and speaker voice anonymization tasks. We propose several metrics to perform automatic speaker verification based only on phoneme durations. Experimental results demonstrate that phoneme durations leak some speaker information and can reveal speaker identity from both original and anonymized speech. Thus, this work emphasizes the importance of taking into account the speaker's speech rate and, more importantly, the speaker's phonetic duration characteristics, as well as the need to modify them in order to develop anonymization systems with strong privacy protection capacity.




Abstract:Authorship obfuscation aims to disguise the identity of an author within a text by altering the writing style, vocabulary, syntax, and other linguistic features associated with the text author. This alteration needs to balance privacy and utility. While strong obfuscation techniques can effectively hide the author's identity, they often degrade the quality and usefulness of the text for its intended purpose. Conversely, maintaining high utility tends to provide insufficient privacy, making it easier for an adversary to de-anonymize the author. Thus, achieving an optimal trade-off between these two conflicting objectives is crucial. In this paper, we propose TAROT: Task-Oriented Authorship Obfuscation Using Policy Optimization, a new unsupervised authorship obfuscation method whose goal is to optimize the privacy-utility trade-off by regenerating the entire text considering its downstream utility. Our approach leverages policy optimization as a fine-tuning paradigm over small language models in order to rewrite texts by preserving author identity and downstream task utility. We show that our approach largely reduce the accuracy of attackers while preserving utility. We make our code and models publicly available.




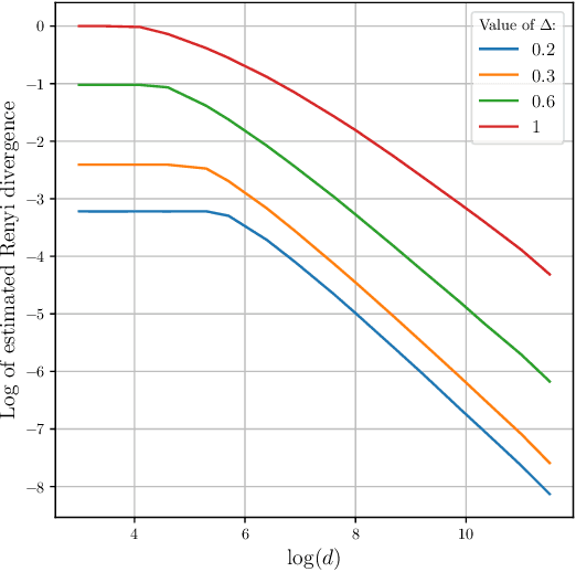
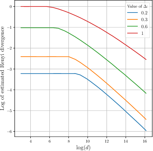
Abstract:Pufferfish privacy is a flexible generalization of differential privacy that allows to model arbitrary secrets and adversary's prior knowledge about the data. Unfortunately, designing general and tractable Pufferfish mechanisms that do not compromise utility is challenging. Furthermore, this framework does not provide the composition guarantees needed for a direct use in iterative machine learning algorithms. To mitigate these issues, we introduce a R\'enyi divergence-based variant of Pufferfish and show that it allows us to extend the applicability of the Pufferfish framework. We first generalize the Wasserstein mechanism to cover a wide range of noise distributions and introduce several ways to improve its utility. We also derive stronger guarantees against out-of-distribution adversaries. Finally, as an alternative to composition, we prove privacy amplification results for contractive noisy iterations and showcase the first use of Pufferfish in private convex optimization. A common ingredient underlying our results is the use and extension of shift reduction lemmas.