



Abstract:Aligning large-scale vision-language models (VLMs) for complex reasoning via reinforcement learning is often hampered by the limitations of existing policy optimization algorithms, such as static training schedules and the rigid, uniform clipping mechanism in Proximal Policy Optimization (PPO). In this work, we introduce Adaptive Curriculum Policy Optimization (ACPO), a novel framework that addresses these challenges through a dual-component adaptive learning strategy. First, ACPO employs a dynamic curriculum that orchestrates a principled transition from a stable, near on-policy exploration phase to an efficient, off-policy exploitation phase by progressively increasing sample reuse. Second, we propose an Advantage-Aware Adaptive Clipping (AAAC) mechanism that replaces the fixed clipping hyperparameter with dynamic, sample-wise bounds modulated by the normalized advantage of each token. This allows for more granular and robust policy updates, enabling larger gradients for high-potential samples while safeguarding against destructive ones. We conduct extensive experiments on a suite of challenging multimodal reasoning benchmarks, including MathVista, LogicVista, and MMMU-Pro. Results demonstrate that ACPO consistently outperforms strong baselines such as DAPO and PAPO, achieving state-of-the-art performance, accelerated convergence, and superior training stability.
Abstract:Event cameras have the potential to capture continuous motion information over time and space, making them well-suited for optical flow estimation. However, most existing learning-based methods for event-based optical flow adopt frame-based techniques, ignoring the spatio-temporal characteristics of events. Additionally, these methods assume linear motion between consecutive events within the loss time window, which increases optical flow errors in long-time sequences. In this work, we observe that rich spatio-temporal information and accurate nonlinear motion between events are crucial for event-based optical flow estimation. Therefore, we propose E-NMSTFlow, a novel unsupervised event-based optical flow network focusing on long-time sequences. We propose a Spatio-Temporal Motion Feature Aware (STMFA) module and an Adaptive Motion Feature Enhancement (AMFE) module, both of which utilize rich spatio-temporal information to learn spatio-temporal data associations. Meanwhile, we propose a nonlinear motion compensation loss that utilizes the accurate nonlinear motion between events to improve the unsupervised learning of our network. Extensive experiments demonstrate the effectiveness and superiority of our method. Remarkably, our method ranks first among unsupervised learning methods on the MVSEC and DSEC-Flow datasets. Our project page is available at https://wynelio.github.io/E-NMSTFlow.
Abstract:Segment Anything 2 (SAM2) enables robust single-object tracking using segmentation. To extend this to multi-object tracking (MOT), we propose SAM2MOT, introducing a novel Tracking by Segmentation paradigm. Unlike Tracking by Detection or Tracking by Query, SAM2MOT directly generates tracking boxes from segmentation masks, reducing reliance on detection accuracy. SAM2MOT has two key advantages: zero-shot generalization, allowing it to work across datasets without fine-tuning, and strong object association, inherited from SAM2. To further improve performance, we integrate a trajectory manager system for precise object addition and removal, and a cross-object interaction module to handle occlusions. Experiments on DanceTrack, UAVDT, and BDD100K show state-of-the-art results. Notably, SAM2MOT outperforms existing methods on DanceTrack by +2.1 HOTA and +4.5 IDF1, highlighting its effectiveness in MOT.




Abstract:The increasing complexity and parameter count of Convolutional Neural Networks (CNNs) and Transformers pose challenges in terms of computational efficiency and resource demands. Pruning has been identified as an effective strategy to address these challenges by removing redundant elements such as neurons, channels, or connections, thereby enhancing computational efficiency without heavily compromising performance. This paper builds on the foundational work of Optimal Brain Damage (OBD) by advancing the methodology of parameter importance estimation using the Hessian matrix. Unlike previous approaches that rely on approximations, we introduce Optimal Brain Apoptosis (OBA), a novel pruning method that calculates the Hessian-vector product value directly for each parameter. By decomposing the Hessian matrix across network layers and identifying conditions under which inter-layer Hessian submatrices are non-zero, we propose a highly efficient technique for computing the second-order Taylor expansion of parameters. This approach allows for a more precise pruning process, particularly in the context of CNNs and Transformers, as validated in our experiments including VGG19, ResNet32, ResNet50, and ViT-B/16 on CIFAR10, CIFAR100 and Imagenet datasets. Our code is available at https://github.com/NEU-REAL/OBA.




Abstract:Sparse and asynchronous sensing and processing in natural organisms lead to ultra low-latency and energy-efficient perception. Event cameras, known as neuromorphic vision sensors, are designed to mimic these characteristics. However, fully utilizing the sparse and asynchronous event stream remains challenging. Influenced by the mature algorithms of standard cameras, most existing event-based algorithms still rely on the "group of events" processing paradigm (e.g., event frames, 3D voxels) when handling event streams. This paradigm encounters issues such as feature loss, event stacking, and high computational burden, which deviates from the intended purpose of event cameras. To address these issues, we propose a fully asynchronous neuromorphic paradigm that integrates event cameras, spiking networks, and neuromorphic processors (Intel Loihi). This paradigm can faithfully process each event asynchronously as it arrives, mimicking the spike-driven signal processing in biological brains. We compare the proposed paradigm with the existing "group of events" processing paradigm in detail on the real mobile robot dodging task. Experimental results show that our scheme exhibits better robustness than frame-based methods with different time windows and light conditions. Additionally, the energy consumption per inference of our scheme on the embedded Loihi processor is only 4.30% of that of the event spike tensor method on NVIDIA Jetson Orin NX with energy-saving mode, and 1.64% of that of the event frame method on the same neuromorphic processor. As far as we know, this is the first time that a fully asynchronous neuromorphic paradigm has been implemented for solving sequential tasks on real mobile robot.




Abstract:Event cameras have the potential to revolutionize the field of robot vision, particularly in areas like stereo disparity estimation, owing to their high temporal resolution and high dynamic range. Many studies use deep learning for event camera stereo disparity estimation. However, these methods fail to fully exploit the temporal information in the event stream to acquire clear event representations. Additionally, there is room for further reduction in pixel shifts in the feature maps before constructing the cost volume. In this paper, we propose EV-MGDispNet, a novel event-based stereo disparity estimation method. Firstly, we propose an edge-aware aggregation (EAA) module, which fuses event frames and motion confidence maps to generate a novel clear event representation. Then, we propose a motion-guided attention (MGA) module, where motion confidence maps utilize deformable transformer encoders to enhance the feature map with more accurate edges. Finally, we also add a census left-right consistency loss function to enhance the left-right consistency of stereo event representation. Through conducting experiments within challenging real-world driving scenarios, we validate that our method outperforms currently known state-of-the-art methods in terms of mean absolute error (MAE) and root mean square error (RMSE) metrics.




Abstract:Event cameras have been successfully applied to visual place recognition (VPR) tasks by using deep artificial neural networks (ANNs) in recent years. However, previously proposed deep ANN architectures are often unable to harness the abundant temporal information presented in event streams. In contrast, deep spiking networks exhibit more intricate spatiotemporal dynamics and are inherently well-suited to process sparse asynchronous event streams. Unfortunately, directly inputting temporal-dense event volumes into the spiking network introduces excessive time steps, resulting in prohibitively high training costs for large-scale VPR tasks. To address the aforementioned issues, we propose a novel deep spiking network architecture called Spike-EVPR for event-based VPR tasks. First, we introduce two novel event representations tailored for SNN to fully exploit the spatio-temporal information from the event streams, and reduce the video memory occupation during training as much as possible. Then, to exploit the full potential of these two representations, we construct a Bifurcated Spike Residual Encoder (BSR-Encoder) with powerful representational capabilities to better extract the high-level features from the two event representations. Next, we introduce a Shared & Specific Descriptor Extractor (SSD-Extractor). This module is designed to extract features shared between the two representations and features specific to each. Finally, we propose a Cross-Descriptor Aggregation Module (CDA-Module) that fuses the above three features to generate a refined, robust global descriptor of the scene. Our experimental results indicate the superior performance of our Spike-EVPR compared to several existing EVPR pipelines on Brisbane-Event-VPR and DDD20 datasets, with the average Recall@1 increased by 7.61% on Brisbane and 13.20% on DDD20.




Abstract:Traditional visual place recognition (VPR), usually using standard cameras, is easy to fail due to glare or high-speed motion. By contrast, event cameras have the advantages of low latency, high temporal resolution, and high dynamic range, which can deal with the above issues. Nevertheless, event cameras are prone to failure in weakly textured or motionless scenes, while standard cameras can still provide appearance information in this case. Thus, exploiting the complementarity of standard cameras and event cameras can effectively improve the performance of VPR algorithms. In the paper, we propose FE-Fusion-VPR, an attention-based multi-scale network architecture for VPR by fusing frames and events. First, the intensity frame and event volume are fed into the two-stream feature extraction network for shallow feature fusion. Next, the three-scale features are obtained through the multi-scale fusion network and aggregated into three sub-descriptors using the VLAD layer. Finally, the weight of each sub-descriptor is learned through the descriptor re-weighting network to obtain the final refined descriptor. Experimental results show that on the Brisbane-Event-VPR and DDD20 datasets, the Recall@1 of our FE-Fusion-VPR is 29.26% and 33.59% higher than Event-VPR and Ensemble-EventVPR, and is 7.00% and 14.15% higher than MultiRes-NetVLAD and NetVLAD. To our knowledge, this is the first end-to-end network that goes beyond the existing event-based and frame-based SOTA methods to fuse frame and events directly for VPR.




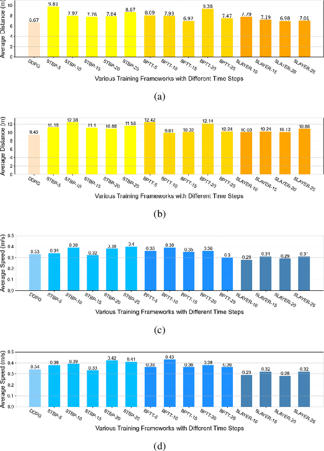
Abstract:Traditional visual navigation methods of micro aerial vehicle (MAV) usually calculate a passable path that satisfies the constraints depending on a prior map. However, these methods have issues such as high demand for computing resources and poor robustness in face of unfamiliar environments. Aiming to solve the above problems, we propose a neuromorphic reinforcement learning method (Neuro-Planner) that combines spiking neural network (SNN) and deep reinforcement learning (DRL) to realize MAV 3D visual navigation with depth camera. Specifically, we design spiking actor network based on two-state LIF (TS-LIF) neurons and its encoding-decoding schemes for efficient inference. Then our improved hybrid deep deterministic policy gradient (HDDPG) and TS-LIF-based spatio-temporal back propagation (STBP) algorithms are used as the training framework for actor-critic network architecture. To verify the effectiveness of the proposed Neuro-Planner, we carry out detailed comparison experiments with various SNN training algorithm (STBP, BPTT and SLAYER) in the software-in-the-loop (SITL) simulation framework. The navigation success rate of our HDDPG-STBP is 4.3\% and 5.3\% higher than that of the original DDPG in the two evaluation environments. To the best of our knowledge, this is the first work combining neuromorphic computing and deep reinforcement learning for MAV 3D visual navigation task.




Abstract:We develop a deep convolutional neural network (DCNN) based framework for model-free prediction of the occurrence of extreme events both in time ("when") and in space ("where") in nonlinear physical systems of spatial dimension two. The measurements or data are a set of two-dimensional snapshots or images. For a desired time horizon of prediction, a proper labeling scheme can be designated to enable successful training of the DCNN and subsequent prediction of extreme events in time. Given that an extreme event has been predicted to occur within the time horizon, a space-based labeling scheme can be applied to predict, within certain resolution, the location at which the event will occur. We use synthetic data from the 2D complex Ginzburg-Landau equation and empirical wind speed data of the North Atlantic ocean to demonstrate and validate our machine-learning based prediction framework. The trade-offs among the prediction horizon, spatial resolution, and accuracy are illustrated, and the detrimental effect of spatially biased occurrence of extreme event on prediction accuracy is discussed. The deep learning framework is viable for predicting extreme events in the real world.