



Abstract:This paper introduces a novel reconfigurable and power-efficient FPGA (Field-Programmable Gate Array) implementation of an operator splitting algorithm for Non-Terrestial Network's (NTN) relay satellites model predictive orientation control (MPC). Our approach ensures system stability and introduces an innovative reconfigurable bit-width FPGA-based optimization solver. To demonstrate its efficacy, we employ a real FPGA-In-the-Loop hardware setup to control simulated satellite dynamics. Furthermore, we conduct an in-depth comparative analysis, examining various fixed-point configurations to evaluate the combined system's closed-loop performance and power efficiency, providing a holistic understanding of the proposed implementation's advantages.
Abstract:In this paper, we improve upon our previous work[24,22] and establish convergence bounds on the objective function values of approximate proximal-gradient descent (AxPGD), approximate accelerated proximal-gradient descent (AxAPGD) and approximate proximal ADMM (AxWLM-ADMM) schemes. We consider approximation errors that manifest rare extreme events and we propagate their effects through iterations. We establish probabilistic asymptotic and non-asymptotic convergence bounds as functions of the range (upper/lower bounds) and variance of approximation errors. We use the derived bound to assess AxPGD in a sparse model predictive control of a spacecraft system and compare its accuracy with previously derived bounds.



Abstract:We propose Dual-Feedback Generalized Proximal Gradient Descent (DFGPGD) as a new, hardware-friendly, operator splitting algorithm. We then establish convergence guarantees under approximate computational errors and we derive theoretical criteria for the numerical stability of DFGPGD based on absolute stability of dynamical systems. We also propose a new generalized proximal ADMM that can be used to instantiate most of existing proximal-based composite optimization solvers. We implement DFGPGD and ADMM on FPGA ZCU106 board and compare them in light of FPGA's timing as well as resource utilization and power efficiency. We also perform a full-stack, application-to-hardware, comparison between approximate versions of DFGPGD and ADMM based on dynamic power/error rate trade-off, which is a new hardware-application combined metric.
Abstract:With nearly one million new cases diagnosed worldwide in 2020, head \& neck cancer is a deadly and common malignity. There are challenges to decision making and treatment of such cancer, due to lesions in multiple locations and outcome variability between patients. Therefore, automated segmentation and prognosis estimation approaches can help ensure each patient gets the most effective treatment. This paper presents a framework to perform these functions on arbitrary field of view (FoV) PET and CT registered scans, thus approaching tasks 1 and 2 of the HECKTOR 2022 challenge as team \texttt{VokCow}. The method consists of three stages: localization, segmentation and survival prediction. First, the scans with arbitrary FoV are cropped to the head and neck region and a u-shaped convolutional neural network (CNN) is trained to segment the region of interest. Then, using the obtained regions, another CNN is combined with a support vector machine classifier to obtain the semantic segmentation of the tumours, which results in an aggregated Dice score of 0.57 in task 1. Finally, survival prediction is approached with an ensemble of Weibull accelerated failure times model and deep learning methods. In addition to patient health record data, we explore whether processing graphs of image patches centred at the tumours via graph convolutions can improve the prognostic predictions. A concordance index of 0.64 was achieved in the test set, ranking 6th in the challenge leaderboard for this task.
Abstract:Retinal fundus images can be an invaluable diagnosis tool for screening epidemic diseases like hypertension or diabetes. And they become especially useful when the arterioles and venules they depict are clearly identified and annotated. However, manual annotation of these vessels is extremely time demanding and taxing, which calls for automatic segmentation. Although convolutional neural networks can achieve high overlap between predictions and expert annotations, they often fail to produce topologically correct predictions of tubular structures. This situation is exacerbated by the bifurcation versus crossing ambiguity which causes classification mistakes. This paper shows that including a topology preserving term in the loss function improves the continuity of the segmented vessels, although at the expense of artery-vein misclassification and overall lower overlap metrics. However, we show that by including an orientation score guided convolutional module, based on the anisotropic single sided cake wavelet, we reduce such misclassification and further increase the topology correctness of the results. We evaluate our model on public datasets with conveniently chosen metrics to assess both overlap and topology correctness, showing that our model is able to produce results on par with state-of-the-art from the point of view of overlap, while increasing topological accuracy.




Abstract:We analyse the convergence of an approximate, fully inexact, ADMM algorithm under additive, deterministic and probabilistic error models. We consider the generalized ADMM scheme that is derived from generalized Lagrangian penalty with additive (smoothing) adaptive-metric quadratic proximal perturbations. We derive explicit deterministic and probabilistic convergence upper bounds for the lower-C2 nonconvex case as well as the convex case under the Lipschitz continuity condition. We also present more practical conditions on the proximal errors under which convergence of the approximate ADMM to a suboptimal solution is guaranteed with high probability. We consider statistically and dynamically-unstructured conditional mean independent bounded error sequences. We validate our results using both simulated and practical software and algorithmic computational perturbations. We apply the proposed algorithm to a synthetic LASSO and robust regression with k-support norm regularization problems and test our proposed bounds under different computational noise levels. Compared to classical convergence results, the adaptive probabilistic bounds are more accurate in predicting the distance from the optimal set and parasitic residual error under different sources of inaccuracies.




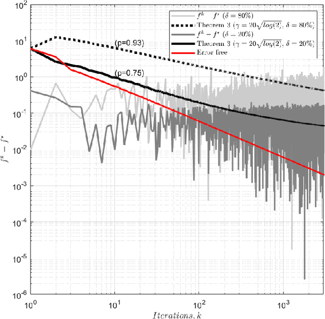
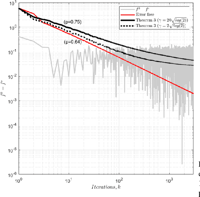
Abstract:We analyse the convergence of the proximal gradient algorithm for convex composite problems in the presence of gradient and proximal computational inaccuracies. We derive new tighter deterministic and probabilistic bounds that we use to verify a simulated (MPC) and a synthetic (LASSO) optimization problems solved on a reduced-precision machine in combination with an inaccurate proximal operator. We also show how the probabilistic bounds are more robust for algorithm verification and more accurate for application performance guarantees. Under some statistical assumptions, we also prove that some cumulative error terms follow a martingale property. And conforming to observations, e.g., in \cite{schmidt2011convergence}, we also show how the acceleration of the algorithm amplifies the gradient and proximal computational errors.




Abstract:We propose a method that combines sparse depth (LiDAR) measurements with an intensity image and to produce a dense high-resolution depth image. As there are few, but accurate, depth measurements from the scene, our method infers the remaining depth values by incorporating information from the intensity image, namely the magnitudes and directions of the identified edges, and by assuming that the scene is composed mostly of flat surfaces. Such inference is achieved by solving a convex optimisation problem with properly weighted regularisers that are based on the `1-norm (specifically, on total variation). We solve the resulting problem with a computationally efficient ADMM-based algorithm. Using the SYNTHIA and KITTI datasets, our experiments show that the proposed method achieves a depth reconstruction performance comparable to or better than other model-based methods.


Abstract:Medical imaging tasks often involve multiple contrasts, such as T1- and T2-weighted magnetic resonance imaging (MRI) data. These contrasts capture information associated with the same underlying anatomy and thus exhibit similarities. In this paper, we propose a Coupled Dictionary Learning based multi-contrast MRI reconstruction (CDLMRI) approach to leverage an available guidance contrast to restore the target contrast. Our approach consists of three stages: coupled dictionary learning, coupled sparse denoising, and $k$-space consistency enforcing. The first stage learns a group of dictionaries that capture correlations among multiple contrasts. By capitalizing on the learned adaptive dictionaries, the second stage performs joint sparse coding to denoise the corrupted target image with the aid of a guidance contrast. The third stage enforces consistency between the denoised image and the measurements in the $k$-space domain. Numerical experiments on the retrospective under-sampling of clinical MR images demonstrate that incorporating additional guidance contrast via our design improves MRI reconstruction, compared to state-of-the-art approaches.




Abstract:In support of art investigation, we propose a new source separation method that unmixes a single X-ray scan acquired from double-sided paintings. In this problem, the X-ray signals to be separated have similar morphological characteristics, which brings previous source separation methods to their limits. Our solution is to use photographs taken from the front and back-side of the panel to drive the separation process. The crux of our approach relies on the coupling of the two imaging modalities (photographs and X-rays) using a novel coupled dictionary learning framework able to capture both common and disparate features across the modalities using parsimonious representations; the common component models features shared by the multi-modal images, whereas the innovation component captures modality-specific information. As such, our model enables the formulation of appropriately regularized convex optimization procedures that lead to the accurate separation of the X-rays. Our dictionary learning framework can be tailored both to a single- and a multi-scale framework, with the latter leading to a significant performance improvement. Moreover, to improve further on the visual quality of the separated images, we propose to train coupled dictionaries that ignore certain parts of the painting corresponding to craquelure. Experimentation on synthetic and real data - taken from digital acquisition of the Ghent Altarpiece (1432) - confirms the superiority of our method against the state-of-the-art morphological component analysis technique that uses either fixed or trained dictionaries to perform image separation.