Abstract:Stacked intelligent metasurfaces (SIMs), composed of multiple layers of reconfigurable transmissive metasurfaces, are gaining prominence as a transformative technology for future wireless communication security. This paper investigates the integration of SIM into multi-user multiple-input multiple-output (MIMO) systems to enhance physical layer security. A novel system architecture is proposed, wherein each base station (BS) antenna transmits a dedicated single-user stream, while a multi-layer SIM executes wave-based beamforming in the electromagnetic domain, thereby avoiding the need for complex baseband digital precoding and significantly reducing hardware overhead. To maximize the weighted sum secrecy rate (WSSR), we formulate a joint precoding optimization problem over BS power allocation and SIM phase shifts, which is high-dimensional and non-convex due to the complexity of the objective function and the coupling among optimization variables. To address this, we propose a manifold-enhanced heterogeneous multi-agent continual learning (MHACL) framework that incorporates gradient representation and dual-scale policy optimization to achieve robust performance in dynamic environments with high demands for secure communication. Furthermore, we develop SIM-MHACL (SIMHACL), a low-complexity learning template that embeds phase coordination into a product manifold structure, reducing the exponential search space to linear complexity while maintaining physical feasibility. Simulation results validate that the proposed framework achieves millisecond-level per-iteratio ntraining in SIM-assisted systems, significantly outperforming various baseline schemes, with SIMHACL achieving comparable WSSR to MHACL while reducing computation time by 30\%.




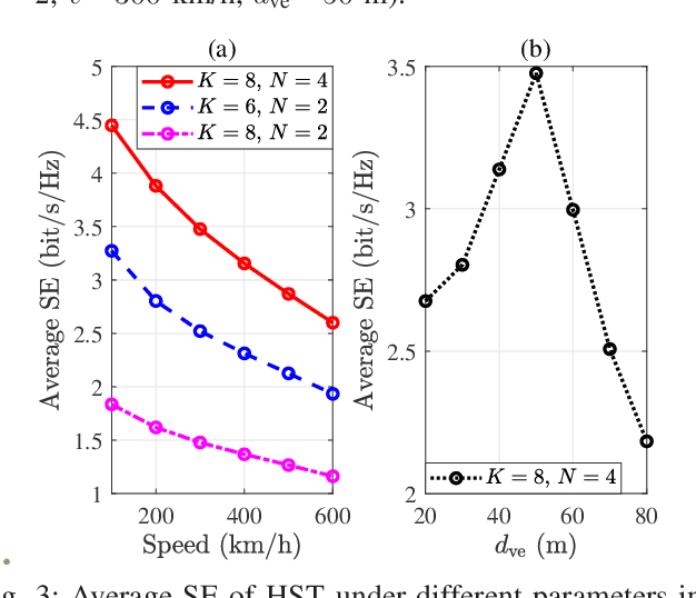
Abstract:In recent years, high-speed trains (HSTs) communications have developed rapidly to enhance the stability of train operations and improve passenger connectivity experiences. However, as the train continues to accelerate, urgent technological innovations are needed to overcome challenges such as frequency handover and significant Doppler effects. In this paper, we present a novel architecture featuring movable antennas (MAs) to fully exploit macro spatial diversity, enabling a cell-free (CF) massive multiple-input multiple-output (MIMO) system that supports high-speed train communications. Considering the high likelihood of line-of-sight (LoS) transmission in HST scenario, we derive the uplink spectral efficiency (SE) expression for the movable CF massive MIMO system. Moreover, an optimization problem is formulated to maximize the sum SE of the considered system by optimizing the positions of the antennas. Since the formulated problem is non-convex and highly non-linear, we improve a deep reinforcement learning algorithm to address it by using proximal policy optimization (PPO). Different from traditional optimization approaches, which optimize variables separately and alternately, our improved PPO-based approach optimizes all the variables in unison. Simulation results demonstrate that movable CF massive MIMO effectively suppresses the negative impact of the Doppler effect in HST communications.




Abstract:Reconfigurable intelligent surface (RIS)-aided cell-free (CF) massive multiple-input multiple-output (mMIMO) is a promising architecture for further improving spectral efficiency (SE) with low cost and power consumption. However, conventional RIS has inevitable limitations due to its capability of only reflecting signals. In contrast, beyond-diagonal RIS (BD-RIS), with its ability to both reflect and transmit signals, has gained great attention. This correspondence focuses on using BD-RIS to improve the sum SE of CF mMIMO systems. This requires completing the beamforming design under the transmit power constraints and unitary constraints of the BD-RIS, by optimizing active and passive beamformer simultaneously. To tackle this issue, we introduce an alternating optimization algorithm that decomposes it using fractional programming and solves the subproblems alternatively. Moreover, to address the challenge introduced by the unitary constraint on the beamforming matrix of the BD-RIS, a manifold optimization algorithm is proposed to solve the problem optimally. Simulation results show that BD-RISs outperform RISs comprehensively, especially in the case of the full connected architecture which achieves the best performance, enhancing the sum SE by around 40% compared to ideal RISs.




Abstract:Cell-free (CF) massive multiple-input multiple-output (MIMO) is considered as a promising technology for achieving the ultimate performance limit. However, due to its distributed architecture and low-cost access points (APs), the signals received at user equipments (UEs) are most likely asynchronous. In this paper, we investigate the performance of CF massive MIMO systems with asynchronous reception, including both effects of delay and oscillator phases. Taking into account the imperfect channel state information caused by phase asynchronization and pilot contamination, we obtain novel and closed-form downlink spectral efficiency (SE) expressions with coherent and non-coherent data transmission schemes, respectively. Simulation results show that asynchronous reception destroys the orthogonality of pilots and coherent transmission of data, and thus results in poor system performance. In addition, getting a highly accurate delay phase is substantial for CF massive MIMO systems to achieve coherent transmission gain. Moreover, the oscillator phase of UEs has a larger effect on SE than that of the APs, because the latter can be significantly reduced by increasing the number of antennas.




Abstract:Cell-free (CF) massive multiple-input multiple-output (MIMO) systems show great potentials in low-mobility scenarios, due to cell boundary disappearance and strong macro diversity. However, the great Doppler frequency offset (DFO) leads to serious inter-carrier interference in orthogonal frequency division multiplexing (OFDM) technology, which makes it difficult to provide high-quality transmissions for both high-speed train (HST) operation control systems and passengers. In this paper, we focus on the performance of CF massive MIMO-OFDM systems with both fully centralized and local minimum mean square error (MMSE) combining in HST communications. Considering the local maximum ratio (MR) combining, the large-scale fading decoding (LSFD) cooperation and the practical effect of DFO on system performance, exact closed-form expressions for uplink spectral efficiency (SE) expressions are derived. We observe that cooperative MMSE combining achieves better SE performance than uncooperative MR combining. In addition, HST communications with small cell and cellular massive MIMO-OFDM systems are compared in terms of SE. Numerical results reveal that the CF massive MIMO-OFDM system achieves a larger and more uniform SE than the other systems. Finally, the train antenna centric (TA-centric) CF massive MIMO-OFDM system is designed for practical implementation in HST communications, and three power control schemes are adopted to optimize the propagation of TAs for reducing the impact of the DFO.




Abstract:High-speed train (HST) communications with orthogonal frequency division multiplexing (OFDM) techniques have received significant attention in recent years. Besides, cell-free (CF) massive multiple-input multiple-output (MIMO) is considered a promising technology to achieve the ultimate performance limit. In this paper, we focus on the performance of CF massive MIMO-OFDM systems with both matched filter and large-scale fading decoding (LSFD) receivers in HST communications. HST communications with small cell and cellular massive MIMO-OFDM systems are also analyzed for comparison. Considering the bad effect of Doppler frequency offset (DFO) on system performance, exact closed-form expressions for uplink spectral efficiency (SE) of all systems are derived. According to the simulation results, we find that the CF massive MIMO-OFDM system with LSFD achieves both larger SE and lower SE drop percentages than other systems. In addition, increasing the number of access points (APs) and antennas per AP can effectively compensate for the performance loss from the DFO. Moreover, there is an optimal vertical distance between APs and HST to achieve the maximum SE.




Abstract:Cell-free (CF) massive multiple-input multiple-output (MIMO) is a promising solution to provide uniform good performance for unmanned aerial vehicle (UAV) communications. In this paper, we propose the UAV communication with wireless power transfer (WPT) aided CF massive MIMO systems, where the harvested energy (HE) from the downlink WPT is used to support both uplink data and pilot transmission. We derive novel closed-form downlink HE and uplink spectral efficiency (SE) expressions that take hardware impairments of UAV into account. UAV communications with current small cell (SC) and cellular massive MIMO enabled WPT systems are also considered for comparison. It is significant to show that CF massive MIMO achieves two and five times higher 95\%-likely uplink SE than the ones of SC and cellular massive MIMO, respectively. Besides, the large-scale fading decoding receiver cooperation can reduce the interference of the terrestrial user. Moreover, the maximum SE can be achieved by changing the time-splitting fraction. We prove that the optimal time-splitting fraction for maximum SE is determined by the number of antennas, altitude and hardware quality factor of UAVs. Furthermore, we propose three UAV trajectory design schemes to improve the SE. It is interesting that the angle search scheme performs best than both AP search and line path schemes. Finally, simulation results are presented to validate the accuracy of our expressions.