



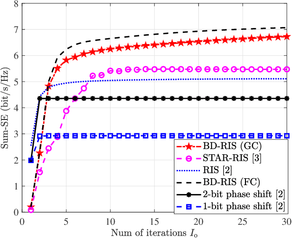
Reconfigurable intelligent surface (RIS)-aided cell-free (CF) massive multiple-input multiple-output (mMIMO) is a promising architecture for further improving spectral efficiency (SE) with low cost and power consumption. However, conventional RIS has inevitable limitations due to its capability of only reflecting signals. In contrast, beyond-diagonal RIS (BD-RIS), with its ability to both reflect and transmit signals, has gained great attention. This correspondence focuses on using BD-RIS to improve the sum SE of CF mMIMO systems. This requires completing the beamforming design under the transmit power constraints and unitary constraints of the BD-RIS, by optimizing active and passive beamformer simultaneously. To tackle this issue, we introduce an alternating optimization algorithm that decomposes it using fractional programming and solves the subproblems alternatively. Moreover, to address the challenge introduced by the unitary constraint on the beamforming matrix of the BD-RIS, a manifold optimization algorithm is proposed to solve the problem optimally. Simulation results show that BD-RISs outperform RISs comprehensively, especially in the case of the full connected architecture which achieves the best performance, enhancing the sum SE by around 40% compared to ideal RISs.