



Abstract:With the rise of AI-generated content spewed at scale from large language models (LLMs), genuine concerns about the spread of fake news have intensified. The perceived ability of LLMs to produce convincing fake news at scale poses new challenges for both human and automated fake news detection systems. To address this gap, this work presents the findings from a university-level competition which aimed to explore how LLMs can be used by humans to create fake news, and to assess the ability of human annotators and AI models to detect it. A total of 110 participants used LLMs to create 252 unique fake news stories, and 84 annotators participated in the detection tasks. Our findings indicate that LLMs are ~68% more effective at detecting real news than humans. However, for fake news detection, the performance of LLMs and humans remains comparable (~60% accuracy). Additionally, we examine the impact of visual elements (e.g., pictures) in news on the accuracy of detecting fake news stories. Finally, we also examine various strategies used by fake news creators to enhance the credibility of their AI-generated content. This work highlights the increasing complexity of detecting AI-generated fake news, particularly in collaborative human-AI settings.




Abstract:The widespread adoption of large language models (LLMs) and generative AI (GenAI) tools across diverse applications has amplified the importance of addressing societal biases inherent within these technologies. While the NLP community has extensively studied LLM bias, research investigating how non-expert users perceive and interact with biases from these systems remains limited. As these technologies become increasingly prevalent, understanding this question is crucial to inform model developers in their efforts to mitigate bias. To address this gap, this work presents the findings from a university-level competition, which challenged participants to design prompts for eliciting biased outputs from GenAI tools. We quantitatively and qualitatively analyze the competition submissions and identify a diverse set of biases in GenAI and strategies employed by participants to induce bias in GenAI. Our finding provides unique insights into how non-expert users perceive and interact with biases from GenAI tools.
Abstract:The field of Explainable Artificial Intelligence (XAI) focuses on techniques for providing explanations to end-users about the decision-making processes that underlie modern-day machine learning (ML) models. Within the vast universe of XAI techniques, counterfactual (CF) explanations are often preferred by end-users as they help explain the predictions of ML models by providing an easy-to-understand & actionable recourse (or contrastive) case to individual end-users who are adversely impacted by predicted outcomes. However, recent studies have shown significant security concerns with using CF explanations in real-world applications; in particular, malicious adversaries can exploit CF explanations to perform query-efficient model extraction attacks on proprietary ML models. In this paper, we propose a model-agnostic watermarking framework (for adding watermarks to CF explanations) that can be leveraged to detect unauthorized model extraction attacks (which rely on the watermarked CF explanations). Our novel framework solves a bi-level optimization problem to embed an indistinguishable watermark into the generated CF explanation such that any future model extraction attacks that rely on these watermarked CF explanations can be detected using a null hypothesis significance testing (NHST) scheme, while ensuring that these embedded watermarks do not compromise the quality of the generated CF explanations. We evaluate this framework's performance across a diverse set of real-world datasets, CF explanation methods, and model extraction techniques, and show that our watermarking detection system can be used to accurately identify extracted ML models that are trained using the watermarked CF explanations. Our work paves the way for the secure adoption of CF explanations in real-world applications.


Abstract:Toxicity is an increasingly common and severe issue in online spaces. Consequently, a rich line of machine learning research over the past decade has focused on computationally detecting and mitigating online toxicity. These efforts crucially rely on human-annotated datasets that identify toxic content of various kinds in social media texts. However, such annotations historically yield low inter-rater agreement, which was often dealt with by taking the majority vote or other such approaches to arrive at a single ground truth label. Recent research has pointed out the importance of accounting for the subjective nature of this task when building and utilizing these datasets, and this has triggered work on analyzing and better understanding rater disagreements, and how they could be effectively incorporated into the machine learning developmental pipeline. While these efforts are filling an important gap, there is a lack of a broader framework about the root causes of rater disagreement, and therefore, we situate this work within that broader landscape. In this survey paper, we analyze a broad set of literature on the reasons behind rater disagreements focusing on online toxicity, and propose a detailed taxonomy for the same. Further, we summarize and discuss the potential solutions targeting each reason for disagreement. We also discuss several open issues, which could promote the future development of online toxicity research.




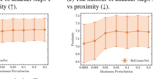
Abstract:Counterfactual (CF) explanations for machine learning (ML) models are preferred by end-users, as they explain the predictions of ML models by providing a recourse case to individuals who are adversely impacted by predicted outcomes. Existing CF explanation methods generate recourses under the assumption that the underlying target ML model remains stationary over time. However, due to commonly occurring distributional shifts in training data, ML models constantly get updated in practice, which might render previously generated recourses invalid and diminish end-users trust in our algorithmic framework. To address this problem, we propose RoCourseNet, a training framework that jointly optimizes for predictions and robust recourses to future data shifts. We have three main contributions: (i) We propose a novel virtual data shift (VDS) algorithm to find worst-case shifted ML models by explicitly considering the worst-case data shift in the training dataset. (ii) We leverage adversarial training to solve a novel tri-level optimization problem inside RoCourseNet, which simultaneously generates predictions and corresponding robust recourses. (iii) Finally, we evaluate RoCourseNet's performance on three real-world datasets and show that RoCourseNet outperforms state-of-the-art baselines by 10% in generating robust CF explanations.




Abstract:This work presents CounterNet, a novel end-to-end learning framework which integrates the predictive model training and counterfactual (CF) explanation generation into a single end-to-end pipeline. Counterfactual explanations attempt to find the smallest modification to the feature values of an instance that changes the prediction of the ML model to a predefined output. Prior CF explanation techniques rely on solving separate time-intensive optimization problems for every single input instance to find CF examples, and also suffer from the misalignment of objectives between model predictions and explanations, which leads to significant shortcomings in the quality of CF explanations. CounterNet, on the other hand, integrates both prediction and explanation in the same framework, which enables the optimization of the CF example generation only once together with the predictive model. We propose a novel variant of back-propagation which can help in effectively training CounterNet's network. Finally, we conduct extensive experiments on multiple real-world datasets. Our results show that CounterNet generates high-quality predictions, and corresponding CF examples (with high validity) for any new input instance significantly faster than existing state-of-the-art baselines.