Abstract:Distillation addresses the slow sampling problem in diffusion models by creating models with smaller size or fewer steps that approximate the behavior of high-step teachers. In this work, we propose a reinforcement learning based distillation framework for diffusion models. Instead of relying on fixed reconstruction or consistency losses, we treat the distillation process as a policy optimization problem, where the student is trained using a reward signal derived from alignment with the teacher's outputs. This RL driven approach dynamically guides the student to explore multiple denoising paths, allowing it to take longer, optimized steps toward high-probability regions of the data distribution, rather than relying on incremental refinements. Our framework utilizes the inherent ability of diffusion models to handle larger steps and effectively manage the generative process. Experimental results show that our method achieves superior performance with significantly fewer inference steps and computational resources compared to existing distillation techniques. Additionally, the framework is model agnostic, applicable to any type of diffusion models with suitable reward functions, providing a general optimization paradigm for efficient diffusion learning.
Abstract:Off-policy learning and evaluation leverage logged bandit feedback datasets, which contain context, action, propensity score, and feedback for each data point. These scenarios face significant challenges due to high variance and poor performance with low-quality propensity scores and heavy-tailed reward distributions. We address these issues by introducing a novel estimator based on the log-sum-exponential (LSE) operator, which outperforms traditional inverse propensity score estimators. Our LSE estimator demonstrates variance reduction and robustness under heavy-tailed conditions. For off-policy evaluation, we derive upper bounds on the estimator's bias and variance. In the off-policy learning scenario, we establish bounds on the regret -- the performance gap between our LSE estimator and the optimal policy -- assuming bounded $(1+\epsilon)$-th moment of weighted reward. Notably, we achieve a convergence rate of $O(n^{-\epsilon/(1+ \epsilon)})$ for the regret bounds, where $\epsilon \in [0,1]$ and $n$ is the size of logged bandit feedback dataset. Theoretical analysis is complemented by comprehensive empirical evaluations in both off-policy learning and evaluation scenarios, confirming the practical advantages of our approach. The code for our estimator is available at the following link: https://github.com/armin-behnamnia/lse-offpolicy-learning.
Abstract:Offline reinforcement learning (RL) aims to learn an optimal policy from pre-collected data. However, it faces challenges of distributional shift, where the learned policy may encounter unseen scenarios not covered in the offline data. Additionally, numerous applications suffer from a scarcity of labeled reward data. Relying on labeled data alone often leads to a narrow state-action distribution, further amplifying the distributional shift, and resulting in suboptimal policy learning. To address these issues, we first recognize that the volume of unlabeled data is typically substantially larger than that of labeled data. We then propose a semi-pessimistic RL method to effectively leverage abundant unlabeled data. Our approach offers several advantages. It considerably simplifies the learning process, as it seeks a lower bound of the reward function, rather than that of the Q-function or state transition function. It is highly flexible, and can be integrated with a range of model-free and model-based RL algorithms. It enjoys the guaranteed improvement when utilizing vast unlabeled data, but requires much less restrictive conditions. We compare our method with a number of alternative solutions, both analytically and numerically, and demonstrate its clear competitiveness. We further illustrate with an application to adaptive deep brain stimulation for Parkinson's disease.
Abstract:The solution to empirical risk minimization with $f$-divergence regularization (ERM-$f$DR) is extended to constrained optimization problems, establishing conditions for equivalence between the solution and constraints. A dual formulation of ERM-$f$DR is introduced, providing a computationally efficient method to derive the normalization function of the ERM-$f$DR solution. This dual approach leverages the Legendre-Fenchel transform and the implicit function theorem, enabling explicit characterizations of the generalization error for general algorithms under mild conditions, and another for ERM-$f$DR solutions.




Abstract:Networks are popular for representing complex data. In particular, differentially private synthetic networks are much in demand for method and algorithm development. The network generator should be easy to implement and should come with theoretical guarantees. Here we start with complex data as input and jointly provide a network representation as well as a synthetic network generator. Using a random connection model, we devise an effective algorithmic approach for generating attributed synthetic graphs which is $\epsilon$-differentially private at the vertex level, while preserving utility under an appropriate notion of distance which we develop. We provide theoretical guarantees for the accuracy of the private synthetic graphs using the fused Gromov-Wasserstein distance, which extends the Wasserstein metric to structured data. Our method draws inspiration from the PSMM method of \citet{he2023}.

Abstract:Recent methods for aligning large language models (LLMs) with human feedback predominantly rely on a single reference model, which limits diversity, model overfitting, and underutilizes the wide range of available pre-trained models. Incorporating multiple reference models has the potential to address these limitations by broadening perspectives, reducing bias, and leveraging the strengths of diverse open-source LLMs. However, integrating multiple reference models into reinforcement learning with human feedback (RLHF) frameworks poses significant theoretical challenges, particularly in reverse KL-regularization, where achieving exact solutions has remained an open problem. This paper presents the first \emph{exact solution} to the multiple reference model problem in reverse KL-regularized RLHF. We introduce a comprehensive theoretical framework that includes rigorous statistical analysis and provides sample complexity guarantees. Additionally, we extend our analysis to forward KL-regularized RLHF, offering new insights into sample complexity requirements in multiple reference scenarios. Our contributions lay the foundation for more advanced and adaptable LLM alignment techniques, enabling the effective use of multiple reference models. This work paves the way for developing alignment frameworks that are both theoretically sound and better suited to the challenges of modern AI ecosystems.




Abstract:Graph-structured datasets often suffer from class imbalance, which complicates node classification tasks. In this work, we address this issue by first providing an upper bound on population risk for imbalanced transductive node classification. We then propose a simple and novel algorithm, Uncertainty-aware Pseudo-labeling (UPL). Our approach leverages pseudo-labels assigned to unlabeled nodes to mitigate the adverse effects of imbalance on classification accuracy. Furthermore, the UPL algorithm enhances the accuracy of pseudo-labeling by reducing training noise of pseudo-labels through a novel uncertainty-aware approach. We comprehensively evaluate the UPL algorithm across various benchmark datasets, demonstrating its superior performance compared to existing state-of-the-art methods.
Abstract:We propose a novel framework for exploring generalization errors of transfer learning through the lens of differential calculus on the space of probability measures. In particular, we consider two main transfer learning scenarios, $\alpha$-ERM and fine-tuning with the KL-regularized empirical risk minimization and establish generic conditions under which the generalization error and the population risk convergence rates for these scenarios are studied. Based on our theoretical results, we show the benefits of transfer learning with a one-hidden-layer neural network in the mean-field regime under some suitable integrability and regularity assumptions on the loss and activation functions.
Abstract:The generalization error (risk) of a supervised statistical learning algorithm quantifies its prediction ability on previously unseen data. Inspired by exponential tilting, Li et al. (2021) proposed the tilted empirical risk as a non-linear risk metric for machine learning applications such as classification and regression problems. In this work, we examine the generalization error of the tilted empirical risk. In particular, we provide uniform and information-theoretic bounds on the tilted generalization error, defined as the difference between the population risk and the tilted empirical risk, with a convergence rate of $O(1/\sqrt{n})$ where $n$ is the number of training samples. Furthermore, we study the solution to the KL-regularized expected tilted empirical risk minimization problem and derive an upper bound on the expected tilted generalization error with a convergence rate of $O(1/n)$.




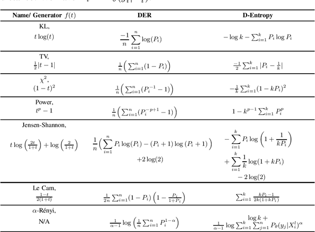
Abstract:This paper investigates a range of empirical risk functions and regularization methods suitable for self-training methods in semi-supervised learning. These approaches draw inspiration from various divergence measures, such as $f$-divergences and $\alpha$-R\'enyi divergences. Inspired by the theoretical foundations rooted in divergences, i.e., $f$-divergences and $\alpha$-R\'enyi divergence, we also provide valuable insights to enhance the understanding of our empirical risk functions and regularization techniques. In the pseudo-labeling and entropy minimization techniques as self-training methods for effective semi-supervised learning, the self-training process has some inherent mismatch between the true label and pseudo-label (noisy pseudo-labels) and some of our empirical risk functions are robust, concerning noisy pseudo-labels. Under some conditions, our empirical risk functions demonstrate better performance when compared to traditional self-training methods.