GIPSA-lab
Abstract:Positron emission tomography (PET) is a cornerstone of modern oncologic and neurologic imaging, distinguished by its unique ability to illuminate dynamic metabolic processes that transcend the anatomical focus of traditional imaging technologies. Radiology reports are essential for clinical decision making, yet their manual creation is labor-intensive and time-consuming. Recent advancements of vision-language models (VLMs) have shown strong potential in medical applications, presenting a promising avenue for automating report generation. However, existing applications of VLMs in the medical domain have predominantly focused on structural imaging modalities, while the unique characteristics of molecular PET imaging have largely been overlooked. To bridge the gap, we introduce PET2Rep, a large-scale comprehensive benchmark for evaluation of general and medical VLMs for radiology report generation for PET images. PET2Rep stands out as the first dedicated dataset for PET report generation with metabolic information, uniquely capturing whole-body image-report pairs that cover dozens of organs to fill the critical gap in existing benchmarks and mirror real-world clinical comprehensiveness. In addition to widely recognized natural language generation metrics, we introduce a series of clinical efficiency metrics to evaluate the quality of radiotracer uptake pattern description in key organs in generated reports. We conduct a head-to-head comparison of 30 cutting-edge general-purpose and medical-specialized VLMs. The results show that the current state-of-the-art VLMs perform poorly on PET report generation task, falling considerably short of fulfilling practical needs. Moreover, we identify several key insufficiency that need to be addressed to advance the development in medical applications.
Abstract:As a key technology in 6G research, federated learning (FL) enables collaborative learning among multiple clients while ensuring individual data privacy. However, malicious attackers among the participating clients can intentionally tamper with the training data or the trained model, compromising the accuracy and trustworthiness of the system. To address this issue, in this paper, we propose a hierarchical audit-based FL (HiAudit-FL) framework, with the aim to enhance the reliability and security of the learning process. The hierarchical audit process includes two stages, namely model-audit and parameter-audit. In the model-audit stage, a low-overhead audit method is employed to identify suspicious clients. Subsequently, in the parameter-audit stage, a resource-consuming method is used to detect all malicious clients with higher accuracy among the suspicious ones. Specifically, we execute the model audit method among partial clients for multiple rounds, which is modeled as a partial observation Markov decision process (POMDP) with the aim to enhance the robustness and accountability of the decision-making in complex and uncertain environments. Meanwhile, we formulate the problem of identifying malicious attackers through a multi-round audit as an active sequential hypothesis testing problem and leverage a diffusion model-based AI-Enabled audit selection strategy (ASS) to decide which clients should be audited in each round. To accomplish efficient and effective audit selection, we design a DRL-ASS algorithm by incorporating the ASS in a deep reinforcement learning (DRL) framework. Our simulation results demonstrate that HiAudit-FL can effectively identify and handle potential malicious users accurately, with small system overhead.
Abstract:One of the challenges of telepresence robotics is to provide ubiquitous social-interpersonalimmersion. In order to achieve this, there is a need to understand and model the factors that wouldallow the users to control the transmission of their vocal productions, and to give them perception,proprioception and inter-proprioception of this control. This model for transferring sociallyembodied vocal distance should take into account all parameters involved in the social-interpersonaleffect of vocal productions, especially intensity. It should also integrate the background informationwhich is relevant for the speakers to express their intentions. In this paper, we present a firstexperiment for measuring, analyzing and modeling how human beings perceive the distance to aninterlocutor, depending on socio-affective variations in the vocal productions of this interlocutor.These results will be the reference for the models which will be implanted in our telepresence robot:Robair Social Touch.
Abstract:In this study, we present a new experiment in order to study the Lombard effect in telepresence robotics. In this experiment, one person talks with a robot controled remotely by someone in a different room. The remote pilot (R) is immersed in both environments, while the local interlocutor (L) interacts directly with the robot. In this context, the position of the noise source, in the remote or in the local room, may modify the subjects' voice adaptations. In order to study in details this phenomenon, we propose four particular conditions: no added noise, noise in room R heard only by R, virtual noise in room L heard only by R, and noise in room L heard by both R and L. We measured the variations of maximum intensity in order to quantify the Lombard effect. Our results show that there is indeed a modification of voice intensity in all noisy conditions. However, the amplitude of this modification varies depending on the condition.




Abstract:When human listeners try to guess the spatial position of a speech source, they are influenced by the speaker's production level, regardless of the intensity level reaching their ears. Because the perception of distance is a very difficult task, they rely on their own experience, which tells them that a whispering talker is close to them, and that a shouting talker is far away. This study aims to test if similar results could be obtained for prosodic variations produced by a human speaker in an everyday life environment. It consists in a localization task, during which blindfolded subjects had to estimate the incoming voice direction, speaker orientation and distance of a trained female speaker, who uttered single words, following instructions concerning intensity and social-affect to be performed. This protocol was implemented in two experiments. First, a complex pretext task was used in order to distract the subjects from the strange behavior of the speaker. On the contrary, during the second experiment, the subjects were fully aware of the prosodic variations, which allowed them to adapt their perception. Results show the importance of the pretext task, and suggest that the perception of the speaker's orientation can be influenced by voice intensity.




Abstract:Federated Learning (FL) can be used in mobile edge networks to train machine learning models in a distributed manner. Recently, FL has been interpreted within a Model-Agnostic Meta-Learning (MAML) framework, which brings FL significant advantages in fast adaptation and convergence over heterogeneous datasets. However, existing research simply combines MAML and FL without explicitly addressing how much benefit MAML brings to FL and how to maximize such benefit over mobile edge networks. In this paper, we quantify the benefit from two aspects: optimizing FL hyperparameters (i.e., sampled data size and the number of communication rounds) and resource allocation (i.e., transmit power) in mobile edge networks. Specifically, we formulate the MAML-based FL design as an overall learning time minimization problem, under the constraints of model accuracy and energy consumption. Facilitated by the convergence analysis of MAML-based FL, we decompose the formulated problem and then solve it using analytical solutions and the coordinate descent method. With the obtained FL hyperparameters and resource allocation, we design a MAML-based FL algorithm, called Automated Federated Learning (AutoFL), that is able to conduct fast adaptation and convergence. Extensive experimental results verify that AutoFL outperforms other benchmark algorithms regarding the learning time and convergence performance.




Abstract:Deploying ultra-dense networks that operate on millimeter wave (mmWave) band is a promising way to address the tremendous growth on mobile data traffic. However, one key challenge of ultra-dense mmWave network (UDmmN) is beam management due to the high propagation delay, limited beam coverage as well as numerous beams and users. In this paper, a novel systematic beam control scheme is presented to tackle the beam management problem which is difficult due to the nonconvex objective function. We employ double deep Q-network (DDQN) under a federated learning (FL) framework to address the above optimization problem, and thereby fulfilling adaptive and intelligent beam management in UDmmN. In the proposed beam management scheme based on FL (BMFL), the non-rawdata aggregation can theoretically protect user privacy while reducing handoff cost. Moreover, we propose to adopt a data cleaning technique in the local model training for BMFL, with the aim to further strengthen the privacy protection of users while improving the learning convergence speed. Simulation results demonstrate the performance gain of our proposed scheme.




Abstract:The prosperity of artificial intelligence (AI) has laid a promising paradigm of communication system, i.e., intelligent semantic communication (ISC), where semantic contents, instead of traditional bit sequences, are coded by AI models for efficient communication. Due to the unique demand of background knowledge for semantic recovery, wireless resource management faces new challenges in ISC. In this paper, we address the user association (UA) and bandwidth allocation (BA) problems in an ISC-enabled heterogeneous network (ISC-HetNet). We first introduce the auxiliary knowledge base (KB) into the system model, and develop a new performance metric for the ISC-HetNet, named system throughput in message (STM). Joint optimization of UA and BA is then formulated with the aim of STM maximization subject to KB matching and wireless bandwidth constraints. To this end, we propose a two-stage solution, including a stochastic programming method in the first stage to obtain a deterministic objective with semantic confidence, and a heuristic algorithm in the second stage to reach the optimality of UA and BA. Numerical results show great superiority and reliability of our proposed solution on the STM performance when compared with two baseline algorithms.




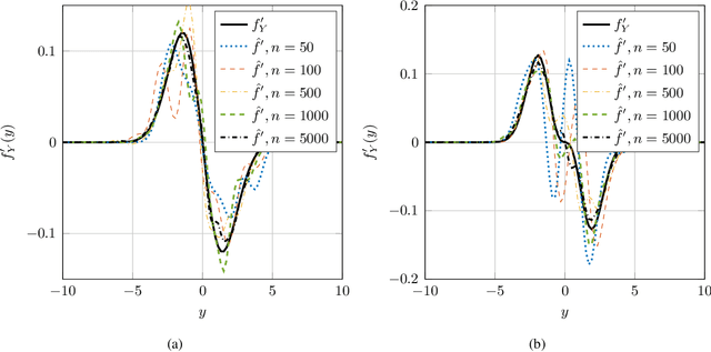
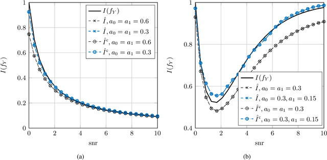
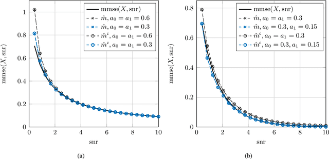
Abstract:This paper considers the problem of estimation of the Fisher information for location from a random sample of size $n$. First, an estimator proposed by Bhattacharya is revisited and improved convergence rates are derived. Second, a new estimator, termed a clipped estimator, is proposed. Superior upper bounds on the rates of convergence can be shown for the new estimator compared to the Bhattacharya estimator, albeit with different regularity conditions. Third, both of the estimators are evaluated for the practically relevant case of a random variable contaminated by Gaussian noise. Moreover, using Brown's identity, which relates the Fisher information and the minimum mean squared error (MMSE) in Gaussian noise, two corresponding consistent estimators for the MMSE are proposed. Simulation examples for the Bhattacharya estimator and the clipped estimator as well as the MMSE estimators are presented. The examples demonstrate that the clipped estimator can significantly reduce the required sample size to guarantee a specific confidence interval compared to the Bhattacharya estimator.