



Abstract:Intelligent reflecting surface (IRS) operating in the terahertz (THz) band has recently gained considerable interest due to its high spectrum bandwidth. Due to the exploitation of large scale of IRS, there is a high probability that the transceivers will be situated within the near-field region of the IRS. Thus, the near-field beam split effect poses a major challenge for the design of wideband IRS beamforming, which causes the radiation beam to deviate from its intended location, leading to significant gain losses and limiting the efficient use of available bandwidths. While delay-based IRS has emerged as a potential solution, current beamforming schemes generally assume unbounded range time delays (TDs). In this letter, we first investigate the near-field beam split issue at the IRS. Then, we extend the piece-wise far-field model to the IRS, based on which, a double-layer delta-delay (DLDD) IRS beamforming scheme is proposed. Specifically, we employ an element-grouping strategy and the TD imposed on each sub-surface of IRS is achieved by a series of TD modules. This method significantly reduces the required range of TDs. Numerical results show that the proposed DLDD IRS beamforming scheme can effectively mitigate the near-field beam split and achieve near-optimal performance.
Abstract:Integrated sensing and communication (ISAC) systems may face a heavy computation burden since the sensory data needs to be further processed. This paper studies a novel system that integrates sensing, communication, and computation, aiming to provide services for different objectives efficiently. This system consists of a multi-antenna multi-functional base station (BS), an edge server, a target, and multiple singleantenna communication users. The BS needs to allocate the available resources to efficiently provide sensing, communication, and computation services. Due to the heavy service burden and limited power budget, the BS can partially offload the tasks to the nearby edge server instead of computing them locally. We consider the estimation of the target response matrix, a general problem in radar sensing, and utilize Cramer-Rao bound (CRB) as the corresponding performance metric. To tackle the non-convex optimization problem, we propose both semidefinite relaxation (SDR)-based alternating optimization and SDR-based successive convex approximation (SCA) algorithms to minimize the CRB of radar sensing while meeting the requirement of communication users and the need for task computing. Furthermore, we demonstrate that the optimal rankone solutions of both the alternating and SCA algorithms can be directly obtained via the solver or further constructed even when dealing with multiple functionalities. Simulation results show that the proposed algorithms can provide higher target estimation performance than state-of-the-art benchmarks while satisfying the communication and computation constraints.
Abstract:This paper investigates a wireless-powered Internet of Things (IoT) network comprising a hybrid access point (HAP) and two devices. The HAP facilitates downlink wireless energy transfer (WET) for device charging and uplink wireless information transfer (WIT) to collect status updates from the devices. To keep the information fresh, concurrent WET and WIT are allowed, and orthogonal multiple access (OMA) and non-orthogonal multiple access (NOMA) are adaptively scheduled for WIT. Consequently, we formulate an expected weighted sum age of information (EWSAoI) minimization problem to adaptively schedule the transmission scheme, choosing from WET, OMA, NOMA, and WET+OMA, and to allocate transmit power. To address this, we reformulate the problem as a Markov decision process (MDP) and develop an optimal policy based on instantaneous AoI and remaining battery power to determine scheme selection and transmit power allocation. Extensive results demonstrate the effectiveness of the proposed policy, and the optimal policy has a distinct decision boundary-switching property, providing valuable insights for practical system design.




Abstract:Compared with traditional half-duplex wireless systems, the application of emerging full-duplex (FD) technology can potentially double the system capacity theoretically. However, conventional techniques for suppressing self-interference (SI) adopted in FD systems require exceedingly high power consumption and expensive hardware. In this paper, we consider employing an intelligent reflecting surface (IRS) in the proximity of an FD base station (BS) to mitigate SI for simultaneously receiving data from uplink users and transmitting information to downlink users. The objective considered is to maximize the weighted sum-rate of the system by jointly optimizing the IRS phase shifts, the BS transmit beamformers, and the transmit power of the uplink users. To visualize the role of the IRS in SI cancellation by isolating other interference, we first study a simple scenario with one downlink user and one uplink user. To address the formulated non-convex problem, a low-complexity algorithm based on successive convex approximation is proposed. For the more general case considering multiple downlink and uplink users, an efficient alternating optimization algorithm based on element-wise optimization is proposed. Numerical results demonstrate that the FD system with the proposed schemes can achieve a larger gain over the half-duplex system, and the IRS is able to achieve a balance between suppressing SI and providing beamforming gain.




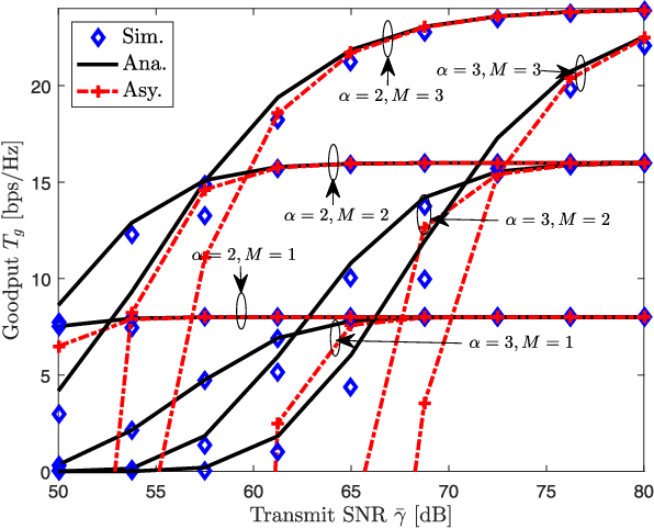
Abstract:To support massive connectivity and boost spectral efficiency for internet of things (IoT), a downlink scheme combining virtual multiple-input multiple-output (MIMO) and nonorthogonal multiple access (NOMA) is proposed. All the single-antenna IoT devices in each cluster cooperate with each other to establish a virtual MIMO entity, and multiple independent data streams are requested by each cluster. NOMA is employed to superimpose all the requested data streams, and each cluster leverages zero-forcing detection to de-multiplex the input data streams. Only statistical channel state information (CSI) is available at base station to avoid the waste of the energy and bandwidth on frequent CSI estimations. The outage probability and goodput of the virtual MIMO-NOMA system are thoroughly investigated by considering Kronecker model, which embraces both the transmit and receive correlations. Furthermore, the asymptotic results facilitate not only the exploration of physical insights but also the goodput maximization. In particular, the asymptotic outage expressions provide quantitative impacts of various system parameters and enable the investigation of diversity-multiplexing tradeoff (DMT). Moreover, power allocation coefficients and/or transmission rates can be properly chosen to achieve the maximal goodput. By favor of Karush-Kuhn-Tucker conditions, the goodput maximization problems can be solved in closed-form, with which the joint power and rate selection is realized by using alternately iterating optimization.Besides, the optimization algorithms tend to allocate more power to clusters under unfavorable channel conditions and support clusters with higher transmission rate under benign channel conditions.