



Abstract:Movie trailers are an essential tool for promoting films and attracting audiences. However, the process of creating trailers can be time-consuming and expensive. To streamline this process, we propose an automatic trailer generation framework that generates plausible trailers from a full movie by automating shot selection and composition. Our approach draws inspiration from machine translation techniques and models the movies and trailers as sequences of shots, thus formulating the trailer generation problem as a sequence-to-sequence task. We introduce Trailer Generation Transformer (TGT), a deep-learning framework utilizing an encoder-decoder architecture. TGT movie encoder is tasked with contextualizing each movie shot representation via self-attention, while the autoregressive trailer decoder predicts the feature representation of the next trailer shot, accounting for the relevance of shots' temporal order in trailers. Our TGT significantly outperforms previous methods on a comprehensive suite of metrics.
Abstract:Long-form video content constitutes a significant portion of internet traffic, making automated video summarization an essential research problem. However, existing video summarization datasets are notably limited in their size, constraining the effectiveness of state-of-the-art methods for generalization. Our work aims to overcome this limitation by capitalizing on the abundance of long-form videos with dense speech-to-video alignment and the remarkable capabilities of recent large language models (LLMs) in summarizing long text. We introduce an automated and scalable pipeline for generating a large-scale video summarization dataset using LLMs as Oracle summarizers. By leveraging the generated dataset, we analyze the limitations of existing approaches and propose a new video summarization model that effectively addresses them. To facilitate further research in the field, our work also presents a new benchmark dataset that contains 1200 long videos each with high-quality summaries annotated by professionals. Extensive experiments clearly indicate that our proposed approach sets a new state-of-the-art in video summarization across several benchmarks.




Abstract:Existing video compression (VC) methods primarily aim to reduce the spatial and temporal redundancies between consecutive frames in a video while preserving its quality. In this regard, previous works have achieved remarkable results on videos acquired under specific settings such as instant (known) exposure time and shutter speed which often result in sharp videos. However, when these methods are evaluated on videos captured under different temporal priors, which lead to degradations like motion blur and low frame rate, they fail to maintain the quality of the contents. In this work, we tackle the VC problem in a general scenario where a given video can be blurry due to predefined camera settings or dynamics in the scene. By exploiting the natural trade-off between visual enhancement and data compression, we formulate VC as a min-max optimization problem and propose an effective framework and training strategy to tackle the problem. Extensive experimental results on several benchmark datasets confirm the effectiveness of our method compared to several state-of-the-art VC approaches.
Abstract:Learning computer vision models from (and for) movies has a long-standing history. While great progress has been attained, there is still a need for a pretrained multimodal model that can perform well in the ever-growing set of movie understanding tasks the community has been establishing. In this work, we introduce Long-range Multimodal Pretraining, a strategy, and a model that leverages movie data to train transferable multimodal and cross-modal encoders. Our key idea is to learn from all modalities in a movie by observing and extracting relationships over a long-range. After pretraining, we run ablation studies on the LVU benchmark and validate our modeling choices and the importance of learning from long-range time spans. Our model achieves state-of-the-art on several LVU tasks while being much more data efficient than previous works. Finally, we evaluate our model's transferability by setting a new state-of-the-art in five different benchmarks.




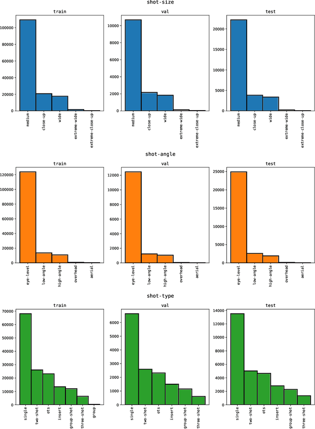
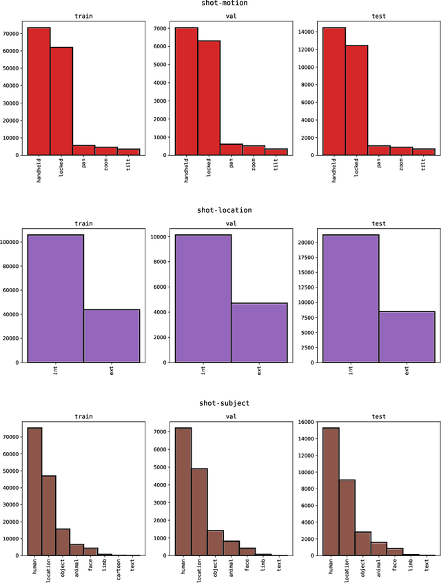
Abstract:Machine learning is transforming the video editing industry. Recent advances in computer vision have leveled-up video editing tasks such as intelligent reframing, rotoscoping, color grading, or applying digital makeups. However, most of the solutions have focused on video manipulation and VFX. This work introduces the Anatomy of Video Editing, a dataset, and benchmark, to foster research in AI-assisted video editing. Our benchmark suite focuses on video editing tasks, beyond visual effects, such as automatic footage organization and assisted video assembling. To enable research on these fronts, we annotate more than 1.5M tags, with relevant concepts to cinematography, from 196176 shots sampled from movie scenes. We establish competitive baseline methods and detailed analyses for each of the tasks. We hope our work sparks innovative research towards underexplored areas of AI-assisted video editing.




Abstract:Video frame interpolation (VFI) works generally predict intermediate frame(s) by first estimating the motion between inputs and then warping the inputs to the target time with the estimated motion. This approach, however, is not optimal when the temporal distance between the input sequence increases as existing motion estimation modules cannot effectively handle large motions. Hence, VFI works perform well for small frame gaps and perform poorly as the frame gap increases. In this work, we propose a novel framework to address this problem. We argue that when there is a large gap between inputs, instead of estimating imprecise motion that will eventually lead to inaccurate interpolation, we can safely propagate from one side of the input up to a reliable time frame using the other input as a reference. Then, the rest of the intermediate frames can be interpolated using standard approaches as the temporal gap is now narrowed. To this end, we propose a propagation network (PNet) by extending the classic feature-level forecasting with a novel motion-to-feature approach. To be thorough, we adopt a simple interpolation model along with PNet as our full model and design a simple procedure to train the full model in an end-to-end manner. Experimental results on several benchmark datasets confirm the effectiveness of our method for long-term VFI compared to state-of-the-art approaches.




Abstract:We propose a novel framework to generate clean video frames from a single motion-blurred image. While a broad range of literature focuses on recovering a single image from a blurred image, in this work, we tackle a more challenging task i.e. video restoration from a blurred image. We formulate video restoration from a single blurred image as an inverse problem by setting clean image sequence and their respective motion as latent factors, and the blurred image as an observation. Our framework is based on an encoder-decoder structure with spatial transformer network modules to restore a video sequence and its underlying motion in an end-to-end manner. We design a loss function and regularizers with complementary properties to stabilize the training and analyze variant models of the proposed network. The effectiveness and transferability of our network are highlighted through a large set of experiments on two different types of datasets: camera rotation blurs generated from panorama scenes and dynamic motion blurs in high speed videos.




Abstract:Abrupt motion of camera or objects in a scene result in a blurry video, and therefore recovering high quality video requires two types of enhancements: visual enhancement and temporal upsampling. A broad range of research attempted to recover clean frames from blurred image sequences or temporally upsample frames by interpolation, yet there are very limited studies handling both problems jointly. In this work, we present a novel framework for deblurring, interpolating and extrapolating sharp frames from a motion-blurred video in an end-to-end manner. We design our framework by first learning the pixel-level motion that caused the blur from the given inputs via optical flow estimation and then predict multiple clean frames by warping the decoded features with the estimated flows. To ensure temporal coherence across predicted frames and address potential temporal ambiguity, we propose a simple, yet effective flow-based rule. The effectiveness and favorability of our approach are highlighted through extensive qualitative and quantitative evaluations on motion-blurred datasets from high speed videos.




Abstract:In most of computer vision applications, motion blur is regarded as an undesirable artifact. However, it has been shown that motion blur in an image may have practical interests in fundamental computer vision problems. In this work, we propose a novel framework to estimate optical flow from a single motion-blurred image in an end-to-end manner. We design our network with transformer networks to learn globally and locally varying motions from encoded features of a motion-blurred input, and decode left and right frame features without explicit frame supervision. A flow estimator network is then used to estimate optical flow from the decoded features in a coarse-to-fine manner. We qualitatively and quantitatively evaluate our model through a large set of experiments on synthetic and real motion-blur datasets. We also provide in-depth analysis of our model in connection with related approaches to highlight the effectiveness and favorability of our approach. Furthermore, we showcase the applicability of the flow estimated by our method on deblurring and moving object segmentation tasks.




Abstract:ResNet or DenseNet? Nowadays, most deep learning based approaches are implemented with seminal backbone networks, among them the two arguably most famous ones are ResNet and DenseNet. Despite their competitive performance and overwhelming popularity, inherent drawbacks exist for both of them. For ResNet, the identity shortcut that stabilizes training also limits its representation capacity, while DenseNet has a higher capacity with multi-layer feature concatenation. However, the dense concatenation causes a new problem of requiring high GPU memory and more training time. Partially due to this, it is not a trivial choice between ResNet and DenseNet. This paper provides a unified perspective of dense summation to analyze them, which facilitates a better understanding of their core difference. We further propose dense weighted normalized shortcuts as a solution to the dilemma between them. Our proposed dense shortcut inherits the design philosophy of simple design in ResNet and DenseNet. On several benchmark datasets, the experimental results show that the proposed DSNet achieves significantly better results than ResNet, and achieves comparable performance as DenseNet but requiring fewer computation resources.