



Abstract:Semi-supervised domain adaptation (SSDA) has been extensively researched due to its ability to improve classification performance and generalization ability of models by using a small amount of labeled data on the target domain. However, existing methods cannot effectively adapt to the target domain due to difficulty in fully learning rich and complex target semantic information and relationships. In this paper, we propose a novel SSDA learning framework called semantic regularization learning (SERL), which captures the target semantic information from multiple perspectives of regularization learning to achieve adaptive fine-tuning of the source pre-trained model on the target domain. SERL includes three robust semantic regularization techniques. Firstly, semantic probability contrastive regularization (SPCR) helps the model learn more discriminative feature representations from a probabilistic perspective, using semantic information on the target domain to understand the similarities and differences between samples. Additionally, adaptive weights in SPCR can help the model learn the semantic distribution correctly through the probabilities of different samples. To further comprehensively understand the target semantic distribution, we introduce hard-sample mixup regularization (HMR), which uses easy samples as guidance to mine the latent target knowledge contained in hard samples, thereby learning more complete and complex target semantic knowledge. Finally, target prediction regularization (TPR) regularizes the target predictions of the model by maximizing the correlation between the current prediction and the past learned objective, thereby mitigating the misleading of semantic information caused by erroneous pseudo-labels. Extensive experiments on three benchmark datasets demonstrate that our SERL method achieves state-of-the-art performance.
Abstract:Semi-supervised domain adaptation (SSDA) has been widely studied due to its ability to utilize a few labeled target data to improve the generalization ability of the model. However, existing methods only consider designing certain strategies for target samples to adapt, ignoring the exploration of customized learning for different target samples. When the model encounters complex target distribution, existing methods will perform limited due to the inability to clearly and comprehensively learn the knowledge of multiple types of target samples. To fill this gap, this paper focuses on designing a framework to use different strategies for comprehensively mining different target samples. We propose a novel source-free framework (SOUF) to achieve semi-supervised fine-tuning of the source pre-trained model on the target domain. Different from existing SSDA methods, SOUF decouples SSDA from the perspectives of different target samples, specifically designing robust learning techniques for unlabeled, reliably labeled, and noisy pseudo-labeled target samples. For unlabeled target samples, probability-based weighted contrastive learning (PWC) helps the model learn more discriminative feature representations. To mine the latent knowledge of labeled target samples, reliability-based mixup contrastive learning (RMC) learns complex knowledge from the constructed reliable sample set. Finally, predictive regularization learning (PR) further mitigates the misleading effect of noisy pseudo-labeled samples on the model. Extensive experiments on benchmark datasets demonstrate the superiority of our framework over state-of-the-art methods.




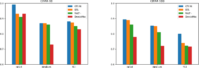
Abstract:Noisy labels, which are common in real-world datasets, can significantly impair the training of deep learning models. However, recent adversarial noise-combating methods overlook the long-tailed distribution of real data, which can significantly harm the effect of denoising strategies. Meanwhile, the mismanagement of noisy labels further compromises the model's ability to handle long-tailed data. To tackle this issue, we propose a novel approach to manage data characterized by both long-tailed distributions and noisy labels. First, we introduce a loss-distance cross-selection module, which integrates class predictions and feature distributions to filter clean samples, effectively addressing uncertainties introduced by noisy labels and long-tailed distributions. Subsequently, we employ optimal transport strategies to generate pseudo-labels for the noise set in a semi-supervised training manner, enhancing pseudo-label quality while mitigating the effects of sample scarcity caused by the long-tailed distribution. We conduct experiments on both synthetic and real-world datasets, and the comprehensive experimental results demonstrate that our method surpasses current state-of-the-art methods. Our code will be available in the future.
Abstract:The spike camera, with its high temporal resolution, low latency, and high dynamic range, addresses high-speed imaging challenges like motion blur. It captures photons at each pixel independently, creating binary spike streams rich in temporal information but challenging for image reconstruction. Current algorithms, both traditional and deep learning-based, still need to be improved in the utilization of the rich temporal detail and the restoration of the details of the reconstructed image. To overcome this, we introduce Swin Spikeformer (SwinSF), a novel model for dynamic scene reconstruction from spike streams. SwinSF is composed of Spike Feature Extraction, Spatial-Temporal Feature Extraction, and Final Reconstruction Module. It combines shifted window self-attention and proposed temporal spike attention, ensuring a comprehensive feature extraction that encapsulates both spatial and temporal dynamics, leading to a more robust and accurate reconstruction of spike streams. Furthermore, we build a new synthesized dataset for spike image reconstruction which matches the resolution of the latest spike camera, ensuring its relevance and applicability to the latest developments in spike camera imaging. Experimental results demonstrate that the proposed network SwinSF sets a new benchmark, achieving state-of-the-art performance across a series of datasets, including both real-world and synthesized data across various resolutions. Our codes and proposed dataset will be available soon.
Abstract:Existing few-shot segmentation (FSS) only considers learning support-query correlation and segmenting unseen categories under the precise pixel masks. However, the cost of a large number of pixel masks during training is expensive. This paper considers a more challenging scenario, weakly-supervised few-shot segmentation (WS-FSS), which only provides category ($i.e.$ image-level) labels. It requires the model to learn robust support-query information when the generated mask is inaccurate. In this work, we design a Correlation Enhancement Network (CORENet) with foundation model, which utilizes multi-information guidance to learn robust correlation. Specifically, correlation-guided transformer (CGT) utilizes self-supervised ViT tokens to learn robust correlation from both local and global perspectives. From the perspective of semantic categories, the class-guided module (CGM) guides the model to locate valuable correlations through the pre-trained CLIP. Finally, the embedding-guided module (EGM) implicitly guides the model to supplement the inevitable information loss during the correlation learning by the original appearance embedding and finally generates the query mask. Extensive experiments on PASCAL-5$^i$ and COCO-20$^i$ have shown that CORENet exhibits excellent performance compared to existing methods.
Abstract:In recent years, deep neural networks (DNNs) have gained remarkable achievement in computer vision tasks, and the success of DNNs often depends greatly on the richness of data. However, the acquisition process of data and high-quality ground truth requires a lot of manpower and money. In the long, tedious process of data annotation, annotators are prone to make mistakes, resulting in incorrect labels of images, i.e., noisy labels. The emergence of noisy labels is inevitable. Moreover, since research shows that DNNs can easily fit noisy labels, the existence of noisy labels will cause significant damage to the model training process. Therefore, it is crucial to combat noisy labels for computer vision tasks, especially for classification tasks. In this survey, we first comprehensively review the evolution of different deep learning approaches for noisy label combating in the image classification task. In addition, we also review different noise patterns that have been proposed to design robust algorithms. Furthermore, we explore the inner pattern of real-world label noise and propose an algorithm to generate a synthetic label noise pattern guided by real-world data. We test the algorithm on the well-known real-world dataset CIFAR-10N to form a new real-world data-guided synthetic benchmark and evaluate some typical noise-robust methods on the benchmark.




Abstract:TorchAudio is an open-source audio and speech processing library built for PyTorch. It aims to accelerate the research and development of audio and speech technologies by providing well-designed, easy-to-use, and performant PyTorch components. Its contributors routinely engage with users to understand their needs and fulfill them by developing impactful features. Here, we survey TorchAudio's development principles and contents and highlight key features we include in its latest version (2.1): self-supervised learning pre-trained pipelines and training recipes, high-performance CTC decoders, speech recognition models and training recipes, advanced media I/O capabilities, and tools for performing forced alignment, multi-channel speech enhancement, and reference-less speech assessment. For a selection of these features, through empirical studies, we demonstrate their efficacy and show that they achieve competitive or state-of-the-art performance.
Abstract:Spiking Neural Networks, as a third-generation neural network, are well-suited for edge AI applications due to their binary spike nature. However, when it comes to complex tasks like object detection, SNNs often require a substantial number of time steps to achieve high performance. This limitation significantly hampers the widespread adoption of SNNs in latency-sensitive edge devices. In this paper, our focus is on generating highly accurate and low-latency SNNs specifically for object detection. Firstly, we systematically derive the conversion between SNNs and ANNs and analyze how to improve the consistency between them: improving the spike firing rate and reducing the quantization error. Then we propose a structural replacement, quantization of ANN activation and residual fix to allevicate the disparity. We evaluate our method on challenging dataset MS COCO, PASCAL VOC and our spike dataset. The experimental results show that the proposed method achieves higher accuracy and lower latency compared to previous work Spiking-YOLO. The advantages of SNNs processing of spike signals are also demonstrated.
Abstract:The high biological properties and low energy consumption of Spiking Neural Networks (SNNs) have brought much attention in recent years. However, the converted SNNs generally need large time steps to achieve satisfactory performance, which will result in high inference latency and computational resources increase. In this work, we propose a highly efficient and fast SNN for object detection. First, we build an initial compact ANN by using quantization training method of convolution layer fold batch normalization layer and neural network modification. Second, we theoretically analyze how to obtain the low complexity SNN correctly. Then, we propose a scale-aware pseudoquantization scheme to guarantee the correctness of the compact ANN to SNN. Third, we propose a continuous inference scheme by using a Feed-Forward Integrate-and-Fire (FewdIF) neuron to realize high-speed object detection. Experimental results show that our efficient SNN can achieve 118X speedup on GPU with only 1.5MB parameters for object detection tasks. We further verify our SNN on FPGA platform and the proposed model can achieve 800+FPS object detection with extremely low latency.




Abstract:Cross-domain few-shot segmentation (CD-FSS) aims to achieve semantic segmentation in previously unseen domains with a limited number of annotated samples. Although existing CD-FSS models focus on cross-domain feature transformation, relying exclusively on inter-domain knowledge transfer may lead to the loss of critical intra-domain information. To this end, we propose a novel residual transformation network (RestNet) that facilitates knowledge transfer while retaining the intra-domain support-query feature information. Specifically, we propose a Semantic Enhanced Anchor Transform (SEAT) module that maps features to a stable domain-agnostic space using advanced semantics. Additionally, an Intra-domain Residual Enhancement (IRE) module is designed to maintain the intra-domain representation of the original discriminant space in the new space. We also propose a mask prediction strategy based on prototype fusion to help the model gradually learn how to segment. Our RestNet can transfer cross-domain knowledge from both inter-domain and intra-domain without requiring additional fine-tuning. Extensive experiments on ISIC, Chest X-ray, and FSS-1000 show that our RestNet achieves state-of-the-art performance. Our code will be available soon.