Abstract:Value decomposition is a central approach in multi-agent reinforcement learning (MARL), enabling centralized training with decentralized execution by factorizing the global value function into local values. To ensure individual-global-max (IGM) consistency, existing methods either enforce monotonicity constraints, which limit expressive power, or adopt softer surrogates at the cost of algorithmic complexity. In this work, we present a dynamical systems analysis of non-monotonic value decomposition, modeling learning dynamics as continuous-time gradient flow. We prove that, under approximately greedy exploration, all zero-loss equilibria violating IGM consistency are unstable saddle points, while only IGM-consistent solutions are stable attractors of the learning dynamics. Extensive experiments on both synthetic matrix games and challenging MARL benchmarks demonstrate that unconstrained, non-monotonic factorization reliably recovers IGM-optimal solutions and consistently outperforms monotonic baselines. Additionally, we investigate the influence of temporal-difference targets and exploration strategies, providing actionable insights for the design of future value-based MARL algorithms.




Abstract:This paper develops a Decentralized Multi-Agent Reinforcement Learning (Dec-MARL) method to solve the SoC balancing problem in the distributed energy storage system (DESS). First, the SoC balancing problem is formulated into a finite Markov decision process with action constraints derived from demand balance, which can be solved by Dec-MARL. Specifically, the first-order average consensus algorithm is utilized to expand the observations of the DESS state in a fully-decentralized way, and the initial actions (i.e., output power) are decided by the agents (i.e., energy storage units) according to these observations. In order to get the final actions in the allowable range, a counterfactual demand balance algorithm is proposed to balance the total demand and the initial actions. Next, the agents execute the final actions and get local rewards from the environment, and the DESS steps into the next state. Finally, through the first-order average consensus algorithm, the agents get the average reward and the expended observation of the next state for later training. By the above procedure, Dec-MARL reveals outstanding performance in a fully-decentralized system without any expert experience or constructing any complicated model. Besides, it is flexible and can be extended to other decentralized multi-agent systems straightforwardly. Extensive simulations have validated the effectiveness and efficiency of Dec-MARL.
Abstract:The product carbon footprint (PCF) is crucial for decarbonizing the supply chain, as it measures the direct and indirect greenhouse gas emissions caused by all activities during the product's life cycle. However, PCF accounting often requires expert knowledge and significant time to construct life cycle models. In this study, we test and compare the emergent ability of five large language models (LLMs) in modeling the 'cradle-to-gate' life cycles of products and generating the inventory data of inputs and outputs, revealing their limitations as a generalized PCF knowledge database. By utilizing LLMs, we propose an automatic AI-driven PCF accounting framework, called AutoPCF, which also applies deep learning algorithms to automatically match calculation parameters, and ultimately calculate the PCF. The results of estimating the carbon footprint for three case products using the AutoPCF framework demonstrate its potential in achieving automatic modeling and estimation of PCF with a large reduction in modeling time from days to minutes.




Abstract:Multimodal knowledge graph link prediction aims to improve the accuracy and efficiency of link prediction tasks for multimodal data. However, for complex multimodal information and sparse training data, it is usually difficult to achieve interpretability and high accuracy simultaneously for most methods. To address this difficulty, a new model is developed in this paper, namely Interpretable Multimodal Knowledge Graph Answer Prediction via Sequence Modeling (IMKGA-SM). First, a multi-modal fine-grained fusion method is proposed, and Vgg16 and Optical Character Recognition (OCR) techniques are adopted to effectively extract text information from images and images. Then, the knowledge graph link prediction task is modelled as an offline reinforcement learning Markov decision model, which is then abstracted into a unified sequence framework. An interactive perception-based reward expectation mechanism and a special causal masking mechanism are designed, which "converts" the query into an inference path. Then, an autoregressive dynamic gradient adjustment mechanism is proposed to alleviate the insufficient problem of multimodal optimization. Finally, two datasets are adopted for experiments, and the popular SOTA baselines are used for comparison. The results show that the developed IMKGA-SM achieves much better performance than SOTA baselines on multimodal link prediction datasets of different sizes.




Abstract:Recently, barrier function-based safe reinforcement learning (RL) with the actor-critic structure for continuous control tasks has received increasing attention. It is still challenging to learn a near-optimal control policy with safety and convergence guarantees. Also, few works have addressed the safe RL algorithm design under time-varying safety constraints. This paper proposes a model-based safe RL algorithm for optimal control of nonlinear systems with time-varying state and control constraints. In the proposed approach, we construct a novel barrier-based control policy structure that can guarantee control safety. A multi-step policy evaluation mechanism is proposed to predict the policy's safety risk under time-varying safety constraints and guide the policy to update safely. Theoretical results on stability and robustness are proven. Also, the convergence of the actor-critic learning algorithm is analyzed. The performance of the proposed algorithm outperforms several state-of-the-art RL algorithms in the simulated Safety Gym environment. Furthermore, the approach is applied to the integrated path following and collision avoidance problem for two real-world intelligent vehicles. A differential-drive vehicle and an Ackermann-drive one are used to verify the offline deployment performance and the online learning performance, respectively. Our approach shows an impressive sim-to-real transfer capability and a satisfactory online control performance in the experiment.




Abstract:In this paper, two Q-learning (QL) methods are proposed and their convergence theories are established for addressing the model-free optimal control problem of general nonlinear continuous-time systems. By introducing the Q-function for continuous-time systems, policy iteration based QL (PIQL) and value iteration based QL (VIQL) algorithms are proposed for learning the optimal control policy from real system data rather than using mathematical system model. It is proved that both PIQL and VIQL methods generate a nonincreasing Q-function sequence, which converges to the optimal Q-function. For implementation of the QL algorithms, the method of weighted residuals is applied to derived the parameters update rule. The developed PIQL and VIQL algorithms are essentially off-policy reinforcement learning approachs, where the system data can be collected arbitrary and thus the exploration ability is increased. With the data collected from the real system, the QL methods learn the optimal control policy offline, and then the convergent control policy will be employed to real system. The effectiveness of the developed QL algorithms are verified through computer simulation.




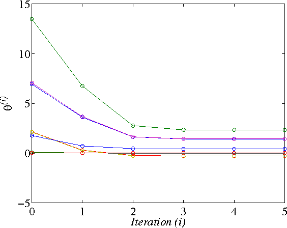
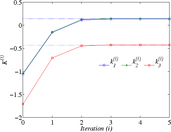
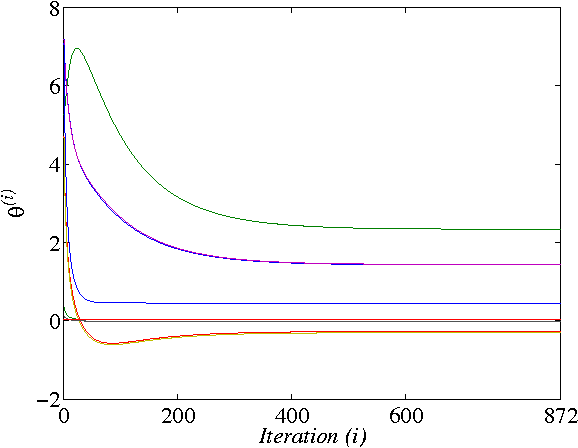
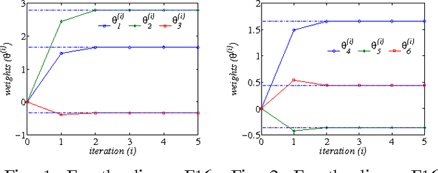
Abstract:The $H_\infty$ control design problem is considered for nonlinear systems with unknown internal system model. It is known that the nonlinear $ H_\infty $ control problem can be transformed into solving the so-called Hamilton-Jacobi-Isaacs (HJI) equation, which is a nonlinear partial differential equation that is generally impossible to be solved analytically. Even worse, model-based approaches cannot be used for approximately solving HJI equation, when the accurate system model is unavailable or costly to obtain in practice. To overcome these difficulties, an off-policy reinforcement leaning (RL) method is introduced to learn the solution of HJI equation from real system data instead of mathematical system model, and its convergence is proved. In the off-policy RL method, the system data can be generated with arbitrary policies rather than the evaluating policy, which is extremely important and promising for practical systems. For implementation purpose, a neural network (NN) based actor-critic structure is employed and a least-square NN weight update algorithm is derived based on the method of weighted residuals. Finally, the developed NN-based off-policy RL method is tested on a linear F16 aircraft plant, and further applied to a rotational/translational actuator system.




Abstract:This paper addresses the model-free nonlinear optimal problem with generalized cost functional, and a data-based reinforcement learning technique is developed. It is known that the nonlinear optimal control problem relies on the solution of the Hamilton-Jacobi-Bellman (HJB) equation, which is a nonlinear partial differential equation that is generally impossible to be solved analytically. Even worse, most of practical systems are too complicated to establish their accurate mathematical model. To overcome these difficulties, we propose a data-based approximate policy iteration (API) method by using real system data rather than system model. Firstly, a model-free policy iteration algorithm is derived for constrained optimal control problem and its convergence is proved, which can learn the solution of HJB equation and optimal control policy without requiring any knowledge of system mathematical model. The implementation of the algorithm is based on the thought of actor-critic structure, where actor and critic neural networks (NNs) are employed to approximate the control policy and cost function, respectively. To update the weights of actor and critic NNs, a least-square approach is developed based on the method of weighted residuals. The whole data-based API method includes two parts, where the first part is implemented online to collect real system information, and the second part is conducting offline policy iteration to learn the solution of HJB equation and the control policy. Then, the data-based API algorithm is simplified for solving unconstrained optimal control problem of nonlinear and linear systems. Finally, we test the efficiency of the data-based API control design method on a simple nonlinear system, and further apply it to a rotational/translational actuator system. The simulation results demonstrate the effectiveness of the proposed method.