Abstract:Beyond-diagonal reconfigurable intelligent surfaces (BD-RISs) have recently gained attention as an enhancement to conventional RISs. BD-RISs allow optimizing not only the phase, but also the amplitude responses of their discrete surface elements by introducing adjustable inter-element couplings. Various BD-RIS architectures have been proposed to optimally trade off between average performance and complexity of the architecture. However, little attention has been paid to worst-case performance. This paper characterizes novel sets of adversarial channels for which certain low-complexity BD-RIS architectures have suboptimal performance in terms of received signal power at an intended communications user. Specifically, we consider two recent BD-RIS models: the so-called group-connected and tree-connected architecture. The derived adversarial channel sets reveal new surprising connections between the two architectures. We validate our analytical results numerically, demonstrating that adversarial channels can cause a significant performance loss. Our results pave the way towards efficient BD-RIS designs that are robust to adversarial propagation conditions and malicious attacks.




Abstract:This paper develops a generative deep learning model for the synthesis of multiple-input multiple-output (MIMO) active sensing waveforms with desired properties, including constant modulus and a user-defined beampattern. The proposed approach is capable synthesizing unique phase codes of on-the-fly, which has the potential to reduce interference between co-existing active sensing systems and facilitate Low Probability of Intercept/Low Probability of Detection (LPI/LPD) radar operation. The paper extends our earlier work on synthesis of approximately orthogonal MIMO phase codes by introducing flexible control over the transmit beampatterns. The developed machine learning method employs a conditional Wasserstein Generative Adversarial Network (GAN) structure. The main benefits of the method are its ability to discover new waveforms on-demand (post training) and generate demanding beampatterns at lower computational complexity compared to structured optimization approaches.
Abstract:This paper addresses the topic of integrated sensing and communications (ISAC) in 5G and emerging 6G wireless networks. ISAC systems operate within shared, congested or even contested spectrum, aiming to deliver high performance in both wireless communications and radio frequency (RF) sensing. The expected benefits include more efficient utilization of spectrum, power, hardware (HW) and antenna resources. Focusing on multicarrier (MC) systems, which represent the most widely used communication waveforms, it explores the co-design and optimization of waveforms alongside multiantenna transceiver signal processing for communications and both monostatic and bistatic sensing applications of ISAC. Moreover, techniques of high practical relevance for overcoming and even harnessing challenges posed by non-idealities in actual transceiver implementations are considered. To operate in highly dynamic radio environments and target scenarios, both model-based structured optimization and learning-based methodologies for ISAC systems are covered, assessing their adaptability and learning capabilities under real-world conditions. The paper presents trade-offs in communication-centric and radar-sensing-centric approaches, aiming for an optimized balance in densely used spectrum.
Abstract:In this paper, we consider a setting where heterogeneous agents with connectivity are performing inference using unlabeled streaming data. Observed data are only partially informative about the target variable of interest. In order to overcome the uncertainty, agents cooperate with each other by exchanging their local inferences with and through a fusion center. To evaluate how each agent influences the overall decision, we adopt a causal framework in order to distinguish the actual influence of agents from mere correlations within the decision-making process. Various scenarios reflecting different agent participation patterns and fusion center policies are investigated. We derive expressions to quantify the causal impact of each agent on the joint decision, which could be beneficial for anticipating and addressing atypical scenarios, such as adversarial attacks or system malfunctions. We validate our theoretical results with numerical simulations and a real-world application of multi-camera crowd counting.




Abstract:This paper introduces a new regularized version of the robust $\tau$-regression estimator for analyzing high-dimensional data sets subject to gross contamination in the response variables and covariates. We call the resulting estimator adaptive $\tau$-Lasso that is robust to outliers and high-leverage points and simultaneously employs adaptive $\ell_1$-norm penalty term to reduce the bias associated with large true regression coefficients. More specifically, this adaptive $\ell_1$-norm penalty term assigns a weight to each regression coefficient. For a fixed number of predictors $p$, we show that the adaptive $\tau$-Lasso has the oracle property with respect to variable-selection consistency and asymptotic normality for the regression vector corresponding to the true support, assuming knowledge of the true regression vector support. We then characterize its robustness via the finite-sample breakdown point and the influence function. We carry-out extensive simulations to compare the performance of the adaptive $\tau$-Lasso estimator with that of other competing regularized estimators in terms of prediction and variable selection accuracy in the presence of contamination within the response vector/regression matrix and additive heavy-tailed noise. We observe from our simulations that the class of $\tau$-Lasso estimators exhibits robustness and reliable performance in both contaminated and uncontaminated data settings, achieving the best or close-to-best for many scenarios, except for oracle estimators. However, it is worth noting that no particular estimator uniformly dominates others. We also validate our findings on robustness properties through simulation experiments.



Abstract:We consider the problem of information aggregation in federated decision making, where a group of agents collaborate to infer the underlying state of nature without sharing their private data with the central processor or each other. We analyze the non-Bayesian social learning strategy in which agents incorporate their individual observations into their opinions (i.e., soft-decisions) with Bayes rule, and the central processor aggregates these opinions by arithmetic or geometric averaging. Building on our previous work, we establish that both pooling strategies result in asymptotic normality characterization of the system, which, for instance, can be utilized in order to give approximate expressions for the error probability. We verify the theoretical findings with simulations and compare both strategies.
Abstract:Phase noise (PN) can become a major bottleneck for integrated sensing and communications (ISAC) systems towards 6G wireless networks. In this paper, we consider an OFDM ISAC system with oscillator imperfections and investigate the impact of PN on monostatic sensing performance by performing a misspecified Cram\'er-Rao bound (MCRB) analysis. Simulations are carried out under a wide variety of operating conditions with regard to SNR, oscillator type (free-running oscillators (FROs) and phase-locked loops (PLLs)), 3-dB bandwidth of the oscillator spectrum, PLL loop bandwidth and target range. The results provide valuable insights on when PN leads to a significant degradation in range and/or velocity accuracy, establishing important guidelines for hardware and algorithm design in 6G ISAC systems.




Abstract:In this paper, we address the problem of conducting statistical inference in settings involving large-scale data that may be high-dimensional and contaminated by outliers. The high volume and dimensionality of the data require distributed processing and storage solutions. We propose a two-stage distributed and robust statistical inference procedures coping with high-dimensional models by promoting sparsity. In the first stage, known as model selection, relevant predictors are locally selected by applying robust Lasso estimators to the distinct subsets of data. The variable selections from each computation node are then fused by a voting scheme to find the sparse basis for the complete data set. It identifies the relevant variables in a robust manner. In the second stage, the developed statistically robust and computationally efficient bootstrap methods are employed. The actual inference constructs confidence intervals, finds parameter estimates and quantifies standard deviation. Similar to stage 1, the results of local inference are communicated to the fusion center and combined there. By using analytical methods, we establish the favorable statistical properties of the robust and computationally efficient bootstrap methods including consistency for a fixed number of predictors, and robustness. The proposed two-stage robust and distributed inference procedures demonstrate reliable performance and robustness in variable selection, finding confidence intervals and bootstrap approximations of standard deviations even when data is high-dimensional and contaminated by outliers.




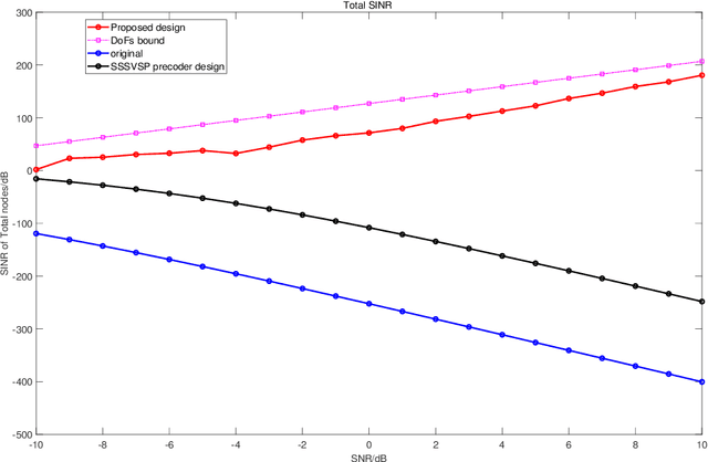
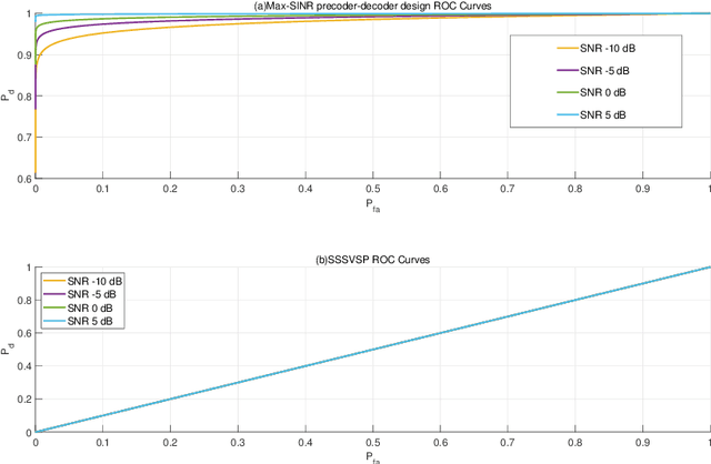
Abstract:Radar and modern communication systems are both evaluating towards higher frequency bands and massive antenna arrays, thus increasing their similarities in terms of hardware structure, channel characteristics, and signal processing pipelines. To suppress the cross-system interference caused by communications and radar systems with shared spectral and hardware resources, the co-design philosophy, wherein the communications and radar/sensing systems can operate in parallel with jointly optimized performance, has drawn substantial attention from both academia and industry. In this paper, we propose a nullspace-based joint precoder-decoder design for spectrum sharing between multicarrier radar and multiuser multicarrier communication systems, by employing the maximizing signal interference noise ratio (max-SINR) criterion and interference alignment (IA) constraints. By projecting the cross-system interference to the designed null spaces, a maximum degree of freedom upper bound for the $K+1$-radar-communication-user interference channel can be achieved. Our simulation studies demonstrate that interference can be practically fully canceled in both communication and radar systems. This leads to improved detection performance in radar and a higher rate in communication subsystems. A significant performance gain over a nullspace-based precoder-only design is also obtained.




Abstract:We consider the problem of monostatic radar sensing with OFDM joint radar-communications (JRC) systems in the presence of phase noise (PN) caused by oscillator imperfections. We begin by providing a rigorous statistical characterization of PN in the radar receiver over multiple OFDM symbols for free-running oscillators (FROs) and phase-locked loops (PLLs). Based on the delay-dependent PN covariance matrix, we derive the hybrid maximum-likelihood (ML)/maximum a-posteriori (MAP) estimator of the deterministic delay-Doppler parameters and the random PN, resulting in a challenging high-dimensional nonlinear optimization problem. To circumvent the nonlinearity of PN, we then develop an iterated small angle approximation (ISAA) algorithm that progressively refines delay-Doppler-PN estimates via closed-form updates of PN as a function of delay-Doppler at each iteration. Moreover, unlike existing approaches where PN is considered to be purely an impairment that has to be mitigated, we propose to exploit PN for range ambiguity resolution by capitalizing on its delay-dependent statistics (i.e., the range correlation effect), through the formulation of a parametric Toeplitz-block Toeplitz covariance matrix reconstruction problem. Simulation results indicate quick convergence of ISAA to the hybrid Cram\'{e}r-Rao bound (CRB), as well as its remarkable performance gains over state-of-the-art benchmarks, for both FROs and PLLs under various operating conditions, while showing that the detrimental effect of PN can be turned into an advantage for sensing.