Abstract:We consider the problem of recovering a mental target (e.g., an image of a face) that a participant has in mind from paired EEG (i.e., brain responses) and image (i.e., perceived faces) data collected during interactive sessions without access to labeled information. The problem has been previously explored with labeled data but not via self-calibration, where labeled data is unavailable. Here, we present the first framework and an algorithm, CURSOR, that learns to recover unknown mental targets without access to labeled data or pre-trained decoders. Our experiments on naturalistic images of faces demonstrate that CURSOR can (1) predict image similarity scores that correlate with human perceptual judgments without any label information, (2) use these scores to rank stimuli against an unknown mental target, and (3) generate new stimuli indistinguishable from the unknown mental target (validated via a user study, N=53).
Abstract:Ensuring faithful interpretability in large language models is imperative for trustworthy and reliable AI. A key obstacle is self-repair, a phenomenon where networks compensate for reduced signal in one component by amplifying others, masking the true importance of the ablated component. While prior work attributes self-repair to layer normalization and back-up components that compensate for ablated components, we identify a novel form occurring within the attention mechanism, where softmax redistribution conceals the influence of important attention scores. This leads traditional ablation and gradient-based methods to underestimate the significance of all components contributing to these attention scores. We introduce Gradient Interaction Modifications (GIM), a technique that accounts for self-repair during backpropagation. Extensive experiments across multiple large language models (Gemma 2B/9B, LLAMA 1B/3B/8B, Qwen 1.5B/3B) and diverse tasks demonstrate that GIM significantly improves faithfulness over existing circuit identification and feature attribution methods. Our work is a significant step toward better understanding the inner mechanisms of LLMs, which is crucial for improving them and ensuring their safety. Our code is available at https://github.com/JoakimEdin/gim.




Abstract:Language Model (LM) pruning compresses the model by removing weights, nodes, or other parts of its architecture. Typically, pruning focuses on the resulting efficiency gains at the cost of effectiveness. However, when looking at how individual data points are affected by pruning, it turns out that a particular subset of data points always bears most of the brunt (in terms of reduced accuracy) when pruning, but this effect goes unnoticed when reporting the mean accuracy of all data points. These data points are called PIEs and have been studied in image processing, but not in NLP. In a study of various NLP datasets, pruning methods, and levels of compression, we find that PIEs impact inference quality considerably, regardless of class frequency, and that BERT is more prone to this than BiLSTM. We also find that PIEs contain a high amount of data points that have the largest influence on how well the model generalises to unseen data. This means that when pruning, with seemingly moderate loss to accuracy across all data points, we in fact hurt tremendously those data points that matter the most. We trace what makes PIEs both hard and impactful to inference to their overall longer and more semantically complex text. These findings are novel and contribute to understanding how LMs are affected by pruning. The code is available at: https://github.com/pietrotrope/AsEasyAsPIE




Abstract:Fairness and relevance are two important aspects of recommender systems (RSs). Typically, they are evaluated either (i) separately by individual measures of fairness and relevance, or (ii) jointly using a single measure that accounts for fairness with respect to relevance. However, approach (i) often does not provide a reliable joint estimate of the goodness of the models, as it has two different best models: one for fairness and another for relevance. Approach (ii) is also problematic because these measures tend to be ad-hoc and do not relate well to traditional relevance measures, like NDCG. Motivated by this, we present a new approach for jointly evaluating fairness and relevance in RSs: Distance to Pareto Frontier (DPFR). Given some user-item interaction data, we compute their Pareto frontier for a pair of existing relevance and fairness measures, and then use the distance from the frontier as a measure of the jointly achievable fairness and relevance. Our approach is modular and intuitive as it can be computed with existing measures. Experiments with 4 RS models, 3 re-ranking strategies, and 6 datasets show that existing metrics have inconsistent associations with our Pareto-optimal solution, making DPFR a more robust and theoretically well-founded joint measure for assessing fairness and relevance. Our code: https://github.com/theresiavr/DPFR-recsys-evaluation




Abstract:Unsupervised learning of disentangled representations has been closely tied to enhancing the representation intepretability of Recommender Systems (RSs). This has been achieved by making the representation of individual features more distinctly separated, so that it is easier to attribute the contribution of features to the model's predictions. However, such advantages in interpretability and feature attribution have mainly been explored qualitatively. Moreover, the effect of disentanglement on the model's recommendation performance has been largely overlooked. In this work, we reproduce the recommendation performance, representation disentanglement and representation interpretability of five well-known recommendation models on four RS datasets. We quantify disentanglement and investigate the link of disentanglement with recommendation effectiveness and representation interpretability. While several existing work in RSs have proposed disentangled representations as a gateway to improved effectiveness and interpretability, our findings show that disentanglement is not necessarily related to effectiveness but is closely related to representation interpretability. Our code and results are publicly available at https://github.com/edervishaj/disentanglement-interpretability-recsys.




Abstract:Deep neural network predictions are notoriously difficult to interpret. Feature attribution methods aim to explain these predictions by identifying the contribution of each input feature. Faithfulness, often evaluated using the area over the perturbation curve (AOPC), reflects feature attributions' accuracy in describing the internal mechanisms of deep neural networks. However, many studies rely on AOPC to compare faithfulness across different models, which we show can lead to false conclusions about models' faithfulness. Specifically, we find that AOPC is sensitive to variations in the model, resulting in unreliable cross-model comparisons. Moreover, AOPC scores are difficult to interpret in isolation without knowing the model-specific lower and upper limits. To address these issues, we propose a normalization approach, Normalized AOPC (NAOPC), enabling consistent cross-model evaluations and more meaningful interpretation of individual scores. Our experiments demonstrate that this normalization can radically change AOPC results, questioning the conclusions of earlier studies and offering a more robust framework for assessing feature attribution faithfulness.
Abstract:Electronic healthcare records are vital for patient safety as they document conditions, plans, and procedures in both free text and medical codes. Language models have significantly enhanced the processing of such records, streamlining workflows and reducing manual data entry, thereby saving healthcare providers significant resources. However, the black-box nature of these models often leaves healthcare professionals hesitant to trust them. State-of-the-art explainability methods increase model transparency but rely on human-annotated evidence spans, which are costly. In this study, we propose an approach to produce plausible and faithful explanations without needing such annotations. We demonstrate on the automated medical coding task that adversarial robustness training improves explanation plausibility and introduce AttInGrad, a new explanation method superior to previous ones. By combining both contributions in a fully unsupervised setup, we produce explanations of comparable quality, or better, to that of a supervised approach. We release our code and model weights.




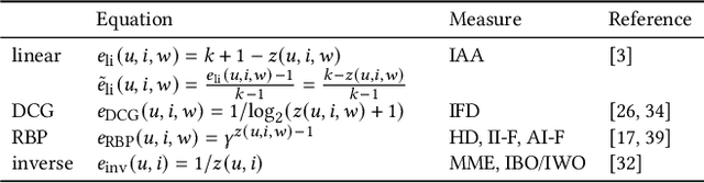
Abstract:Relevance and fairness are two major objectives of recommender systems (RSs). Recent work proposes measures of RS fairness that are either independent from relevance (fairness-only) or conditioned on relevance (joint measures). While fairness-only measures have been studied extensively, we look into whether joint measures can be trusted. We collect all joint evaluation measures of RS relevance and fairness, and ask: How much do they agree with each other? To what extent do they agree with relevance/fairness measures? How sensitive are they to changes in rank position, or to increasingly fair and relevant recommendations? We empirically study for the first time the behaviour of these measures across 4 real-world datasets and 4 recommenders. We find that most of these measures: i) correlate weakly with one another and even contradict each other at times; ii) are less sensitive to rank position changes than relevance- and fairness-only measures, meaning that they are less granular than traditional RS measures; and iii) tend to compress scores at the low end of their range, meaning that they are not very expressive. We counter the above limitations with a set of guidelines on the appropriate usage of such measures, i.e., they should be used with caution due to their tendency to contradict each other and of having a very small empirical range.
Abstract:Present Brain-Computer Interfacing (BCI) technology allows inference and detection of cognitive and affective states, but fairly little has been done to study scenarios in which such information can facilitate new applications that rely on modeling human cognition. One state that can be quantified from various physiological signals is attention. Estimates of human attention can be used to reveal preferences and novel dimensions of user experience. Previous approaches have tackled these incredibly challenging tasks using a variety of behavioral signals, from dwell-time to click-through data, and computational models of visual correspondence to these behavioral signals. However, behavioral signals are only rough estimations of the real underlying attention and affective preferences of the users. Indeed, users may attend to some content simply because it is salient, but not because it is really interesting, or simply because it is outrageous. With this paper, we put forward a research agenda and example work using BCI to infer users' preferences, their attentional correlates towards visual content, and their associations with affective experience. Subsequently, we link these to relevant applications, such as information retrieval, personalized steering of generative models, and crowdsourcing population estimates of affective experiences.




Abstract:Query augmentation is a crucial technique for refining semantically imprecise queries. Traditionally, query augmentation relies on extracting information from initially retrieved, potentially relevant documents. If the quality of the initially retrieved documents is low, then the effectiveness of query augmentation would be limited as well. We propose Brain-Aug, which enhances a query by incorporating semantic information decoded from brain signals. BrainAug generates the continuation of the original query with a prompt constructed with brain signal information and a ranking-oriented inference approach. Experimental results on fMRI (functional magnetic resonance imaging) datasets show that Brain-Aug produces semantically more accurate queries, leading to improved document ranking performance. Such improvement brought by brain signals is particularly notable for ambiguous queries.