Abstract:Physical field reconstruction (PFR) aims to predict the state distribution of physical quantities (e.g., velocity, pressure, and temperature) based on limited sensor measurements. It plays a critical role in domains such as fluid dynamics and thermodynamics. However, existing deep learning methods often fail to capture long-range temporal dependencies, resulting in suboptimal performance on time-evolving physical systems. To address this, we propose FR-Mamba, a novel spatiotemporal flow field reconstruction framework based on state space modeling. Specifically, we design a hybrid neural network architecture that combines Fourier Neural Operator (FNO) and State Space Model (SSM) to capture both global spatial features and long-range temporal dependencies. We adopt Mamba, a recently proposed efficient SSM architecture, to model long-range temporal dependencies with linear time complexity. In parallel, the FNO is employed to capture non-local spatial features by leveraging frequency-domain transformations. The spatiotemporal representations extracted by these two components are then fused to reconstruct the full-field distribution of the physical system. Extensive experiments demonstrate that our approach significantly outperforms existing PFR methods in flow field reconstruction tasks, achieving high-accuracy performance on long sequences.




Abstract:Adversarial patches are widely used to evaluate the robustness of object detection systems in real-world scenarios. These patches were initially designed to deceive single-modal detectors (e.g., visible or infrared) and have recently been extended to target visible-infrared dual-modal detectors. However, existing dual-modal adversarial patch attacks have limited attack effectiveness across diverse physical scenarios. To address this, we propose CDUPatch, a universal cross-modal patch attack against visible-infrared object detectors across scales, views, and scenarios. Specifically, we observe that color variations lead to different levels of thermal absorption, resulting in temperature differences in infrared imaging. Leveraging this property, we propose an RGB-to-infrared adapter that maps RGB patches to infrared patches, enabling unified optimization of cross-modal patches. By learning an optimal color distribution on the adversarial patch, we can manipulate its thermal response and generate an adversarial infrared texture. Additionally, we introduce a multi-scale clipping strategy and construct a new visible-infrared dataset, MSDrone, which contains aerial vehicle images in varying scales and perspectives. These data augmentation strategies enhance the robustness of our patch in real-world conditions. Experiments on four benchmark datasets (e.g., DroneVehicle, LLVIP, VisDrone, MSDrone) show that our method outperforms existing patch attacks in the digital domain. Extensive physical tests further confirm strong transferability across scales, views, and scenarios.
Abstract:Tracking multiple objects in a continuous video stream is crucial for many computer vision tasks. It involves detecting and associating objects with their respective identities across successive frames. Despite significant progress made in multiple object tracking (MOT), recent studies have revealed the vulnerability of existing MOT methods to adversarial attacks. Nevertheless, all of these attacks belong to digital attacks that inject pixel-level noise into input images, and are therefore ineffective in physical scenarios. To fill this gap, we propose PapMOT, which can generate physical adversarial patches against MOT for both digital and physical scenarios. Besides attacking the detection mechanism, PapMOT also optimizes a printable patch that can be detected as new targets to mislead the identity association process. Moreover, we introduce a patch enhancement strategy to further degrade the temporal consistency of tracking results across video frames, resulting in more aggressive attacks. We further develop new evaluation metrics to assess the robustness of MOT against such attacks. Extensive evaluations on multiple datasets demonstrate that our PapMOT can successfully attack various architectures of MOT trackers in digital scenarios. We also validate the effectiveness of PapMOT for physical attacks by deploying printed adversarial patches in the real world.
Abstract:The Segment Anything Model (SAM) is a widely used vision foundation model with diverse applications, including image segmentation, detection, and tracking. Given SAM's wide applications, understanding its robustness against adversarial attacks is crucial for real-world deployment. However, research on SAM's robustness is still in its early stages. Existing attacks often overlook the role of prompts in evaluating SAM's robustness, and there has been insufficient exploration of defense methods to balance the robustness and accuracy. To address these gaps, this paper proposes an adversarial robustness framework designed to evaluate and enhance the robustness of SAM. Specifically, we introduce a cross-prompt attack method to enhance the attack transferability across different prompt types. Besides attacking, we propose a few-parameter adaptation strategy to defend SAM against various adversarial attacks. To balance robustness and accuracy, we use the singular value decomposition (SVD) to constrain the space of trainable parameters, where only singular values are adaptable. Experiments demonstrate that our cross-prompt attack method outperforms previous approaches in terms of attack success rate on both SAM and SAM 2. By adapting only 512 parameters, we achieve at least a 15\% improvement in mean intersection over union (mIoU) against various adversarial attacks. Compared to previous defense methods, our approach enhances the robustness of SAM while maximally maintaining its original performance.
Abstract:Vision foundation models (VFMs) are large pre-trained models that form the backbone of various vision tasks. Fine-tuning VFMs can further unlock their potential for downstream tasks or scenarios. However, VFMs often contain significant feature redundancy, which may limit their adaptability to new tasks. In this paper, we investigate the redundancies in the segment anything model (SAM) and then propose a parameter-free fine-tuning method to address this issue. Unlike traditional fine-tuning methods that adjust parameters, our method emphasizes selecting, reusing, and enhancing pre-trained features, offering a new perspective on model fine-tuning. Specifically, we introduce a channel selection algorithm based on the model's output difference to identify redundant and effective channels. By selectively replacing the redundant channels with more effective ones, we filter out less useful features and reuse the more relevant features to downstream tasks, thereby enhancing the task-specific feature representation. Experiments on both out-of-domain and in-domain datasets demonstrate the efficiency and effectiveness of our method. Notably, our approach can seamlessly integrate with existing fine-tuning strategies (e.g., LoRA, Adapter), further boosting the performance of already fine-tuned models. Moreover, since our channel selection involves only model inference, our method significantly reduces computational and GPU memory overhead.




Abstract:In the field of robotic control, designing individual controllers for each robot leads to high computational costs. Universal control policies, applicable across diverse robot morphologies, promise to mitigate this challenge. Predominantly, models based on Graph Neural Networks (GNN) and Transformers are employed, owing to their effectiveness in capturing relational dynamics across a robot's limbs. However, these models typically employ homogeneous graph structures that overlook the functional diversity of different limbs. To bridge this gap, we introduce HeteroMorpheus, a novel method based on heterogeneous graph Transformer. This method uniquely addresses limb heterogeneity, fostering better representation of robot dynamics of various morphologies. Through extensive experiments we demonstrate the superiority of HeteroMorpheus against state-of-the-art methods in the capability of policy generalization, including zero-shot generalization and sample-efficient transfer to unfamiliar robot morphologies.




Abstract:Object detectors have demonstrated vulnerability to adversarial examples crafted by small perturbations that can deceive the object detector. Existing adversarial attacks mainly focus on white-box attacks and are merely valid at a specific viewpoint, while the universal multi-view black-box attack is less explored, limiting their generalization in practice. In this paper, we propose a novel universal multi-view black-box attack against object detectors, which optimizes a universal adversarial UV texture constructed by multiple image stickers for a 3D object via the designed layout optimization algorithm. Specifically, we treat the placement of image stickers on the UV texture as a circle-based layout optimization problem, whose objective is to find the optimal circle layout filled with image stickers so that it can deceive the object detector under the multi-view scenario. To ensure reasonable placement of image stickers, two constraints are elaborately devised. To optimize the layout, we adopt the random search algorithm enhanced by the devised important-aware selection strategy to find the most appropriate image sticker for each circle from the image sticker pools. Extensive experiments conducted on four common object detectors suggested that the detection performance decreases by a large magnitude of 74.29% on average in multi-view scenarios. Additionally, a novel evaluation tool based on the photo-realistic simulator is designed to assess the texture-based attack fairly.
Abstract:Deep neural networks (DNNs) are demonstrated to be vulnerable to universal perturbation, a single quasi-perceptible perturbation that can deceive the DNN on most images. However, the previous works are focused on using universal perturbation to perform adversarial attacks, while the potential usability of universal perturbation as data carriers in data hiding is less explored, especially for the key-controlled data hiding method. In this paper, we propose a novel universal perturbation-based secret key-controlled data-hiding method, realizing data hiding with a single universal perturbation and data decoding with the secret key-controlled decoder. Specifically, we optimize a single universal perturbation, which serves as a data carrier that can hide multiple secret images and be added to most cover images. Then, we devise a secret key-controlled decoder to extract different secret images from the single container image constructed by the universal perturbation by using different secret keys. Moreover, a suppress loss function is proposed to prevent the secret image from leakage. Furthermore, we adopt a robust module to boost the decoder's capability against corruption. Finally, A co-joint optimization strategy is proposed to find the optimal universal perturbation and decoder. Extensive experiments are conducted on different datasets to demonstrate the effectiveness of the proposed method. Additionally, the physical test performed on platforms (e.g., WeChat and Twitter) verifies the usability of the proposed method in practice.
Abstract:Deep neural networks (DNNs) have demonstrated high vulnerability to adversarial examples. Besides the attacks in the digital world, the practical implications of adversarial examples in the physical world present significant challenges and safety concerns. However, current research on physical adversarial examples (PAEs) lacks a comprehensive understanding of their unique characteristics, leading to limited significance and understanding. In this paper, we address this gap by thoroughly examining the characteristics of PAEs within a practical workflow encompassing training, manufacturing, and re-sampling processes. By analyzing the links between physical adversarial attacks, we identify manufacturing and re-sampling as the primary sources of distinct attributes and particularities in PAEs. Leveraging this knowledge, we develop a comprehensive analysis and classification framework for PAEs based on their specific characteristics, covering over 100 studies on physical-world adversarial examples. Furthermore, we investigate defense strategies against PAEs and identify open challenges and opportunities for future research. We aim to provide a fresh, thorough, and systematic understanding of PAEs, thereby promoting the development of robust adversarial learning and its application in open-world scenarios.




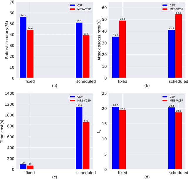
Abstract:Deep neural networks have proven to be vulnerable to adversarial attacks in the form of adding specific perturbations on images to make wrong outputs. Designing stronger adversarial attack methods can help more reliably evaluate the robustness of DNN models. To release the harbor burden and improve the attack performance, auto machine learning (AutoML) has recently emerged as one successful technique to help automatically find the near-optimal adversarial attack strategy. However, existing works about AutoML for adversarial attacks only focus on $L_{\infty}$-norm-based perturbations. In fact, semantic perturbations attract increasing attention due to their naturalnesses and physical realizability. To bridge the gap between AutoML and semantic adversarial attacks, we propose a novel method called multi-objective evolutionary search of variable-length composite semantic perturbations (MES-VCSP). Specifically, we construct the mathematical model of variable-length composite semantic perturbations, which provides five gradient-based semantic attack methods. The same type of perturbation in an attack sequence is allowed to be performed multiple times. Besides, we introduce the multi-objective evolutionary search consisting of NSGA-II and neighborhood search to find near-optimal variable-length attack sequences. Experimental results on CIFAR10 and ImageNet datasets show that compared with existing methods, MES-VCSP can obtain adversarial examples with a higher attack success rate, more naturalness, and less time cost.