Abstract:Over-the-air computation (OAC) enables low-latency aggregation over multiple-access channels (MACs) by exploiting the superposition property of the wireless medium to compute functions efficiently in distributed networks. A critical but often overlooked challenge is that electromagnetic interference in practical radio channels frequently exhibits heavy-tailed behavior, causing strong impulsive noise that severely degrades computation performance. This work studies digital OAC with QAM-based signaling under heavy-tailed interference modeled by a Cauchy distribution (lacking a finite second moment). We seek QAM-like constellations that minimize the mean-squared error (MSE) of sum aggregation subject to an average-power constraint. The problem is formulated as a constrained optimization, whose solution yields unique optimality conditions. Numerical results confirm the effectiveness of the proposed design. Notably, the framework extends naturally to nomographic functions, broader constellation families, and alternative noise models.




Abstract:In this paper, we consider the ChannelComp framework, where multiple transmitters aim to compute a function of their values at a common receiver while using digital modulations over a multiple access channel. ChannelComp provides a general framework for computation by designing digital constellations for over-the-air computation. Currently, ChannelComp uses a symbol-level encoding. However, encoding repeated transmissions of the same symbol and performing the function computation using the corresponding received sequence may significantly improve the computation performance and reduce the encoding complexity. In this paper, we propose a new scheme where each transmitter repeats the transmission of the same symbol over multiple time slots while encoding such repetitions and designing constellation diagrams to minimize computational errors. We formally model such a scheme by an optimization problem, whose solution jointly identifies the constellation diagram and the repetition code. We call the proposed scheme ReMAC. To manage the computational complexity of the optimization, we divide it into two tractable subproblems. We verify the performance of ReMAC by numerical experiments. The simulation results reveal that ReMAC can reduce the computation error in noisy and fading channels by approximately up to 7.5$dB compared to standard ChannelComp, particularly for product functions.




Abstract:Over-the-air computation (AirComp) leverages the signal-superposition characteristic of wireless multiple access channels to perform mathematical computations. Initially introduced to enhance communication reliability in interference channels and wireless sensor networks, AirComp has more recently found applications in task-oriented communications, namely, for wireless distributed learning and in wireless control systems. Its adoption aims to address latency challenges arising from an increased number of edge devices or IoT devices accessing the constrained wireless spectrum. This paper focuses on the physical layer of these systems, specifically on the waveform and the signal processing aspects at the transmitter and receiver to meet the challenges that AirComp presents within the different contexts and use cases.




Abstract:In this paper, we consider the ChannelComp framework, which facilitates the computation of desired functions by multiple transmitters over a common receiver using digital modulations across a multiple access channel. While ChannelComp currently offers a broad framework for computation by designing digital constellations for over-the-air computation and employing symbol-level encoding, encoding the repeated transmissions of the same symbol and using the corresponding received sequence may significantly improve the computation performance and reduce the encoding complexity. In this paper, we propose an enhancement involving the encoding of the repetitive transmission of the same symbol at each transmitter over multiple time slots and the design of constellation diagrams, with the aim of minimizing computational errors. We frame this enhancement as an optimization problem, which jointly identifies the constellation diagram and the channel code for repetition, which we call ReChCompCode. To manage the computational complexity of the optimization, we divide it into two tractable subproblems. Through numerical experiments, we evaluate the performance of ReChCompCode. The simulation results reveal that ReChCompCode can reduce the computation error by approximately up to 30 dB compared to standard ChannelComp, particularly for product functions.

Abstract:In this paper, we investigate the problem of recovering the frequency components of a mixture of $K$ complex sinusoids from a random subset of $N$ equally-spaced time-domain samples. Because of the random subset, the samples are effectively non-uniform. Besides, the frequency values of each of the $K$ complex sinusoids are assumed to vary continuously within a given range. For this problem, we propose a two-step strategy: (i) we first lift the incomplete set of uniform samples (unavailable samples are treated as missing data) into a structured matrix with missing entries, which is potentially low-rank; then (ii) we complete the matrix using a weighted nuclear minimization problem. We call the method a \emph{ weighted lifted-structured (WLi) low-rank matrix recovery}. Our approach can be applied to a range of matrix structures such as Hankel and double-Hankel, among others, and provides improvement over the unweighted existing schemes such as EMaC and DEMaC. We provide theoretical guarantees for the proposed method, as well as numerical simulations in both noiseless and noisy settings. Both the theoretical and the numerical results confirm the superiority of the proposed approach.




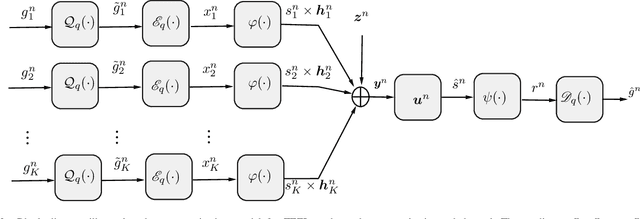
Abstract:In this work, we investigate federated edge learning over a fading multiple access channel. To alleviate the communication burden between the edge devices and the access point, we introduce a pioneering digital over-the-air computation strategy employing q-ary quadrature amplitude modulation, culminating in a low latency communication scheme. Indeed, we propose a new federated edge learning framework in which edge devices use digital modulation for over-the-air uplink transmission to the edge server while they have no access to the channel state information. Furthermore, we incorporate multiple antennas at the edge server to overcome the fading inherent in wireless communication. We analyze the number of antennas required to mitigate the fading impact effectively. We prove a non-asymptotic upper bound for the mean squared error for the proposed federated learning with digital over-the-air uplink transmissions under both noisy and fading conditions. Leveraging the derived upper bound, we characterize the convergence rate of the learning process of a non-convex loss function in terms of the mean square error of gradients due to the fading channel. Furthermore, we substantiate the theoretical assurances through numerical experiments concerning mean square error and the convergence efficacy of the digital federated edge learning framework. Notably, the results demonstrate that augmenting the number of antennas at the edge server and adopting higher-order modulations improve the model accuracy up to 60\%.




Abstract:Over-the-air computation (AirComp) is a well-known technique by which several wireless devices transmit by analog amplitude modulation to achieve a sum of their transmit signals at a common receiver. The underlying physical principle is the superposition property of the radio waves. Since such superposition is analog and in amplitude, it is natural that AirComp uses analog amplitude modulations. Unfortunately, this is impractical because most wireless devices today use digital modulations. It would be highly desirable to use digital communications because of their numerous benefits, such as error correction, synchronization, acquisition of channel state information, and widespread use. However, when we use digital modulations for AirComp, a general belief is that the superposition property of the radio waves returns a meaningless overlapping of the digital signals. In this paper, we break through such beliefs and propose an entirely new digital channel computing method named ChannelComp, which can use digital as well as analog modulations. We propose a feasibility optimization problem that ascertains the optimal modulation for computing arbitrary functions over-the-air. Additionally, we propose pre-coders to adapt existing digital modulation schemes for computing the function over the multiple access channel. The simulation results verify the superior performance of ChannelComp compared to AirComp, particularly for the product functions, with more than 10 dB improvement of the computation error.




Abstract:Over-the-air computation (OAC) is a promising wireless communication method for aggregating data from many devices in dense wireless networks. The fundamental idea of OAC is to exploit signal superposition to compute functions of multiple simultaneously transmitted signals. However, the time- and phase-alignment of these superimposed signals have a significant effect on the quality of function computation. In this study, we analyze the OAC problem for a system with unknown random time delays and phase shifts. We show that the classical matched filter does not produce optimal results, and generates bias in the function estimates. To counteract this, we propose a new filter design and show that, under a bound on the maximum time delay, it is possible to achieve unbiased function computation. Additionally, we propose a Tikhonov regularization problem that produces an optimal filter given a tradeoff between the bias and noise-induced variance of the function estimates. When the time delays are long compared to the length of the transmitted pulses, our filter vastly outperforms the matched filter both in terms of bias and mean-squared error (MSE). For shorter time delays, our proposal yields similar MSE as the matched filter, while reducing the bias.




Abstract:We consider the problem of gridless blind deconvolution and demixing (GB2D) in scenarios where multiple users communicate messages through multiple unknown channels, and a single base station (BS) collects their contributions. This scenario arises in various communication fields, including wireless communications, the Internet of Things, over-the-air computation, and integrated sensing and communications. In this setup, each user's message is convolved with a multi-path channel formed by several scaled and delayed copies of Dirac spikes. The BS receives a linear combination of the convolved signals, and the goal is to recover the unknown amplitudes, continuous-indexed delays, and transmitted waveforms from a compressed vector of measurements at the BS. However, in the absence of any prior knowledge of the transmitted messages and channels, GB2D is highly challenging and intractable in general. To address this issue, we assume that each user's message follows a distinct modulation scheme living in a known low-dimensional subspace. By exploiting these subspace assumptions and the sparsity of the multipath channels for different users, we transform the nonlinear GB2D problem into a matrix tuple recovery problem from a few linear measurements. To achieve this, we propose a semidefinite programming optimization that exploits the specific low-dimensional structure of the matrix tuple to recover the messages and continuous delays of different communication paths from a single received signal at the BS. Finally, our numerical experiments show that our proposed method effectively recovers all transmitted messages and the continuous delay parameters of the channels with a sufficient number of samples.




Abstract:Resource allocation and multiple access schemes are instrumental for the success of communication networks, which facilitate seamless wireless connectivity among a growing population of uncoordinated and non-synchronized users. In this paper, we present a novel random access scheme that addresses one of the most severe barriers of current strategies to achieve massive connectivity and ultra-reliable and low latency communications for 6G. The proposed scheme utilizes wireless channels' angular continuous group-sparsity feature to provide low latency, high reliability, and massive access features in the face of limited time-bandwidth resources, asynchronous transmissions, and preamble errors. Specifically, a reconstruction-free goal-oriented optimization problem is proposed, which preserves the angular information of active devices and is then complemented by a clustering algorithm to assign active users to specific groups. This allows us to identify active stationary devices according to their line of sight angles. Additionally, for mobile devices, an alternating minimization algorithm is proposed to recover their preamble, data, and channel gains simultaneously, enabling the identification of active mobile users. Simulation results show that the proposed algorithm provides excellent performance and supports a massive number of devices. Moreover, the performance of the proposed scheme is independent of the total number of devices, distinguishing it from other random access schemes. The proposed method provides a unified solution to meet the requirements of machine-type communications and ultra-reliable and low-latency communications, making it an important contribution to the emerging 6G networks.