



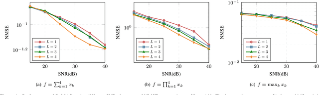
In this paper, we consider the ChannelComp framework, where multiple transmitters aim to compute a function of their values at a common receiver while using digital modulations over a multiple access channel. ChannelComp provides a general framework for computation by designing digital constellations for over-the-air computation. Currently, ChannelComp uses a symbol-level encoding. However, encoding repeated transmissions of the same symbol and performing the function computation using the corresponding received sequence may significantly improve the computation performance and reduce the encoding complexity. In this paper, we propose a new scheme where each transmitter repeats the transmission of the same symbol over multiple time slots while encoding such repetitions and designing constellation diagrams to minimize computational errors. We formally model such a scheme by an optimization problem, whose solution jointly identifies the constellation diagram and the repetition code. We call the proposed scheme ReMAC. To manage the computational complexity of the optimization, we divide it into two tractable subproblems. We verify the performance of ReMAC by numerical experiments. The simulation results reveal that ReMAC can reduce the computation error in noisy and fading channels by approximately up to 7.5$dB compared to standard ChannelComp, particularly for product functions.