



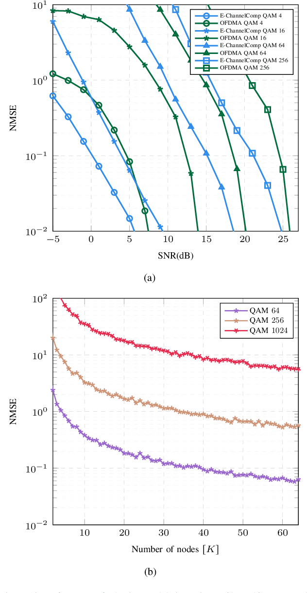
Abstract:In this work, we investigate federated edge learning over a fading multiple access channel. To alleviate the communication burden between the edge devices and the access point, we introduce a pioneering digital over-the-air computation strategy employing q-ary quadrature amplitude modulation, culminating in a low latency communication scheme. Indeed, we propose a new federated edge learning framework in which edge devices use digital modulation for over-the-air uplink transmission to the edge server while they have no access to the channel state information. Furthermore, we incorporate multiple antennas at the edge server to overcome the fading inherent in wireless communication. We analyze the number of antennas required to mitigate the fading impact effectively. We prove a non-asymptotic upper bound for the mean squared error for the proposed federated learning with digital over-the-air uplink transmissions under both noisy and fading conditions. Leveraging the derived upper bound, we characterize the convergence rate of the learning process of a non-convex loss function in terms of the mean square error of gradients due to the fading channel. Furthermore, we substantiate the theoretical assurances through numerical experiments concerning mean square error and the convergence efficacy of the digital federated edge learning framework. Notably, the results demonstrate that augmenting the number of antennas at the edge server and adopting higher-order modulations improve the model accuracy up to 60\%.




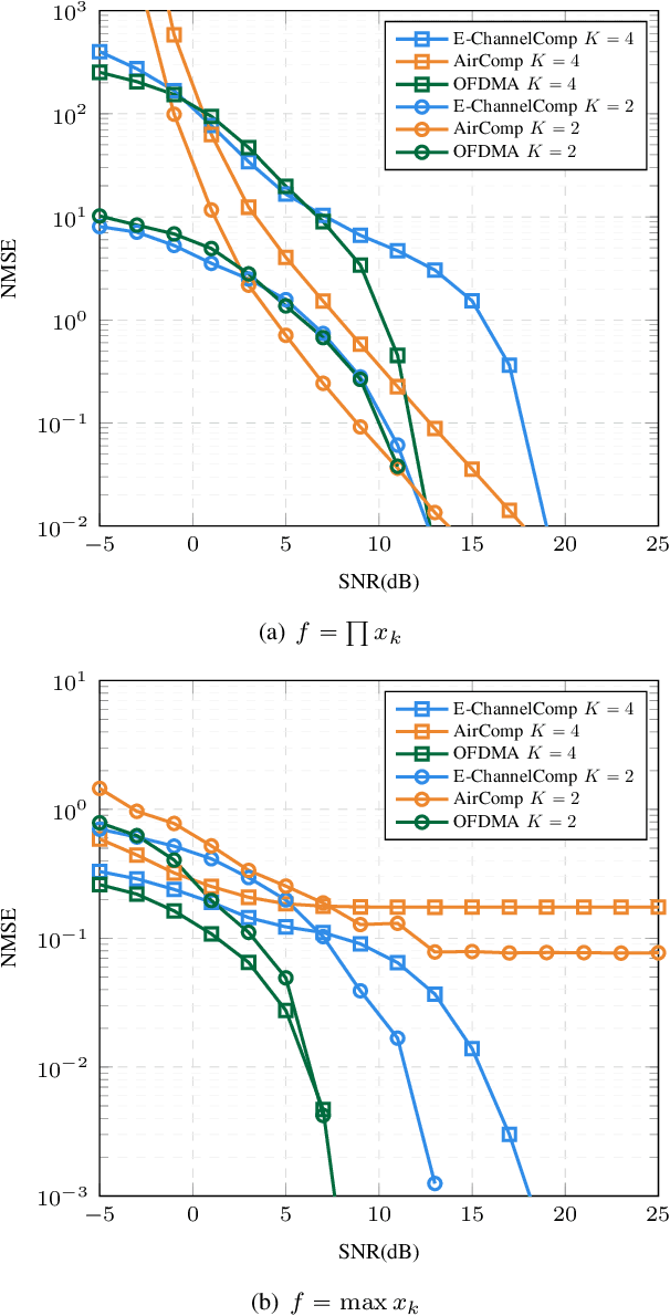
Abstract:Over-the-air computation (AirComp) is a well-known technique by which several wireless devices transmit by analog amplitude modulation to achieve a sum of their transmit signals at a common receiver. The underlying physical principle is the superposition property of the radio waves. Since such superposition is analog and in amplitude, it is natural that AirComp uses analog amplitude modulations. Unfortunately, this is impractical because most wireless devices today use digital modulations. It would be highly desirable to use digital communications because of their numerous benefits, such as error correction, synchronization, acquisition of channel state information, and widespread use. However, when we use digital modulations for AirComp, a general belief is that the superposition property of the radio waves returns a meaningless overlapping of the digital signals. In this paper, we break through such beliefs and propose an entirely new digital channel computing method named ChannelComp, which can use digital as well as analog modulations. We propose a feasibility optimization problem that ascertains the optimal modulation for computing arbitrary functions over-the-air. Additionally, we propose pre-coders to adapt existing digital modulation schemes for computing the function over the multiple access channel. The simulation results verify the superior performance of ChannelComp compared to AirComp, particularly for the product functions, with more than 10 dB improvement of the computation error.


Abstract:Federated Learning (FL) plays a prominent role in solving machine learning problems with data distributed across clients. In FL, to reduce the communication overhead of data between clients and the server, each client communicates the local FL parameters instead of the local data. However, when a wireless network connects clients and the server, the communication resource limitations of the clients may prevent completing the training of the FL iterations. Therefore, communication-efficient variants of FL have been widely investigated. Lazily Aggregated Quantized Gradient (LAQ) is one of the promising communication-efficient approaches to lower resource usage in FL. However, LAQ assigns a fixed number of bits for all iterations, which may be communication-inefficient when the number of iterations is medium to high or convergence is approaching. This paper proposes Adaptive Lazily Aggregated Quantized Gradient (A-LAQ), which is a method that significantly extends LAQ by assigning an adaptive number of communication bits during the FL iterations. We train FL in an energy-constraint condition and investigate the convergence analysis for A-LAQ. The experimental results highlight that A-LAQ outperforms LAQ by up to a $50$% reduction in spent communication energy and an $11$% increase in test accuracy.




Abstract:This paper investigates efficient distributed training of a Federated Learning~(FL) model over a wireless network of wireless devices. The communication iterations of the distributed training algorithm may be substantially deteriorated or even blocked by the effects of the devices' background traffic, packet losses, congestion, or latency. We abstract the communication-computation impacts as an `iteration cost' and propose a cost-aware causal FL algorithm~(FedCau) to tackle this problem. We propose an iteration-termination method that trade-offs the training performance and networking costs. We apply our approach when clients use the slotted-ALOHA, the carrier-sense multiple access with collision avoidance~(CSMA/CA), and the orthogonal frequency-division multiple access~(OFDMA) protocols. We show that, given a total cost budget, the training performance degrades as either the background communication traffic or the dimension of the training problem increases. Our results demonstrate the importance of proactively designing optimal cost-efficient stopping criteria to avoid unnecessary communication-computation costs to achieve only a marginal FL training improvement. We validate our method by training and testing FL over the MNIST dataset. Finally, we apply our approach to existing communication efficient FL methods from the literature, achieving further efficiency. We conclude that cost-efficient stopping criteria are essential for the success of practical FL over wireless networks.