Abstract:In this paper, we extend our previous work on the Expressive Neural Network (ENN), a multilayer perceptron with adaptive activation functions parametrized using the Discrete Cosine Transform (DCT). Building upon previous work that demonstrated the strong expressiveness of ENNs with compact architectures, we now emphasize their efficiency, interpretability and pruning capabilities. The DCT-based parameterization provides a structured and decorrelated representation that reveals the functional role of each neuron and allows direct identification of redundant components. Leveraging this property, we propose an efficient pruning strategy that removes unnecessary DCT coefficients with negligible or no loss in performance. Experimental results across classification and implicit neural representation tasks confirm that ENNs achieve state-of-the-art accuracy while maintaining a low number of parameters. Furthermore, up to 40% of the activation coefficients can be safely pruned, thanks to the orthogonality and bounded nature of the DCT basis. Overall, these findings demonstrate that the ENN framework offers a principled integration of signal processing concepts into neural network design, achieving a balanced trade-off between expressiveness, compactness, and interpretability.


Abstract:This paper utilizes the properties of type-based multiple access (TBMA) to investigate its effectiveness as a robust approach for over-the-air computation (AirComp) in the presence of Byzantine attacks, this is, adversarial strategies where malicious nodes intentionally distort their transmissions to corrupt the aggregated result. Unlike classical direct aggregation (DA) AirComp, which aggregates data in the amplitude of the signals and are highly vulnerable to attacks, TBMA distributes data over multiple radio resources, enabling the receiver to construct a histogram representation of the transmitted data. This structure allows the integration of classical robust estimators and supports the computation of diverse functions beyond the arithmetic mean, which is not feasible with DA. Through extensive simulations, we demonstrate that robust TBMA significantly outperforms DA, maintaining high accuracy even under adversarial conditions, and showcases its applicability in federated learning (FEEL) scenarios. Additionally, TBMA reduces channel state information (CSI) requirements, lowers energy consumption, and enhances resiliency by leveraging the diversity of the transmitted data. These results establish TBMA as a scalable and robust solution for AirComp, paving the way for secure and efficient aggregation in next-generation networks.
Abstract:This paper proposes a novel split learning architecture designed to exploit the cyclical movement of Low Earth Orbit (LEO) satellites in non-terrestrial networks (NTNs). Although existing research focuses on offloading tasks to the NTN infrastructure, these approaches overlook the dynamic movement patterns of LEO satellites that can be used to efficiently distribute the learning task. In this work, we analyze how LEO satellites, from the perspective of ground terminals, can participate in a time-window-based model training. By splitting the model between a LEO and a ground terminal, the computational burden on the satellite segment is reduced, while each LEO satellite offloads the partially trained model to the next satellite in the constellation. This cyclical training process allows larger and more energy-intensive models to be deployed and trained across multiple LEO satellites, despite their limited energy resources. We formulate an optimization problem that manages radio and processing resources, ensuring the entire data is processed during each satellite pass while minimizing the energy consumption. Our results demonstrate that this approach offers a more scalable and energy-efficient way to train complex models, enhancing the capabilities of LEO satellite constellations in the context of Artificial Intelligence-driven applications.


Abstract:Chaotic signals offer promising characteristics for wireless communications due to their wideband nature, low cross-correlation, and sensitivity to initial conditions. Although classical chaotic modulation schemes like Chaos Shift Keying (CSK) can theoretically match the performance of traditional modulation techniques (i.e., bit error rate), practical challenges, such as the difficulty in generating accurate signal replicas at the receiver, limit their effectiveness. Besides, chaotic signals are often considered unpredictable despite their deterministic nature. In this paper, we challenge this view by introducing a novel modulation scheme for chaotic communications that leverages the deterministic behavior of chaotic signals. The proposed approach eliminates the need for synchronized replicas of transmitted waveforms at the receiver. Moreover, to enhance noise robustness, we employ M-ary Frequency Shift Keying (FSK) modulation on the chaotic samples. Experimental results show that the proposed scheme significantly outperforms CSK when perfect replicas are unavailable, with the best performance achieved for low-order modulations, and resulting in minimal delay increase.

Abstract:In the context of task-oriented communications we advocate the development of waveforms for Federated Edge Learning (FEEL). Over-the-air computing (AirComp) has emerged as a communication scheme that allows to compute a function out of distributed data and can be applied to FEEL. However, the design of modulations for AirComp is still in its infancy and most of the literature ignores this topic. In this work we employ frequency modulation (FM) and type based multiple access (TMBA) for FEEL and demonstrate its advantages with respect to the state of the art in terms of convergence and peak-to-average power ratio (PAPR).




Abstract:Over-the-air computation (AirComp) leverages the signal-superposition characteristic of wireless multiple access channels to perform mathematical computations. Initially introduced to enhance communication reliability in interference channels and wireless sensor networks, AirComp has more recently found applications in task-oriented communications, namely, for wireless distributed learning and in wireless control systems. Its adoption aims to address latency challenges arising from an increased number of edge devices or IoT devices accessing the constrained wireless spectrum. This paper focuses on the physical layer of these systems, specifically on the waveform and the signal processing aspects at the transmitter and receiver to meet the challenges that AirComp presents within the different contexts and use cases.




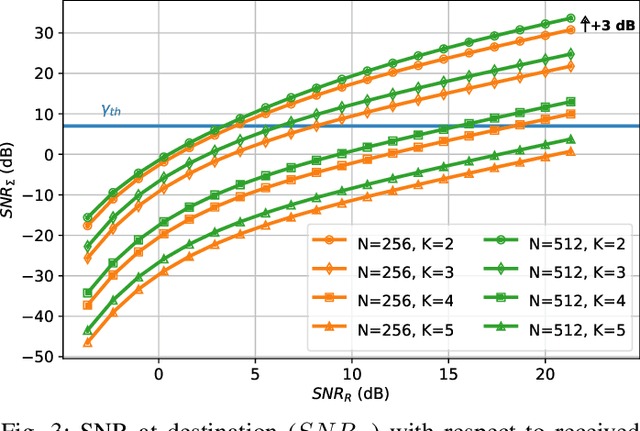
Abstract:In this study we introduce Logarithmic Frequency Shift Keying (Log-FSK), a novel frequency modulation for over-the-air computing (AirComp). Log-FSK leverages non-linear signal processing to produce AirComp in the frequency domain, this is, the maximum frequency of the received signal corresponds to the sum of the individual transmitted frequencies. The demodulation procedure relies on the inverse Discrete Cosine Transform (DCT) and the extraction of the maximum frequency component. We provide the theoretical performance in terms of error probability and mean squared error. To demonstrate its practicality, we present specific applications and experimental results showcasing the effectiveness of Log-FSK AirComp within linear Wireless Sensor Networks (WSN). Our experiments show that Log-FSK outperforms linear AirComp, implemented with double sideband (DSB), when working above the threshold SNR.




Abstract:This paper studies the cosine as basis function for the approximation of univariate and continuous functions without memory. This work studies a supervised learning to obtain the approximation coefficients, instead of using the Discrete Cosine Transform (DCT). Due to the finite dynamics and orthogonality of the cosine basis functions, simple gradient algorithms, such as the Normalized Least Mean Squares (NLMS), can benefit from it and present a controlled and predictable convergence time and error misadjustment. Due to its simplicity, the proposed technique ranks as the best in terms of learning quality versus complexity, and it is presented as an attractive technique to be used in more complex supervised learning systems. Simulations illustrate the performance of the approach. This paper celebrates the 50th anniversary of the publication of the DCT by Nasir Ahmed in 1973.




Abstract:We design a task-oriented communication design for Split learning (SL). Specifically, we propose to use a variant of the Long Range (LoRa) modulation and an orthogonal chirp division multiplexing (OCDM) access scheme. As we implement an Expressive Neural Network (ENN), this is, an architecture with adaptive activation functions (AAF), the modulation is also suited for the computing side of the problem. The cosine nature of the modulation matches the Discrete Cosine Transform (DCT) model used to implement the AAFs. We also propose a variant of the waveform to control the transmission bandwidth. Our results show that scheme achieves high accuracy up to -15 dB in the presence of additive white Gaussian noise (AWGN), and up to -12.5 dB in the case of Rayleigh fading.




Abstract:The expressiveness of neural networks highly depends on the nature of the activation function, although these are usually assumed predefined and fixed during the training stage. In this paper we present Expressive Neural Network (ENN), a novel architecture in which the non-linear activation functions are modeled using the Discrete Cosine Transform (DCT) and adapted using backpropagation during training. This parametrization keeps the number of trainable parameters low, is appropriate for gradient-based schemes, and adapts to different learning tasks. This is the first non-linear model for activation functions that relies on a signal processing perspective, providing high flexibility and expressiveness to the network. We contribute with insights in the explainability of the network at convergence by recovering the concept of bump, this is, the response of each activation function in the output space to provide insights. Finally, through exhaustive experiments we show that the model can adapt to classification and regression tasks. The performance of ENN outperforms state of the art benchmarks, providing up to a 40\% gap in accuracy in some scenarios.