

Abstract:When a system's constraints change abruptly, the system's reachability safety does no longer sustain. Thus, the system can reach a forbidden/dangerous value. Conventional remedy practically involves online controller redesign (OCR) to re-establish the reachability's compliance with the new constraints, which, however, is usually too slow. There is a need for an online strategy capable of managing runtime changes in reachability constraints. However, to the best of the authors' knowledge, this topic has not been addressed in the existing literature. In this paper, we propose a fast fault tolerance strategy to recover the system's reachability safety in runtime. Instead of redesigning the system's controller, we propose to change the system's reference state to modify the system's reachability to comply with the new constraints. We frame the reference state search as an optimization problem and employ the Karush-Kuhn-Tucker (KKT) method as well as the Interior Point Method (IPM) based Newton's method (as a fallback for the KKT method) for fast solution derivation. The optimization also allows more future fault tolerance. Numerical simulations demonstrate that our method outperforms the conventional OCR method in terms of computational efficiency and success rate. Specifically, the results show that the proposed method finds a solution $10^{2}$ (with the IPM based Newton's method) $\sim 10^{4}$ (with the KKT method) times faster than the OCR method. Additionally, the improvement rate of the success rate of our method over the OCR method is $40.81\%$ without considering the deadline of run time. The success rate remains at $49.44\%$ for the proposed method, while it becomes $0\%$ for the OCR method when a deadline of $1.5 \; seconds$ is imposed.




Abstract:Reinforcement Learning (RL) has gained significant attention across various domains. However, the increasing complexity of RL programs presents testing challenges, particularly the oracle problem: defining the correctness of the RL program. Conventional human oracles struggle to cope with the complexity, leading to inefficiencies and potential unreliability in RL testing. To alleviate this problem, we propose an automated oracle approach that leverages RL properties using fuzzy logic. Our oracle quantifies an agent's behavioral compliance with reward policies and analyzes its trend over training episodes. It labels an RL program as "Buggy" if the compliance trend violates expectations derived from RL characteristics. We evaluate our oracle on RL programs with varying complexities and compare it with human oracles. Results show that while human oracles perform well in simpler testing scenarios, our fuzzy oracle demonstrates superior performance in complex environments. The proposed approach shows promise in addressing the oracle problem for RL testing, particularly in complex cases where manual testing falls short. It offers a potential solution to improve the efficiency, reliability, and scalability of RL program testing. This research takes a step towards automated testing of RL programs and highlights the potential of fuzzy logic-based oracles in tackling the oracle problem.




Abstract:Purely data-driven deep neural networks (DNNs) applied to physical engineering systems can infer relations that violate physics laws, thus leading to unexpected consequences. To address this challenge, we propose a physics-model-based DNN framework, called Phy-Taylor, that accelerates learning compliant representations with physical knowledge. The Phy-Taylor framework makes two key contributions; it introduces a new architectural Physics-compatible neural network (PhN), and features a novel compliance mechanism, we call {\em Physics-guided Neural Network Editing\/}. The PhN aims to directly capture nonlinearities inspired by physical quantities, such as kinetic energy, potential energy, electrical power, and aerodynamic drag force. To do so, the PhN augments neural network layers with two key components: (i) monomials of Taylor series expansion of nonlinear functions capturing physical knowledge, and (ii) a suppressor for mitigating the influence of noise. The neural-network editing mechanism further modifies network links and activation functions consistently with physical knowledge. As an extension, we also propose a self-correcting Phy-Taylor framework that introduces two additional capabilities: (i) physics-model-based safety relationship learning, and (ii) automatic output correction when violations of safety occur. Through experiments, we show that (by expressing hard-to-learn nonlinearities directly and by constraining dependencies) Phy-Taylor features considerably fewer parameters, and a remarkably accelerated training process, while offering enhanced model robustness and accuracy.




Abstract:At present, supervised stereo methods based on deep neural network have achieved impressive results. However, in some scenarios, accurate three-dimensional labels are inaccessible for supervised training. In this paper, a self-supervised network is proposed for binocular disparity matching (SDMNet), which computes dense disparity maps from stereo image pairs without disparity labels: In the self-supervised training, we match the stereo images densely to approximate the disparity maps and use them to warp the left and right images to estimate the right and left images; we build the loss function between estimated images and original images for self-supervised training, which adopts perceptual loss to help improve the quality of disparity maps in both detail and structure. Then, we use SDMNet to obtain disparities of hand vein. SDMNet has achieved excellent results on KITTI 2012, KITTI 2015, simulated vein dataset and real vein dataset, outperforming many state-of-the-art supervised matching methods.




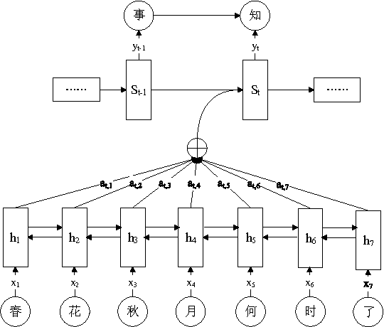
Abstract:Learning and generating Chinese poems is a charming yet challenging task. Traditional approaches involve various language modeling and machine translation techniques, however, they perform not as well when generating poems with complex pattern constraints, for example Song iambics, a famous type of poems that involve variable-length sentences and strict rhythmic patterns. This paper applies the attention-based sequence-to-sequence model to generate Chinese Song iambics. Specifically, we encode the cue sentences by a bi-directional Long-Short Term Memory (LSTM) model and then predict the entire iambic with the information provided by the encoder, in the form of an attention-based LSTM that can regularize the generation process by the fine structure of the input cues. Several techniques are investigated to improve the model, including global context integration, hybrid style training, character vector initialization and adaptation. Both the automatic and subjective evaluation results show that our model indeed can learn the complex structural and rhythmic patterns of Song iambics, and the generation is rather successful.




Abstract:Recent progress in neural learning demonstrated that machines can do well in regularized tasks, e.g., the game of Go. However, artistic activities such as poem generation are still widely regarded as human's special capability. In this paper, we demonstrate that a simple neural model can imitate human in some tasks of art generation. We particularly focus on traditional Chinese poetry, and show that machines can do as well as many contemporary poets and weakly pass the Feigenbaum Test, a variant of Turing test in professional domains. Our method is based on an attention-based recurrent neural network, which accepts a set of keywords as the theme and generates poems by looking at each keyword during the generation. A number of techniques are proposed to improve the model, including character vector initialization, attention to input and hybrid-style training. Compared to existing poetry generation methods, our model can generate much more theme-consistent and semantic-rich poems.