



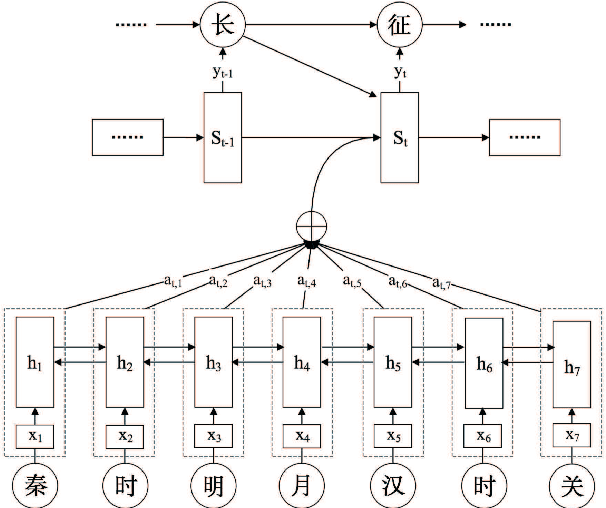
Recent progress in neural learning demonstrated that machines can do well in regularized tasks, e.g., the game of Go. However, artistic activities such as poem generation are still widely regarded as human's special capability. In this paper, we demonstrate that a simple neural model can imitate human in some tasks of art generation. We particularly focus on traditional Chinese poetry, and show that machines can do as well as many contemporary poets and weakly pass the Feigenbaum Test, a variant of Turing test in professional domains. Our method is based on an attention-based recurrent neural network, which accepts a set of keywords as the theme and generates poems by looking at each keyword during the generation. A number of techniques are proposed to improve the model, including character vector initialization, attention to input and hybrid-style training. Compared to existing poetry generation methods, our model can generate much more theme-consistent and semantic-rich poems.