Abstract:Nonnegative matrix factorization (NMF) is a popular data embedding technique. Given a nonnegative data matrix $X$, it aims at finding two lower dimensional matrices, $W$ and $H$, such that $X\approx WH$, where the factors $W$ and $H$ are constrained to be element-wise nonnegative. The factor $W$ serves as a basis for the columns of $X$. In order to obtain more interpretable and unique solutions, minimum-volume NMF (MinVol NMF) minimizes the volume of $W$. In this paper, we consider the dual approach, where the volume of $H$ is maximized instead; this is referred to as maximum-volume NMF (MaxVol NMF). MaxVol NMF is identifiable under the same conditions as MinVol NMF in the noiseless case, but it behaves rather differently in the presence of noise. In practice, MaxVol NMF is much more effective to extract a sparse decomposition and does not generate rank-deficient solutions. In fact, we prove that the solutions of MaxVol NMF with the largest volume correspond to clustering the columns of $X$ in disjoint clusters, while the solutions of MinVol NMF with smallest volume are rank deficient. We propose two algorithms to solve MaxVol NMF. We also present a normalized variant of MaxVol NMF that exhibits better performance than MinVol NMF and MaxVol NMF, and can be interpreted as a continuum between standard NMF and orthogonal NMF. We illustrate our results in the context of hyperspectral unmixing.
Abstract:Community detection is a fundamental task in data analysis. Block models form a standard approach to partition nodes according to a graph model, facilitating the analysis and interpretation of the network structure. By grouping nodes with similar connection patterns, they enable the identification of a wide variety of underlying structures. The degree-corrected block model (DCBM) is an established model that accounts for the heterogeneity of node degrees. However, existing inference methods for the DCBM are heuristics that are highly sensitive to initialization, typically done randomly. In this work, we show that DCBM inference can be reformulated as a constrained nonnegative matrix factorization problem. Leveraging this insight, we propose a novel method for community detection and a theoretically well-grounded initialization strategy that provides an initial estimate of communities for inference algorithms. Our approach is agnostic to any specific network structure and applies to graphs with any structure representable by a DCBM, not only assortative ones. Experiments on synthetic and real benchmark networks show that our method detects communities comparable to those found by DCBM inference, while scaling linearly with the number of edges and communities; for instance, it processes a graph with 100,000 nodes and 2,000,000 edges in approximately 4 minutes. Moreover, the proposed initialization strategy significantly improves solution quality and reduces the number of iterations required by all tested inference algorithms. Overall, this work provides a scalable and robust framework for community detection and highlights the benefits of a matrix-factorization perspective for the DCBM.




Abstract:Nonnegative matrix factorization (NMF) is a linear dimensionality reduction technique for nonnegative data, with applications such as hyperspectral unmixing and topic modeling. NMF is a difficult problem in general (NP-hard), and its solutions are typically not unique. To address these two issues, additional constraints or assumptions are often used. In particular, separability assumes that the basis vectors in the NMF are equal to some columns of the input matrix. In that case, the problem is referred to as separable NMF (SNMF) and can be solved in polynomial-time with robustness guarantees, while identifying a unique solution. However, in real-world scenarios, due to noise or variability, multiple data points may lie near the basis vectors, which SNMF does not leverage. In this work, we rely on the smooth separability assumption, which assumes that each basis vector is close to multiple data points. We explore the properties of the corresponding problem, referred to as smooth SNMF (SSNMF), and examine how it relates to SNMF and orthogonal NMF. We then propose a convex model for SSNMF and show that it provably recovers the sought-after factors, even in the presence of noise. We finally adapt an existing fast gradient method to solve this convex model for SSNMF, and show that it compares favorably with state-of-the-art methods on both synthetic and hyperspectral datasets.
Abstract:Minimum-volume nonnegative matrix factorization (min-vol NMF) has been used successfully in many applications, such as hyperspectral imaging, chemical kinetics, spectroscopy, topic modeling, and audio source separation. However, its robustness to noise has been a long-standing open problem. In this paper, we prove that min-vol NMF identifies the groundtruth factors in the presence of noise under a condition referred to as the expanded sufficiently scattered condition which requires the data points to be sufficiently well scattered in the latent simplex generated by the basis vectors.



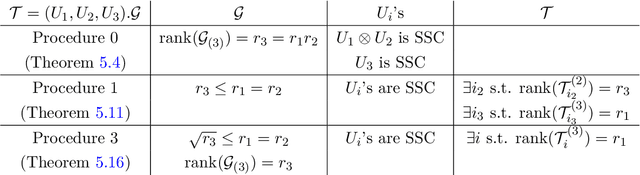
Abstract:Tensor decompositions have become a central tool in data science, with applications in areas such as data analysis, signal processing, and machine learning. A key property of many tensor decompositions, such as the canonical polyadic decomposition, is identifiability: the factors are unique, up to trivial scaling and permutation ambiguities. This allows one to recover the groundtruth sources that generated the data. The Tucker decomposition (TD) is a central and widely used tensor decomposition model. However, it is in general not identifiable. In this paper, we study the identifiability of the nonnegative TD (nTD). By adapting and extending identifiability results of nonnegative matrix factorization (NMF), we provide uniqueness results for nTD. Our results require the nonnegative matrix factors to have some degree of sparsity (namely, satisfy the separability condition, or the sufficiently scattered condition), while the core tensor only needs to have some slices (or linear combinations of them) or unfoldings with full column rank (but does not need to be nonnegative). Under such conditions, we derive several procedures, using either unfoldings or slices of the input tensor, to obtain identifiable nTDs by minimizing the volume of unfoldings or slices of the core tensor.




Abstract:The Hadamard decomposition is a powerful technique for data analysis and matrix compression, which decomposes a given matrix into the element-wise product of two or more low-rank matrices. In this paper, we develop an efficient algorithm to solve this problem, leveraging an alternating optimization approach that decomposes the global non-convex problem into a series of convex sub-problems. To improve performance, we explore advanced initialization strategies inspired by the singular value decomposition (SVD) and incorporate acceleration techniques by introducing momentum-based updates. Beyond optimizing the two-matrix case, we also extend the Hadamard decomposition framework to support more than two low-rank matrices, enabling approximations with higher effective ranks while preserving computational efficiency. Finally, we conduct extensive experiments to compare our method with the existing gradient descent-based approaches for the Hadamard decomposition and with traditional low-rank approximation techniques. The results highlight the effectiveness of our proposed method across diverse datasets.




Abstract:Nonlinear matrix decomposition (NMD) with the ReLU function, denoted ReLU-NMD, is the following problem: given a sparse, nonnegative matrix $X$ and a factorization rank $r$, identify a rank-$r$ matrix $\Theta$ such that $X\approx \max(0,\Theta)$. This decomposition finds application in data compression, matrix completion with entries missing not at random, and manifold learning. The standard ReLU-NMD model minimizes the least squares error, that is, $\|X - \max(0,\Theta)\|_F^2$. The corresponding optimization problem is nondifferentiable and highly nonconvex. This motivated Saul to propose an alternative model, Latent-ReLU-NMD, where a latent variable $Z$ is introduced and satisfies $\max(0,Z)=X$ while minimizing $\|Z - \Theta\|_F^2$ (``A nonlinear matrix decomposition for mining the zeros of sparse data'', SIAM J. Math. Data Sci., 2022). Our first contribution is to show that the two formulations may yield different low-rank solutions $\Theta$; in particular, we show that Latent-ReLU-NMD can be ill-posed when ReLU-NMD is not, meaning that there are instances in which the infimum of Latent-ReLU-NMD is not attained while that of ReLU-NMD is. We also consider another alternative model, called 3B-ReLU-NMD, which parameterizes $\Theta=WH$, where $W$ has $r$ columns and $H$ has $r$ rows, allowing one to get rid of the rank constraint in Latent-ReLU-NMD. Our second contribution is to prove the convergence of a block coordinate descent (BCD) applied to 3B-ReLU-NMD and referred to as BCD-NMD. Our third contribution is a novel extrapolated variant of BCD-NMD, dubbed eBCD-NMD, which we prove is also convergent under mild assumptions. We illustrate the significant acceleration effect of eBCD-NMD compared to BCD-NMD, and also show that eBCD-NMD performs well against the state of the art on synthetic and real-world data sets.




Abstract:The successive projection algorithm (SPA) is a workhorse algorithm to learn the $r$ vertices of the convex hull of a set of $(r-1)$-dimensional data points, a.k.a. a latent simplex, which has numerous applications in data science. In this paper, we revisit the robustness to noise of SPA and several of its variants. In particular, when $r \geq 3$, we prove the tightness of the existing error bounds for SPA and for two more robust preconditioned variants of SPA. We also provide significantly improved error bounds for SPA, by a factor proportional to the conditioning of the $r$ vertices, in two special cases: for the first extracted vertex, and when $r \leq 2$. We then provide further improvements for the error bounds of a translated version of SPA proposed by Arora et al. (''A practical algorithm for topic modeling with provable guarantees'', ICML, 2013) in two special cases: for the first two extracted vertices, and when $r \leq 3$. Finally, we propose a new more robust variant of SPA that first shifts and lifts the data points in order to minimize the conditioning of the problem. We illustrate our results on synthetic data.




Abstract:Orthogonal nonnegative matrix factorization (ONMF) has become a standard approach for clustering. As far as we know, most works on ONMF rely on the Frobenius norm to assess the quality of the approximation. This paper presents a new model and algorithm for ONMF that minimizes the Kullback-Leibler (KL) divergence. As opposed to the Frobenius norm which assumes Gaussian noise, the KL divergence is the maximum likelihood estimator for Poisson-distributed data, which can model better vectors of word counts in document data sets and photo counting processes in imaging. We have developed an algorithm based on alternating optimization, KL-ONMF, and show that it performs favorably with the Frobenius-norm based ONMF for document classification and hyperspectral image unmixing.




Abstract:Simplex-structured matrix factorization (SSMF) is a generalization of nonnegative matrix factorization, a fundamental interpretable data analysis model, and has applications in hyperspectral unmixing and topic modeling. To obtain identifiable solutions, a standard approach is to find minimum-volume solutions. By taking advantage of the duality/polarity concept for polytopes, we convert minimum-volume SSMF in the primal space to a maximum-volume problem in the dual space. We first prove the identifiability of this maximum-volume dual problem. Then, we use this dual formulation to provide a novel optimization approach which bridges the gap between two existing families of algorithms for SSMF, namely volume minimization and facet identification. Numerical experiments show that the proposed approach performs favorably compared to the state-of-the-art SSMF algorithms.