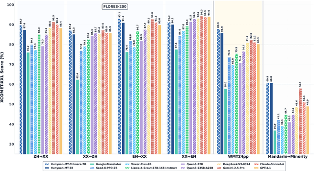
Abstract:In this report, we introduce Hunyuan-MT-7B, our first open-source multilingual translation model, which supports bidirectional translation across 33 major languages and places a special emphasis on translation between Mandarin and several ethnic minority languages as well as dialects. Furthermore, to serve and address diverse translation scenarios and enhance model performance at test time, we introduce Hunyuan-MT-Chimera-7B, a translation model inspired by the slow thinking mode. This model integrates multiple outputs generated by the Hunyuan-MT-7B model under varying parameter settings, thereby achieving performance superior to that of conventional slow-thinking models based on Chain-of-Thought (CoT). The development of our models follows a holistic training process specifically engineered for multilingual translation, which begins with general and MT-oriented pre-training to build foundational capabilities, proceeds to Supervised Fine-Tuning (SFT) for task-specific adaptation, and culminates in advanced alignment through Reinforcement Learning (RL) and weak-to-strong RL. Through comprehensive experimentation, we demonstrate that both Hunyuan-MT-7B and Hunyuan-MT-Chimera-7B significantly outperform all translation-specific models of comparable parameter size and most of the SOTA large models, particularly on the task of translation between Mandarin and minority languages as well as dialects. In the WMT2025 shared task (General Machine Translation), our models demonstrate state-of-the-art performance, ranking first in 30 out of 31 language pairs. This result highlights the robustness of our models across a diverse linguistic spectrum, encompassing high-resource languages such as Chinese, English, and Japanese, as well as low-resource languages including Czech, Marathi, Estonian, and Icelandic.
Abstract:Recently, deep reasoning large language models(LLMs) like DeepSeek-R1 have made significant progress in tasks such as mathematics and coding. Inspired by this, several studies have employed reinforcement learning(RL) to enhance models' deep reasoning capabilities and improve machine translation(MT) quality. However, the terminology translation, an essential task in MT, remains unexplored in deep reasoning LLMs. In this paper, we propose \textbf{TAT-R1}, a terminology-aware translation model trained with reinforcement learning and word alignment. Specifically, we first extract the keyword translation pairs using a word alignment model. Then we carefully design three types of rule-based alignment rewards with the extracted alignment relationships. With those alignment rewards, the RL-trained translation model can learn to focus on the accurate translation of key information, including terminology in the source text. Experimental results show the effectiveness of TAT-R1. Our model significantly improves terminology translation accuracy compared to the baseline models while maintaining comparable performance on general translation tasks. In addition, we conduct detailed ablation studies of the DeepSeek-R1-like training paradigm for machine translation and reveal several key findings.




Abstract:As test-time scaling becomes a pivotal research frontier in Large Language Models (LLMs) development, contemporary and advanced post-training methodologies increasingly focus on extending the generation length of long Chain-of-Thought (CoT) responses to enhance reasoning capabilities toward DeepSeek R1-like performance. However, recent studies reveal a persistent overthinking phenomenon in state-of-the-art reasoning models, manifesting as excessive redundancy or repetitive thinking patterns in long CoT responses. To address this issue, in this paper, we propose a simple yet effective two-stage reinforcement learning framework for achieving concise reasoning in LLMs, named ConciseR. Specifically, the first stage, using more training steps, aims to incentivize the model's reasoning capabilities via Group Relative Policy Optimization with clip-higher and dynamic sampling components (GRPO++), and the second stage, using fewer training steps, explicitly enforces conciseness and improves efficiency via Length-aware Group Relative Policy Optimization (L-GRPO). Significantly, ConciseR only optimizes response length once all rollouts of a sample are correct, following the "walk before you run" principle. Extensive experimental results demonstrate that our ConciseR model, which generates more concise CoT reasoning responses, outperforms recent state-of-the-art reasoning models with zero RL paradigm across AIME 2024, MATH-500, AMC 2023, Minerva, and Olympiad benchmarks.
Abstract:Large language models (LLMs) have recently demonstrated remarkable capabilities in machine translation (MT). However, most advanced MT-specific LLMs heavily rely on external supervision signals during training, such as human-annotated reference data or trained reward models (RMs), which are often expensive to obtain and challenging to scale. To overcome this limitation, we propose a Simple Self-Rewarding (SSR) Reinforcement Learning (RL) framework for MT that is reference-free, fully online, and relies solely on self-judging rewards. Training with SSR using 13K monolingual examples and Qwen-2.5-7B as the backbone, our model SSR-Zero-7B outperforms existing MT-specific LLMs, e.g., TowerInstruct-13B and GemmaX-28-9B, as well as larger general LLMs like Qwen2.5-32B-Instruct in English $\leftrightarrow$ Chinese translation tasks from WMT23, WMT24, and Flores200 benchmarks. Furthermore, by augmenting SSR with external supervision from COMET, our strongest model, SSR-X-Zero-7B, achieves state-of-the-art performance in English $\leftrightarrow$ Chinese translation, surpassing all existing open-source models under 72B parameters and even outperforming closed-source models, e.g., GPT-4o and Gemini 1.5 Pro. Our analysis highlights the effectiveness of the self-rewarding mechanism compared to the external LLM-as-a-judge approach in MT and demonstrates its complementary benefits when combined with trained RMs. Our findings provide valuable insight into the potential of self-improving RL methods. We have publicly released our code, data and models.
Abstract:As Large Language Models (LLMs) rapidly advance, we introduce Hunyuan-TurboS, a novel large hybrid Transformer-Mamba Mixture of Experts (MoE) model. It synergistically combines Mamba's long-sequence processing efficiency with Transformer's superior contextual understanding. Hunyuan-TurboS features an adaptive long-short chain-of-thought (CoT) mechanism, dynamically switching between rapid responses for simple queries and deep "thinking" modes for complex problems, optimizing computational resources. Architecturally, this 56B activated (560B total) parameter model employs 128 layers (Mamba2, Attention, FFN) with an innovative AMF/MF block pattern. Faster Mamba2 ensures linear complexity, Grouped-Query Attention minimizes KV cache, and FFNs use an MoE structure. Pre-trained on 16T high-quality tokens, it supports a 256K context length and is the first industry-deployed large-scale Mamba model. Our comprehensive post-training strategy enhances capabilities via Supervised Fine-Tuning (3M instructions), a novel Adaptive Long-short CoT Fusion method, Multi-round Deliberation Learning for iterative improvement, and a two-stage Large-scale Reinforcement Learning process targeting STEM and general instruction-following. Evaluations show strong performance: overall top 7 rank on LMSYS Chatbot Arena with a score of 1356, outperforming leading models like Gemini-2.0-Flash-001 (1352) and o4-mini-2025-04-16 (1345). TurboS also achieves an average of 77.9% across 23 automated benchmarks. Hunyuan-TurboS balances high performance and efficiency, offering substantial capabilities at lower inference costs than many reasoning models, establishing a new paradigm for efficient large-scale pre-trained models.
Abstract:In this paper, we propose \textbf{\textsc{FastCuRL}}, a simple yet efficient \textbf{Cu}rriculum \textbf{R}einforcement \textbf{L}earning approach with context window extending strategy to accelerate the reinforcement learning training efficiency for R1-like reasoning models while enhancing their performance in tackling complex reasoning tasks with long chain-of-thought rationales, particularly with a 1.5B parameter language model. \textbf{\textsc{FastCuRL}} consists of two main procedures: length-aware training data segmentation and context window extension training. Specifically, the former first splits the original training data into three different levels by the input prompt length, and then the latter leverages segmented training datasets with a progressively increasing context window length to train the reasoning model. Experimental results demonstrate that \textbf{\textsc{FastCuRL}}-1.5B-Preview surpasses DeepScaleR-1.5B-Preview across all five datasets (including MATH 500, AIME 2024, AMC 2023, Minerva Math, and OlympiadBench) while only utilizing 50\% of training steps. Furthermore, all training stages for FastCuRL-1.5B-Preview are completed using just a single node with 8 GPUs.
Abstract:Using Large Language Models (LLMs) to evaluate and compare two answers from different models typically involves having LLM-based judges select the better answer. However, humans often approach problem-solving from a reverse perspective, for instance, by choosing the worse option instead of the better one in a pairwise comparison. Generally, this kind of reverse thinking plays a crucial role in human reasoning and decision-making and can further test the difference between original and reverse thought processes simultaneously. To address the above issue, in this paper, we propose a Goal-Reversed Prompting (GRP) approach for pairwise evaluation that shifts the original task from selecting the better answer to choosing the worse one. We encourage LLMs to think in reverse by prompting LLMs to identify the worse response. Experiments on closed-source models demonstrate that GRP significantly enhances evaluation capabilities, outperforming the prompt template with the original goal.



Abstract:\textit{Query Optimization} (QO) refers to techniques aimed at enhancing the efficiency and quality of Large Language Models (LLMs) in understanding and answering queries, especially complex ones in scenarios like Retrieval-Augmented Generation (RAG). Specifically, RAG mitigates the limitations of LLMs by dynamically retrieving and leveraging up-to-date relevant information, which provides a cost-effective solution to the challenge of LLMs producing plausible but potentially inaccurate responses. Recently, as RAG evolves and incorporates multiple components that influence its performance, QO has emerged as a critical element, playing a pivotal role in determining the effectiveness of RAG's retrieval stage in accurately sourcing the necessary multiple pieces of evidence to answer queries correctly. In this paper, we trace the evolution of QO techniques by summarizing and analyzing significant studies. Through an organized framework and categorization, we aim to consolidate existing QO techniques in RAG, elucidate their technological foundations, and highlight their potential to enhance the versatility and applications of LLMs.




Abstract:Extensive research has been conducted to explore the capability of Large Language Models (LLMs) for table reasoning and has significantly improved the performance on existing benchmarks. However, tables and user questions in real-world applications are more complex and diverse, presenting an unignorable gap compared to the existing benchmarks. To fill the gap, we propose a \textbf{M}ult\textbf{i}-scale spreadsheet benchmark with \textbf{M}eta \textbf{o}perations for \textbf{Table} reasoning, named as MiMoTable. Specifically, MiMoTable incorporates two key features. First, the tables in MiMoTable are all spreadsheets used in real-world scenarios, which cover seven domains and contain different types. Second, we define a new criterion with six categories of meta operations for measuring the difficulty of each question in MiMoTable, simultaneously as a new perspective for measuring the difficulty of the existing benchmarks. Experimental results show that Claude-3.5-Sonnet achieves the best performance with 77.4\% accuracy, indicating that there is still significant room to improve for LLMs on MiMoTable. Furthermore, we grade the difficulty of existing benchmarks according to our new criteria. Experiments have shown that the performance of LLMs decreases as the difficulty of benchmarks increases, thereby proving the effectiveness of our proposed new criterion.




Abstract:Children with Autism Spectrum Disorder (ASD) often misunderstand social situations and struggle to participate in daily routines. Psychology experts write Social Stories under strict constraints of structural clarity, descriptive orientation, and situational safety to enhance their abilities in these regimes. However, Social Stories are costly in creation and often limited in diversity and timeliness. As Large Language Models (LLMs) become increasingly powerful, there is a growing need for more automated, affordable, and accessible methods to generate Social Stories in real-time with broad coverage. Adapting LLMs to meet the unique and strict constraints of Social Stories is a challenging issue. To this end, we propose \textbf{SS-Bench}, a \textbf{S}ocial \textbf{S}tory \textbf{Bench}mark for generating and evaluating Social Stories. Specifically, we develop a constraint-driven strategy named \textbf{\textsc{StarSow}} to hierarchically prompt LLMs to generate Social Stories and build a benchmark, which has been validated through experiments to fine-tune smaller models for generating qualified Social Stories. Additionally, we introduce \textbf{Quality Assessment Criteria}, employed in human and GPT evaluations, to verify the effectiveness of the generated stories. We hope this work benefits the autism community and catalyzes future research focusing on particular groups.