



Abstract:Envisioned use cases of unmanned aerial vehicles (UAVs) impose new service requirements in terms of data rate, latency, and sensing accuracy, to name a few. If such requirements are satisfactorily met, it can create novel applications and enable highly reliable and harmonized integration of UAVs in the 6G network ecosystem. Towards this, terahertz (THz) bands are perceived as a prospective technological enabler for various improved functionalities such as ultra-high throughput and enhanced sensing capabilities. This paper focuses on THzempowered UAVs with the following capabilities: communication, sensing, localization, imaging, and control. We review the potential opportunities and use cases of THz-empowered UAVs, corresponding novel design challenges, and resulting trade-offs. Furthermore, we overview recent advances in UAV deployments regulations, THz standardization, and health aspects related to THz bands. Finally, we take UAV to UAV (U2U) communication as a case-study to provide numerical insights into the impact of various system design parameters and environment factors.




Abstract:Non-terrestrial networks (NTNs) traditionally had certain limited applications. However, the recent technological advancements opened up myriad applications of NTNs for 5G and beyond networks, especially when integrated into terrestrial networks (TNs). This article comprehensively surveys the evolution of NTNs highlighting its relevance to 5G networks and essentially, how it will play a pivotal role in the development of 6G and beyond wireless networks. The survey discusses important features of NTNs integration into TNs by delving into the new range of services and use cases, various architectures, and new approaches being adopted to develop a new wireless ecosystem. Our survey includes the major progresses and outcomes from academic research as well as industrial efforts. We first start with introducing the relevant 5G use cases and general integration challenges such as handover and deployment difficulties. Then, we review the NTNs operations in mmWave and their potential for the internet of things (IoT). Further, we discuss the significance of mobile edge computing (MEC) and machine learning (ML) in NTNs by reviewing the relevant research works. Furthermore, we also discuss the corresponding higher layer advancements and relevant field trials/prototyping at both academic and industrial levels. Finally, we identify and review 6G and beyond application scenarios, novel architectures, technological enablers, and higher layer aspects pertinent to NTNs integration.




Abstract:The next wave of wireless technologies is proliferating in connecting things among themselves as well as to humans. In the era of the Internet of things (IoT), billions of sensors, machines, vehicles, drones, and robots will be connected, making the world around us smarter. The IoT will encompass devices that must wirelessly communicate a diverse set of data gathered from the environment for myriad new applications. The ultimate goal is to extract insights from this data and develop solutions that improve quality of life and generate new revenue. Providing large-scale, long-lasting, reliable, and near real-time connectivity is the major challenge in enabling a smart connected world. This paper provides a comprehensive survey on existing and emerging communication solutions for serving IoT applications in the context of cellular, wide-area, as well as non-terrestrial networks. Specifically, wireless technology enhancements for providing IoT access in fifth-generation (5G) and beyond cellular networks, and communication networks over the unlicensed spectrum are presented. Aligned with the main key performance indicators of 5G and beyond 5G networks, we investigate solutions and standards that enable energy efficiency, reliability, low latency, and scalability (connection density) of current and future IoT networks. The solutions include grant-free access and channel coding for short-packet communications, non-orthogonal multiple access, and on-device intelligence. Further, a vision of new paradigm shifts in communication networks in the 2030s is provided, and the integration of the associated new technologies like artificial intelligence, non-terrestrial networks, and new spectra is elaborated. Finally, future research directions toward beyond 5G IoT networks are pointed out.




Abstract:What will the future of UAV cellular communications be? In this tutorial article, we address such a compelling yet difficult question by embarking on a journey from 5G to 6G and sharing a large number of realistic case studies supported by original results. We start by overviewing the status quo on UAV communications from an industrial standpoint, providing fresh updates from the 3GPP and detailing new 5G NR features in support of aerial devices. We then show the potential and the limitations of such features. In particular, we demonstrate how sub-6 GHz massive MIMO can successfully tackle cell selection and interference challenges, we showcase encouraging mmWave coverage evaluations in both urban and suburban/rural settings, and we examine the peculiarities of direct device-to-device communications in the sky. Moving on, we sneak a peek at next-generation UAV communications, listing some of the use cases envisioned for the 2030s. We identify the most promising 6G enablers for UAV communication, those expected to take the performance and reliability to the next level. For each of these disruptive new paradigms (non-terrestrial networks, cell-free architectures, artificial intelligence, reconfigurable intelligent surfaces, and THz communications), we gauge the prospective benefits for UAVs and discuss the main technological hurdles that stand in the way. All along, we distil our numerous findings into essential takeaways, and we identify key open problems worthy of further study.




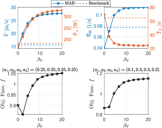
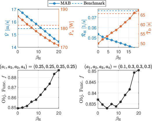
Abstract:A cellular-connected unmanned aerial vehicle (UAV)faces several key challenges concerning connectivity and energy efficiency. Through a learning-based strategy, we propose a general novel multi-armed bandit (MAB) algorithm to reduce disconnectivity time, handover rate, and energy consumption of UAV by taking into account its time of task completion. By formulating the problem as a function of UAV's velocity, we show how each of these performance indicators (PIs) is improved by adopting a proper range of corresponding learning parameter, e.g. 50% reduction in HO rate as compared to a blind strategy. However, results reveal that the optimal combination of the learning parameters depends critically on any specific application and the weights of PIs on the final objective function.




Abstract:Deployment of unmanned aerial vehicles (UAVs) as aerial base stations can deliver a fast and flexible solution for serving varying traffic demand. In order to adequately benefit of UAVs deployment, their efficient placement is of utmost importance, and requires to intelligently adapt to the environment changes. In this paper, we propose a learning-based mechanism for the three-dimensional deployment of UAVs assisting terrestrial cellular networks in the downlink. The problem is modeled as a non-cooperative game among UAVs in satisfaction form. To solve the game, we utilize a low complexity algorithm, in which unsatisfied UAVs update their locations based on a learning algorithm. Simulation results reveal that the proposed UAV placement algorithm yields significant performance gains up to about 52% and 74% in terms of throughput and the number of dropped users, respectively, compared to an optimized baseline algorithm.