Abstract:In multiple access channels (MAC), multiple users share a transmission medium to communicate with a common receiver. Traditional constellations like quadrature amplitude modulation are optimized for point-to-point systems and lack mechanisms to mitigate inter-user interference, leading to suboptimal performance in MAC environments. To address this, we propose a novel framework for constellation design in MAC that employs deep autoencoder (DAE)-based communication systems. This approach intelligently creates flexible constellations aware of inter-user interference, reducing symbol error rate and enhancing the constellation-constrained sum capacity of the channel. Comparisons against analytically derived constellations demonstrate that DAE-designed constellations consistently perform best or equal to the best across various system parameters. Furthermore, we apply the DAE to scenarios where no analytical solutions have been developed, such as with more than two users, demonstrating the adaptability of the model.
Abstract:Integrating sensing and communication (ISAC) can help overcome the challenges of limited spectrum and expensive hardware, leading to improved energy and cost efficiency. While full cooperation between sensing and communication can result in significant performance gains, achieving optimal performance requires efficient designs of unified waveforms and beamformers for joint sensing and communication. Sophisticated statistical signal processing and multi-objective optimization techniques are necessary to balance the competing design requirements of joint sensing and communication tasks. Since model-based analytical approaches may be suboptimal or overly complex, deep learning emerges as a powerful tool for developing data-driven signal processing algorithms, particularly when optimal algorithms are unknown or when known algorithms are too complex for real-time implementation. Unified waveform and beamformer design problems for ISAC fall into this category, where fundamental design trade-offs exist between sensing and communication performance metrics, and the underlying models may be inadequate or incomplete. This article explores the application of artificial intelligence (AI) in ISAC designs to enhance efficiency and reduce complexity. We emphasize the integration benefits through AI-driven ISAC designs, prioritizing the development of unified waveforms, constellations, and beamforming strategies for both sensing and communication. To illustrate the practical potential of AI-driven ISAC, we present two case studies on waveform and beamforming design, demonstrating how unsupervised learning and neural network-based optimization can effectively balance performance, complexity, and implementation constraints.
Abstract:Non-orthogonal multiple access (NOMA) has gained significant attention as a potential next-generation multiple access technique. However, its implementation with finite-alphabet inputs faces challenges. Particularly, due to inter-user interference, superimposed constellations may have overlapping symbols leading to high bit error rates when successive interference cancellation (SIC) is applied. To tackle the issue, this paper employs autoencoders to design interference-aware super-constellations. Unlike conventional methods where superimposed constellation may have overlapping symbols, the proposed autoencoder-based NOMA (AE-NOMA) is trained to design super-constellations with distinguishable symbols at receivers, regardless of channel gains. The proposed architecture removes the need for SIC, allowing maximum likelihood-based approaches to be used instead. The paper presents the conceptual architecture, loss functions, and training strategies for AE-NOMA. Various test results are provided to demonstrate the effectiveness of interference-aware constellations in improving the bit error rate, indicating the adaptability of AE-NOMA to different channel scenarios and its promising potential for implementing NOMA systems




Abstract:We propose a novel multi-agent reinforcement learning (RL) approach for inter-cell interference mitigation, in which agents selectively share their experiences with other agents. Each base station is equipped with an agent, which receives signal-to-interference-plus-noise ratio from its own associated users. This information is used to evaluate and selectively share experiences with neighboring agents. The idea is that even a few pertinent experiences from other agents can lead to effective learning. This approach enables fully decentralized training and execution, minimizes information sharing between agents and significantly reduces communication overhead, which is typically the burden of interference management. The proposed method outperforms state-of-the-art multi-agent RL techniques where training is done in a decentralized manner. Furthermore, with a 75% reduction in experience sharing, the proposed algorithm achieves 98% of the spectral efficiency obtained by algorithms sharing all experiences.




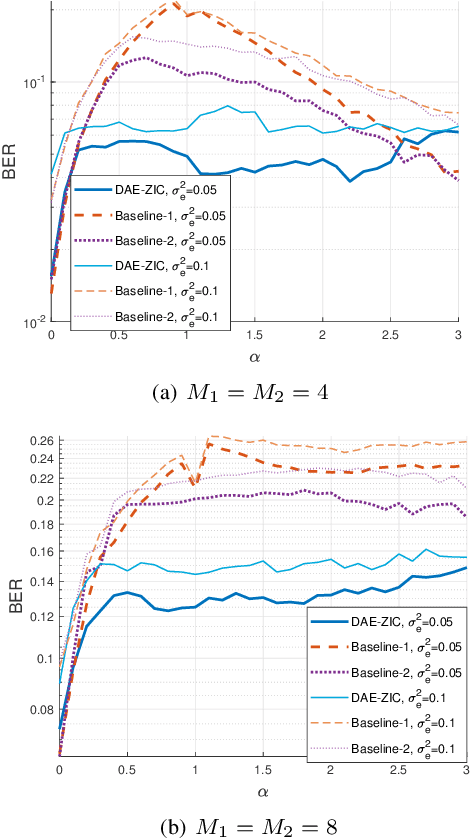
Abstract:A deep autoencoder (DAE)-based structure for endto-end communication over the two-user Z-interference channel (ZIC) with finite-alphabet inputs is designed in this paper. The proposed structure jointly optimizes the two encoder/decoder pairs and generates interference-aware constellations that dynamically adapt their shape based on interference intensity to minimize the bit error rate (BER). An in-phase/quadrature-phase (I/Q) power allocation layer is introduced in the DAE to guarantee an average power constraint and enable the architecture to generate constellations with nonuniform shapes. This brings further gain compared to standard uniform constellations such as quadrature amplitude modulation. The proposed structure is then extended to work with imperfect channel state information (CSI). The CSI imperfection due to both the estimation and quantization errors are examined. The performance of the DAEZIC is compared with two baseline methods, i.e., standard and rotated constellations. The proposed structure significantly enhances the performance of the ZIC both for the perfect and imperfect CSI. Simulation results show that the improvement is achieved in all interference regimes (weak, moderate, and strong) and consistently increases with the signal-to-noise ratio (SNR). For example, more than an order of magnitude BER reduction is obtained with respect to the most competitive conventional method at weak interference when SNR>15dB and two bits per symbol are transmitted. The improvements reach about two orders of magnitude when quantization error exists, indicating that the DAE-ZIC is more robust to the interference compared to the conventional methods.
Abstract:Modern cellular networks are multi-cell and use universal frequency reuse to maximize spectral efficiency. This results in high inter-cell interference. This problem is growing as cellular networks become three-dimensional with the adoption of unmanned aerial vehicles (UAVs). This is because the strength and number of interference links rapidly increase due to the line-of-sight channels in UAV communications. Existing interference management solutions need each transmitter to know the channel information of interfering signals, rendering them impractical due to excessive signaling overhead. In this paper, we propose leveraging deep reinforcement learning for interference management to tackle this shortcoming. In particular, we show that interference can still be effectively mitigated even without knowing its channel information. We then discuss novel approaches to scale the algorithms with linear/sublinear complexity and decentralize them using multi-agent reinforcement learning. By harnessing interference, the proposed solutions enable the continued growth of civilian UAVs.




Abstract:A deep autoencoder (DAE)-based end-to-end communication over the two-user Z-interference channel (ZIC) with finite-alphabet inputs is designed in this paper. The design is for imperfect channel state information (CSI) where both estimation and quantization errors exist. The proposed structure jointly optimizes the encoders and decoders to generate interferenceaware constellations that adapt their shape to the interference intensity in order to minimize the bit error rate. A normalization layer is designed to guarantee an average power constraint in the DAE while allowing the architecture to generate constellations with nonuniform shapes. This brings further shaping gain compared to standard uniform constellations such as quadrature amplitude modulation. The performance of the DAE-ZIC is compared with two conventional methods, i.e., standard and rotated constellations. The proposed structure significantly enhances the performance of the ZIC. Simulation results confirm bit error rate reduction in all interference regimes (weak, moderate, and strong). At a signal-to-noise ratio of 20dB, the improvements reach about two orders of magnitude when only quantization error exists, indicating that the DAE-ZIC is highly robust to the interference compared to the conventional methods.




Abstract:The K-receiver wiretap channel is a channel model where a transmitter broadcasts K independent messages to K intended receivers while keeping them secret from an eavesdropper. The capacity region of the K-receiver multiple-input multiple-output (MIMO) wiretap channel has been characterized by using dirty-paper coding and stochastic encoding. However, K factorial encoding orders may need to be enumerated to evaluate the capacity region, which makes the problem intractable. In addition, even though the capacity region is known, the optimal signaling to achieve the capacity region is unknown. In this paper, we determine one optimal encoding order to achieve every point on the capacity region, and thus reduce the encoding complexity K factorial times. We prove that the optimal decoding order for the K-receiver MIMO wiretap channel is the same as that for the MIMO broadcast channel without secrecy. To be specific, the descending weight ordering in the weighted sum-rate (WSR) maximization problem determines the optimal encoding order. Next, to reach the border of the secrecy capacity region, we form a WSR maximization problem and apply the block successive maximization method to solve this nonconvex problem and find the input covariance matrices corresponding to each message. Numerical results are used to verify the optimality of the encoding order and to demonstrate the efficacy of the proposed signaling design.



Abstract:The Gaussian multiple-input multiple-output (MIMO) multi-receiver wiretap channel is studied in this paper. The base station broadcasts confidential messages to K intended users while keeping the messages secret from an eavesdropper. The capacity of this channel has already been characterized by applying dirty-paper coding and stochastic encoding. However, K factorial encoding orders may need to be enumerated for that, which makes the problem intractable. We prove that there exists one optimal encoding order and reduced the K factorial times to a one-time encoding. The optimal encoding order is proved by forming a secrecy weighted sum rate (WSR) maximization problem. The optimal order is the same as that for the MIMO broadcast channel without secrecy constraint, that is, the weight of users' rate in the WSR maximization problem determines the optimal encoding order. Numerical results verify the optimal encoding order.




Abstract:Signaling design for secure transmission in two-user multiple-input multiple-output (MIMO) non-orthogonal multiple access (NOMA) networks is investigated in this paper. The base station broadcasts multicast data to all users and also integrates additional services, unicast data targeted to certain users, and confidential data protected against eavesdroppers. We categorize the above MIMO-NOMA with different security requirements into several communication scenarios. The associated problem in each scenario is nonconvex. We propose a unified approach, called the power splitting scheme, for optimizing the rate equations corresponding to the scenarios. The proposed method decomposes the optimization of the secure MIMO-NOMA channel into a set of simpler problems, including multicast, point-to-point, and wiretap MIMO problems, corresponding to the three basic messages: multicast, private/unicast, and confidential messages. We then leverage existing solutions to design signaling for the above problems such that the messages are transmitted with high security and reliability. Numerical results illustrate the efficacy of the proposed covariance matrix design in secure MIMO-NOMA transmission. The proposed method also outperforms existing solutions, when applicable. In the case of no multicast messages, we also reformulate the nonconvex problem into weighted sum rate (WSR) maximization problems by applying the block successive maximization method and generalizing the zero duality gap. The two methods have their advantages and limitations. Power splitting is a general tool that can be applied to the MIMO-NOMA with any combination of the three messages (multicast, private, and confidential) whereas WSR maximization shows greater potential for secure MIMO-NOMA communication without multicasting. In such cases, WSR maximization provides a slightly better rate than the power splitting method.