



Abstract:In this paper, we consider a federated learning problem over wireless channel that takes into account the coding rate and packet transmission errors. Communication channels are modelled as packet erasure channels (PEC), where the erasure probability is determined by the block length, code rate, and signal-to-noise ratio (SNR). To lessen the effect of packet erasure on the FL performance, we propose two schemes in which the central node (CN) reuses either the past local updates or the previous global parameters in case of packet erasure. We investigate the impact of coding rate on the convergence of federated learning (FL) for both short packet and long packet communications considering erroneous transmissions. Our simulation results shows that even one unit of memory has considerable impact on the performance of FL in erroneous communication.




Abstract:This paper studies the joint channel estimation and signal detection for the uplink power domain non-orthogonal multiple access. The proposed technique performs both detection and estimation without the need of pilot symbols by using a clustering technique. To remove the effect of channel fading, we apply rotational invariant coding to assist signal detection at receiver without sending pilots. We utilize Gaussian mixture model (GMM) to automatically cluster the received signals without supervision and optimize decision boundaries to improve the bit error rate (BER) performance.




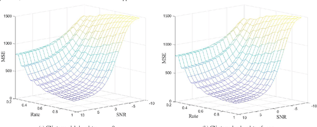
Abstract:In this paper, we consider the federated learning (FL) problem in the presence of communication errors. We model the link between the devices and the central node (CN) by a packet erasure channel, where the local parameters from devices are either erased or received correctly by CN with probability $e$ and $1-e$, respectively. We provide mathematical proof for the convergence of the FL algorithm in the presence of communication errors, where the CN uses past local updates when the fresh updates are not received from some devices. We show via simulations that by using the past local updates, the FL algorithm can converge in the presence of communication errors. We also show that when the dataset is uniformly distributed among devices, the FL algorithm that only uses fresh updates and discards missing updates might converge faster than the FL algorithm that uses past local updates.




Abstract:We propose a joint channel estimation and signal detection approach for the uplink non-orthogonal multiple access using unsupervised machine learning. We apply the Gaussian mixture model to cluster the received signals, and accordingly optimize the decision regions to enhance the symbol error rate (SER). We show that, when the received powers of the users are sufficiently different, the proposed clustering-based approach achieves an SER performance on a par with that of the conventional maximum-likelihood detector with full channel state information. However, unlike the proposed approach, the maximum-likelihood detector requires the transmission of a large number of pilot symbols to accurately estimate the channel. The accuracy of the utilized clustering algorithm depends on the number of the data points available at the receiver. Therefore, there exists a tradeoff between accuracy and block length. We provide a comprehensive performance analysis of the proposed approach as well as deriving a theoretical bound on its SER performance as a function of the block length. Our simulation results corroborate the effectiveness of the proposed approach and verify that the calculated theoretical bound can predict the SER performance of the proposed approach well.




Abstract:The next wave of wireless technologies is proliferating in connecting things among themselves as well as to humans. In the era of the Internet of things (IoT), billions of sensors, machines, vehicles, drones, and robots will be connected, making the world around us smarter. The IoT will encompass devices that must wirelessly communicate a diverse set of data gathered from the environment for myriad new applications. The ultimate goal is to extract insights from this data and develop solutions that improve quality of life and generate new revenue. Providing large-scale, long-lasting, reliable, and near real-time connectivity is the major challenge in enabling a smart connected world. This paper provides a comprehensive survey on existing and emerging communication solutions for serving IoT applications in the context of cellular, wide-area, as well as non-terrestrial networks. Specifically, wireless technology enhancements for providing IoT access in fifth-generation (5G) and beyond cellular networks, and communication networks over the unlicensed spectrum are presented. Aligned with the main key performance indicators of 5G and beyond 5G networks, we investigate solutions and standards that enable energy efficiency, reliability, low latency, and scalability (connection density) of current and future IoT networks. The solutions include grant-free access and channel coding for short-packet communications, non-orthogonal multiple access, and on-device intelligence. Further, a vision of new paradigm shifts in communication networks in the 2030s is provided, and the integration of the associated new technologies like artificial intelligence, non-terrestrial networks, and new spectra is elaborated. Finally, future research directions toward beyond 5G IoT networks are pointed out.