



Abstract:One of the primary challenges in short packet ultra-reliable and low-latency communications (URLLC) is to achieve reliable channel estimation and data detection while minimizing the impact on latency performance. Given the small packet size in mini-slot-assisted URLLC, relying solely on pilot-based coherent detection is almost impossible to meet the seemingly contradictory requirements of high channel estimation accuracy, high reliability, low training overhead, and low latency. In this paper, we explore differential modulation both in the frequency domain and in the time domain, and propose adopting an adaptive approach that integrates both differential and coherent detection to achieve mini-slot-assisted short packet URLLC, striking a balance among training overhead, system performance, and computational complexity. Specifically, differential (especially in the frequency domain) and coherent detection schemes can be dynamically activated based on application scenarios, channel statistics, information payloads, mini-slot deployment options, and service requirements. Furthermore, we derive the block error rate (BLER) for pilot-based, frequency domain, and time domain differential OFDM using non-asymptotic information-theoretic bounds. Simulation results validate the feasibility and effectiveness of adaptive differential and coherent detection.
Abstract:Ultra-reliable and low-latency communications (URLLC) is firstly proposed in 5G networks, and expected to support applications with the most stringent quality-of-service (QoS). However, since the wireless channels vary dynamically, the transmit power for ensuring the QoS requirements of URLLC may be very high, which conflicts with the power limitation of a real system. To fulfill the successful URLLC transmission with finite transmit power, we propose an energy-efficient packet delivery mechanism incorparated with frequency-hopping and proactive dropping in this paper. To reduce uplink outage probability, frequency-hopping provides more chances for transmission so that the failure hardly occurs. To avoid downlink outage from queue clearing, proactive dropping controls overall reliability by introducing an extra error component. With the proposed packet delivery mechanism, we jointly optimize bandwidth allocation and power control of uplink and downlink, antenna configuration, and subchannel assignment to minimize the average total power under the constraint of URLLC transmission requirements. Via theoretical analysis (e.g., the convexity with respect to bandwidth, the independence of bandwidth allocation, the convexity of antenna configuration with inactive constraints), the simplication of finding the global optimal solution for resource allocation is addressed. A three-step method is then proposed to find the optimal solution for resource allocation. Simulation results validate the analysis and show the performance gain by optimizing resource allocation with the proposed packet delivery mechanism.




Abstract:In this paper, we aim to improve the Quality-of-Service (QoS) of Ultra-Reliability and Low-Latency Communications (URLLC) in interference-limited wireless networks. To obtain time diversity within the channel coherence time, we first put forward a random repetition scheme that randomizes the interference power. Then, we optimize the number of reserved slots and the number of repetitions for each packet to minimize the QoS violation probability, defined as the percentage of users that cannot achieve URLLC. We build a cascaded Random Edge Graph Neural Network (REGNN) to represent the repetition scheme and develop a model-free unsupervised learning method to train it. We analyze the QoS violation probability using stochastic geometry in a symmetric scenario and apply a model-based Exhaustive Search (ES) method to find the optimal solution. Simulation results show that in the symmetric scenario, the QoS violation probabilities achieved by the model-free learning method and the model-based ES method are nearly the same. In more general scenarios, the cascaded REGNN generalizes very well in wireless networks with different scales, network topologies, cell densities, and frequency reuse factors. It outperforms the model-based ES method in the presence of the model mismatch.




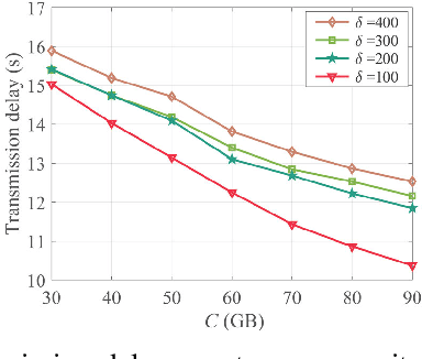
Abstract:In this paper, the cooperative caching problem in fog radio access networks (F-RANs) is investigated to jointly optimize the transmission delay and energy consumption. Exploiting the potential social relationships among fog access points (F-APs), we firstly propose a clustering scheme based on hedonic coalition game (HCG) to improve the potential cooperation gain. Then, considering that the optimization problem is non-deterministic polynomial hard (NP-hard), we further propose an improved firefly algorithm (FA) based cooperative caching scheme, which utilizes a mutation strategy based on local content popularity to avoid pre-mature convergence. Simulation results show that our proposed scheme can effectively reduce the content transmission delay and energy consumption in comparison with the baselines.




Abstract:In this paper, cooperative edge caching problem is studied in fog radio access networks (F-RANs). Given the non-deterministic polynomial hard (NP-hard) property of the problem, a dueling deep Q network (Dueling DQN) based caching update algorithm is proposed to make an optimal caching decision by learning the dynamic network environment. In order to protect user data privacy and solve the problem of slow convergence of the single deep reinforcement learning (DRL) model training, we propose a federated reinforcement learning method with quantization (FRLQ) to implement cooperative training of models from multiple fog access points (F-APs) in F-RANs. To address the excessive consumption of communications resources caused by model transmission, we prune and quantize the shared DRL models to reduce the number of model transfer parameters. The communications interval is increased and the communications rounds are reduced by periodical model global aggregation. We analyze the global convergence and computational complexity of our policy. Simulation results verify that our policy has better performance in reducing user request delay and improving cache hit rate compared to benchmark schemes. The proposed policy is also shown to have faster training speed and higher communications efficiency with minimal loss of model accuracy.




Abstract:In this paper, we investigate the content popularity prediction problem in cache-enabled fog radio access networks (F-RANs). In order to predict the content popularity with high accuracy and low complexity, we propose a Gaussian process based regressor to model the content request pattern. Firstly, the relationship between content features and popularity is captured by our proposed model. Then, we utilize Bayesian learning to train the model parameters, which is robust to overfitting. However, Bayesian methods are usually unable to find a closed-form expression of the posterior distribution. To tackle this issue, we apply a stochastic variance reduced gradient Hamiltonian Monte Carlo (SVRG-HMC) method to approximate the posterior distribution. To utilize the computing resources of other fog access points (F-APs) and to reduce the communications overhead, we propose a quantized federated learning (FL) framework combining with Bayesian learning. The quantized federated Bayesian learning framework allows each F-AP to send gradients to the cloud server after quantizing and encoding. It can achieve a tradeoff between prediction accuracy and communications overhead effectively. Simulation results show that the performance of our proposed policy outperforms the existing policies.



Abstract:In this paper, the content popularity prediction problem in fog radio access networks (F-RANs) is investigated. Based on clustered federated learning, we propose a novel mobility-aware popularity prediction policy, which integrates content popularities in terms of local users and mobile users. For local users, the content popularity is predicted by learning the hidden representations of local users and contents. Initial features of local users and contents are generated by incorporating neighbor information with self information. Then, dual-channel neural network (DCNN) model is introduced to learn the hidden representations by producing deep latent features from initial features. For mobile users, the content popularity is predicted via user preference learning. In order to distinguish regional variations of content popularity, clustered federated learning (CFL) is employed, which enables fog access points (F-APs) with similar regional types to benefit from one another and provides a more specialized DCNN model for each F-AP. Simulation results show that our proposed policy achieves significant performance improvement over the traditional policies.




Abstract:The fog radio access network (F-RAN) is a promising technology in which the user mobile devices (MDs) can offload computation tasks to the nearby fog access points (F-APs). Due to the limited resource of F-APs, it is important to design an efficient task offloading scheme. In this paper, by considering time-varying network environment, a dynamic computation offloading and resource allocation problem in F-RANs is formulated to minimize the task execution delay and energy consumption of MDs. To solve the problem, a federated deep reinforcement learning (DRL) based algorithm is proposed, where the deep deterministic policy gradient (DDPG) algorithm performs computation offloading and resource allocation in each F-AP. Federated learning is exploited to train the DDPG agents in order to decrease the computing complexity of training process and protect the user privacy. Simulation results show that the proposed federated DDPG algorithm can achieve lower task execution delay and energy consumption of MDs more quickly compared with the other existing strategies.




Abstract:In this paper, the distributed edge caching problem in fog radio access networks (F-RANs) is investigated. By considering the unknown spatio-temporal content popularity and user preference, a user request model based on hidden Markov process is proposed to characterize the fluctuant spatio-temporal traffic demands in F-RANs. Then, the Q-learning method based on the reinforcement learning (RL) framework is put forth to seek the optimal caching policy in a distributed manner, which enables fog access points (F-APs) to learn and track the potential dynamic process without extra communications cost. Furthermore, we propose a more efficient Q-learning method with value function approximation (Q-VFA-learning) to reduce complexity and accelerate convergence. Simulation results show that the performance of our proposed method is superior to those of the traditional methods.